“Быстрое” решение трехмерной обратной задачи квазистатической эластографии с помощью метода малого параметра
- Авторы: Леонов А.С.1, Нефедов Н.Н.2, Шаров А.Н.2, Ягола А.Г.2
-
Учреждения:
- НИЯУ “МИФИ”
- МГУ им. М.В. Ломоносова, физический факультет
- Выпуск: Том 63, № 3 (2023)
- Страницы: 449-464
- Раздел: МАТЕМАТИЧЕСКАЯ ФИЗИКА
- URL: https://journal-vniispk.ru/0044-4669/article/view/134306
- DOI: https://doi.org/10.31857/S0044466923030092
- EDN: https://elibrary.ru/DZYZSM
- ID: 134306
Цитировать
Полный текст
Аннотация
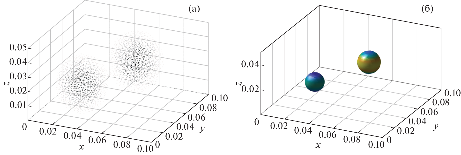
Рассматриваются прямая и обратная задачи трехмерной квазистатической эластографии – метода онкологической диагностики. Они основаны на модели исследуемой биологической ткани, подвергаемой поверхностному сжатию, деформации в которой подчиняются законам линейной теории упругости. Возникающие трехмерные смещения ткани описываются краевой задачей для уравнений в частных производных с коэффициентами, которые определяются переменным модулем Юнга и постоянным коэффициентом Пуассона. Краевая задача содержит малый параметр, что позволяет решить ее с помощью теории регулярных возмущений уравнений в частных производных. Это составляет прямую задачу. Обратная задача состоит в нахождении распределения модуля Юнга по известным смещениям ткани. Значительное превышение величины модуля Юнга в некоторой области ткани является признаком возможной онкологии. В статье при некоторых предположениях выписываются простые формулы для решения как прямой, так и обратной задачи трехмерной квазистатической эластографии. Представлены результаты численных экспериментов по приближенному решению трехмерных обратных модельных задач с помощью предлагаемых формул. Полученные приближенные решения достаточно хорошо воспроизводят точные модельные решения. Расчеты по формулам требуют лишь несколько десятков миллисекунд на персональном компьютере средней производительности для достаточно мелких сеток, и поэтому предлагаемый подход с использованием малого параметра может быть применен при онкологической диагностике в реальном времени. Библ. 19. Фиг. 9. Табл. 1.
Об авторах
А. С. Леонов
НИЯУ “МИФИ”
Email: asleonov@mephi.ru
Россия, 115409, Москва, Каширское ш., 31
Н. Н. Нефедов
МГУ им. М.В. Ломоносова, физический факультет
Email: nefedov@phys.msu.ru
Россия, 119992, Москва, Ленинские горы
А. Н. Шаров
МГУ им. М.В. Ломоносова, физический факультет
Email: scharov.aleksandr@physics.msu.ru
Россия, 119992, Москва, Ленинские горы
А. Г. Ягола
МГУ им. М.В. Ломоносова, физический факультет
Автор, ответственный за переписку.
Email: yagola@physics.msu.ru
Россия, 119992, Москва, Ленинские горы
Список литературы
- Gao L., Parker K., Lerner R., et al. Imaging of the elastic properties of tissue – a review // Ultrasound Med. Biol. 1996. V. 22. P. 959–977.
- Ophir J., Alam S., Garra B., et al. Elastography: ultrasonic estimation and imaging of the elastic properties of tissues // Proc. Inst. Mech. Eng. Part H: J. Eng. Med. 1999. V. 213. P. 203–233.
- Greenleaf J.F., Fatemi M., Insana M. Selected methods for imaging elastic properties of biological tissues // A-nnu. Rev. Biomed. Eng. 2003. V. 5. P. 57–78.
- Parker K.J., Taylor L.S., Gracewski S., et al. A unified view of imaging the elastic properties of tissue // J. Acoust. Soc. Am. 2005. V. 117. P. 2705–2712.
- Doyley M. Model-based elastography: a survey of approaches to the inverse elasticity problem // Phys Med Biol. 2012. V. 57. P. R35–R73.
- Гурбатов С.Н., Демин И.Ю., Прончатов-Рубцов Н.В. Ультразвуковая эластография: аналитическое описание различных режимов и технологий, физическое и численное моделирование сдвиговых характеристик мягких биологических тканей: учебно-методическое пособие. Нижний Новгород: Нижегородский гос. ун-т, 2015.
- Oberai A.A., Gokhale N.H., Feijoo G.R. Solution of inverse problems in elasticity imaging using the adjoint method // Inverse Probl. 2003. V. 19. P. 297–313.
- Richards M., Barbone P., Oberai A. Quantitative three-dimensional elasticity imaging from quasi-static deformation: a phantom study // Phys. Med. Biol. 2009. V. 54. P. 757–779.
- Leonov A.S., Sharov A.N., Yagola A.G. A posteriori error estimates for numerical solutions to inverse problems of elastography // Inverse Probl. Sci. Eng. 2017. V. 25. P. 114–128.
- Leonov A.S., Sharov A.N., Yagola A.G. Solution of the inverse elastography problen for parametric classes of inclusions with a posteriori error estimate // J. Inverse Ill-Posed Probl. 2017. V. 26. P. 1–7.
- Leonov A.S., Sharov A.N., Yagola A.G. Solution of the three-dimensional inverse elastography problem for parametric classes of inclusions // Inverse Probl. Sci. Eng. 2021. V. 29. № 8. P. 1055–1069.
- Rychagov M., Khaled W., Reichling S., et al. Numerical modeling and experimental investigation of biomedical elastographic problem by using plane strain state model // Fortsch. Der Akustik. 2003. V. 29. P. 586–589.
- Leonov A.S., Sharov A.N., Yagola A.G. Solution of the three-dimensional inverse elastography problem for parametric classes of inclusions, Inverse Problems in Science and Engineering. 2021. V.29. Issue 8. P. 1055–1069.
- Леонов А.С., Нефедов Н.Н., Шаров А.Н., Ягола А.Г. Решение двумерной обратной задачи квазистатической эластографии с помощью метода малого параметра Ж. вычисл. матем. и матем. физ. 2022. Т. 62. № 5. С. 854–860.
- Ладыженская О.А. Краевые задачи математической физики. М.: Наука, 1973.
- Тихонов А.Н., Васильева А.Б., Свешников А.Г. Дифференциальные уравнения. М.: Наука, 1980.
- Треногин В.А. Функциональный анализ. М.: Наука, 1980.
- Тихонов А.Н., Гончарский А.В., Степанов В.В., Ягола А.Г. Численные методы решения некорректных задач. М.: Наука, 1990.
- Леонов А.С. Решение некорректно поставленных обратных задач. Очерк теории, практические алгоритмы и демонстрации в МАТЛАБ. М.: Либроком, 2009.
Дополнительные файлы












