Получение синтетических аналогов гликолипидов, содержащих тетрасахарид А (тип 2)
- Авторы: Петракова Д.О.1, Савченко М.С.1, Попова И.С.1, Тузиков А.Б.1, Парамонов А.С.1, Чижов А.О.2, Бовин Н.В.1, Рыжов И.М.1
-
Учреждения:
- ФГБУН “Институт биоорганической химии им. академиков М.М. Шемякина и Ю.А. Овчинникова” РАН
- ФГБУН “Институт органической химии им. Н.Д. Зелинского” РАН
- Выпуск: Том 49, № 4 (2023)
- Страницы: 422-433
- Раздел: Статьи
- URL: https://journal-vniispk.ru/0132-3423/article/view/139180
- DOI: https://doi.org/10.31857/S013234232304036X
- EDN: https://elibrary.ru/ODKLJF
- ID: 139180
Цитировать
Полный текст
Аннотация
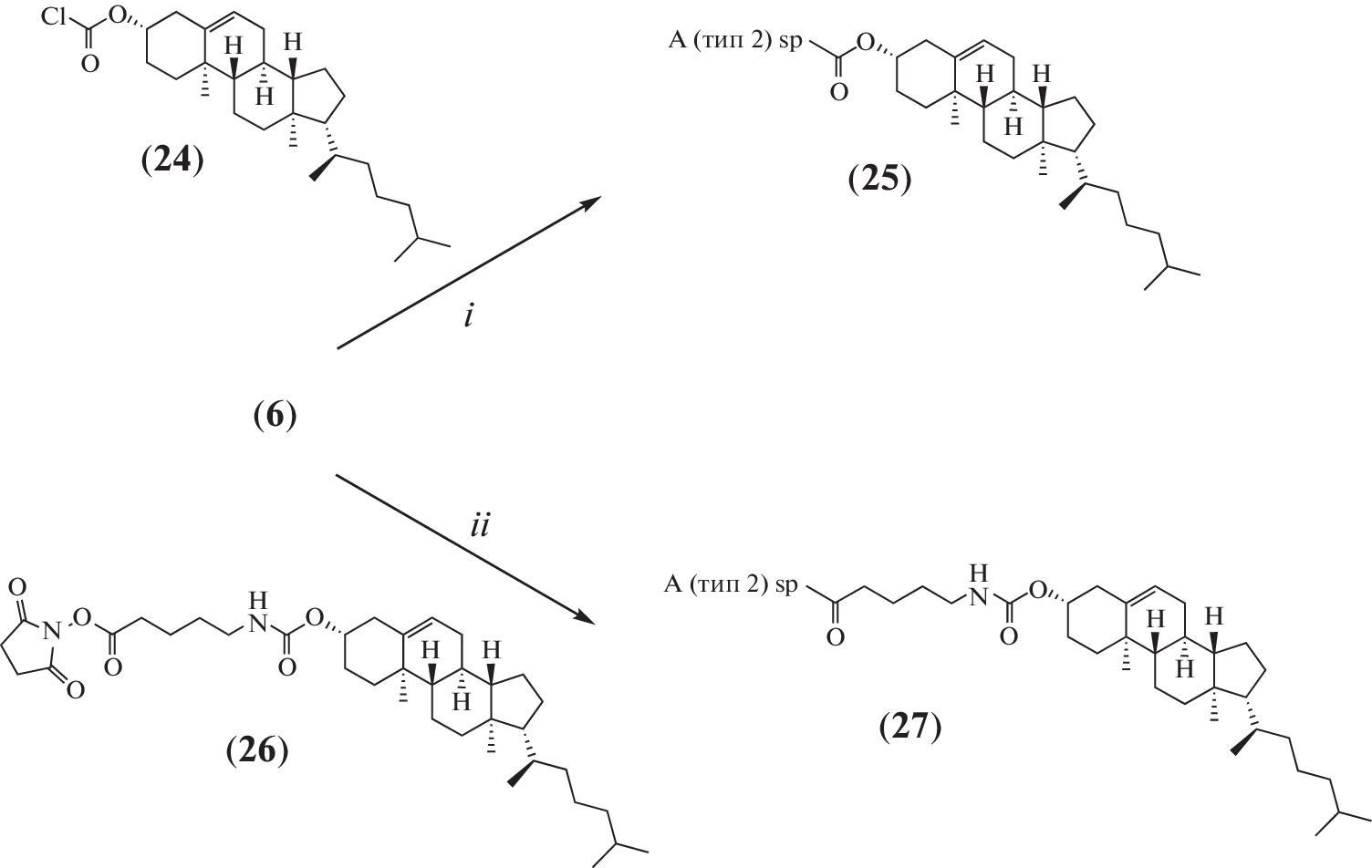
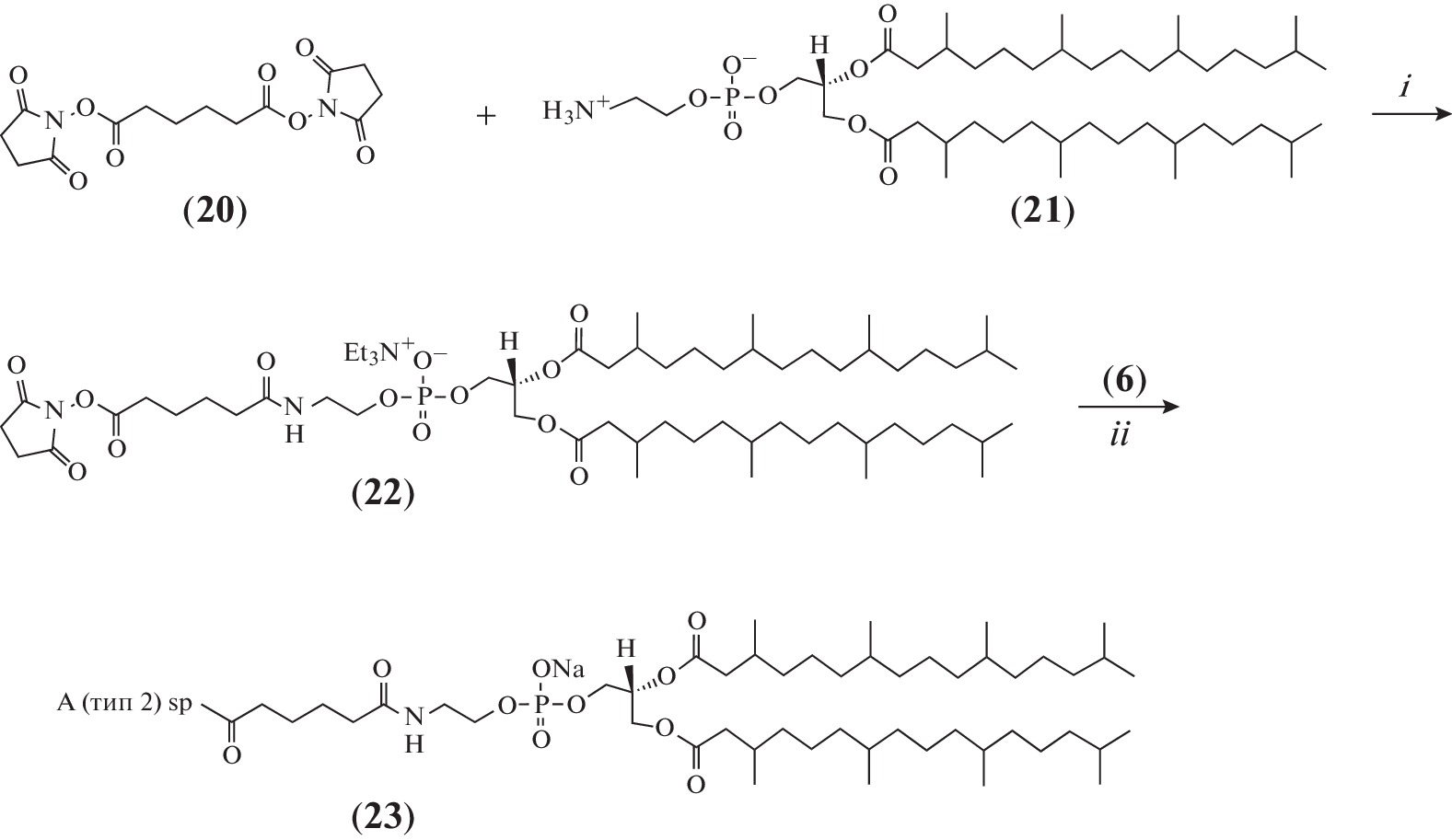
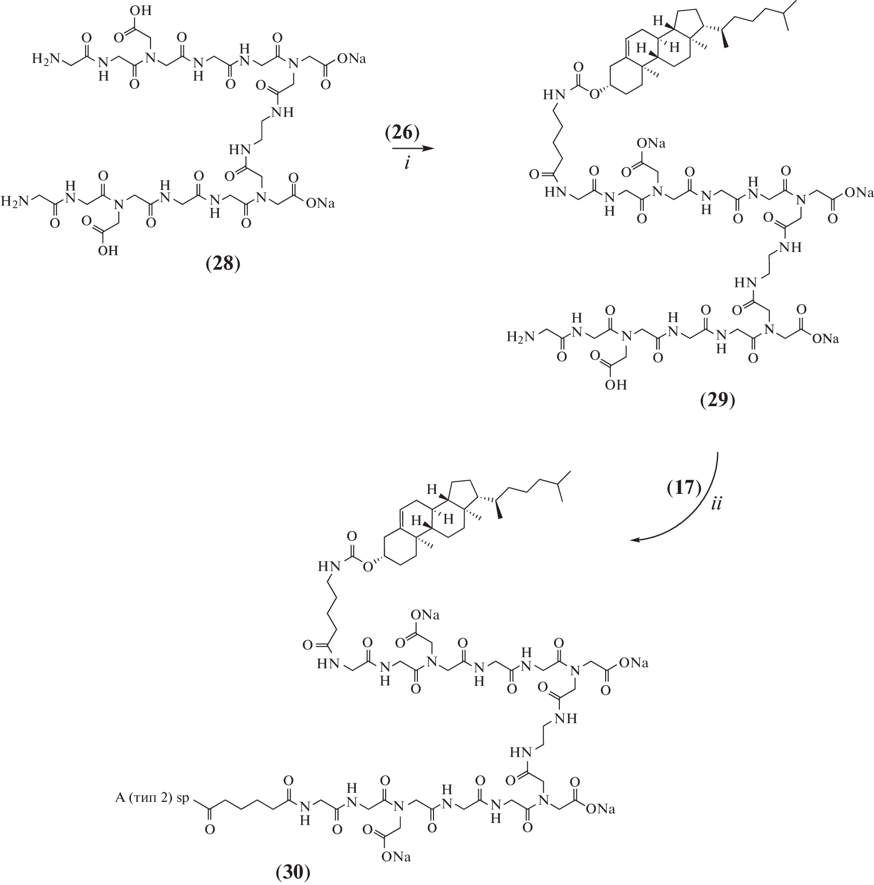
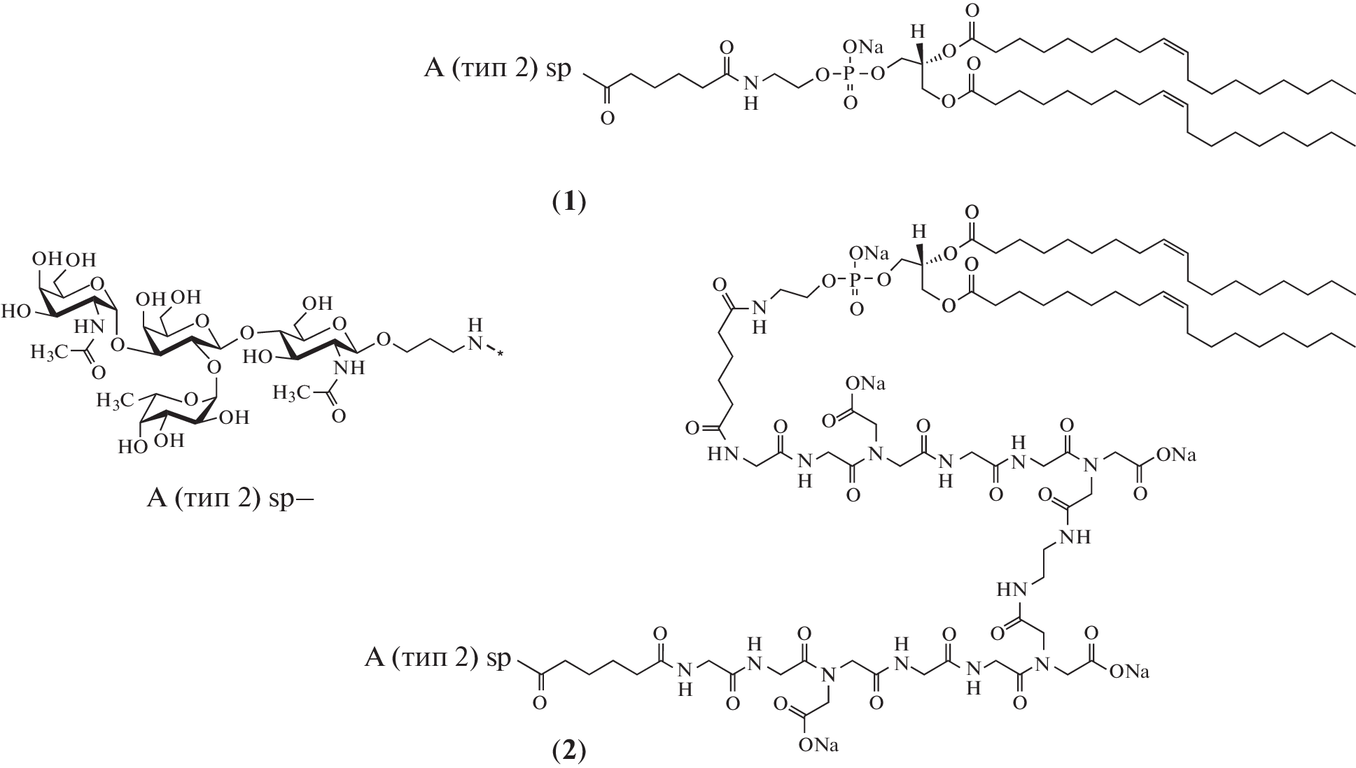
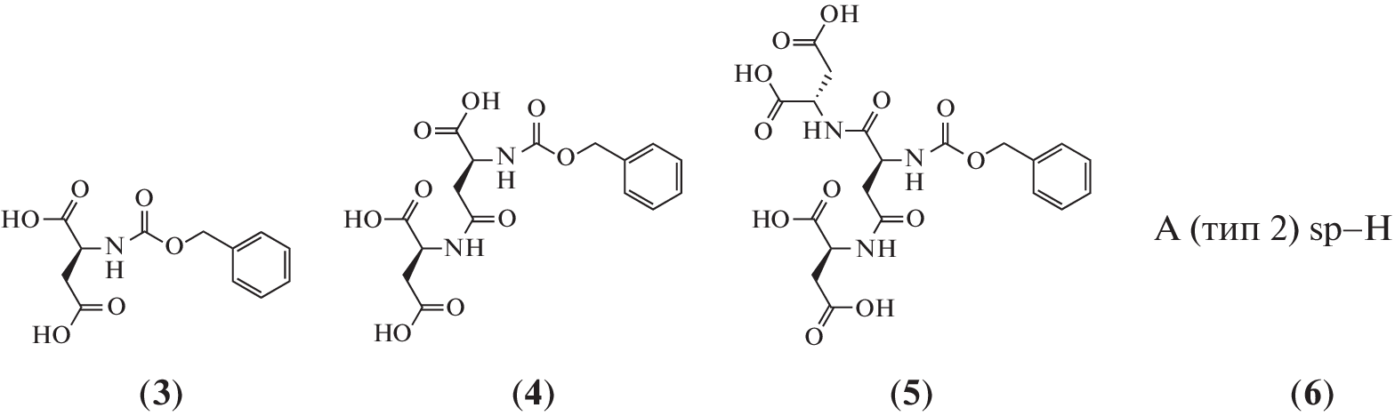
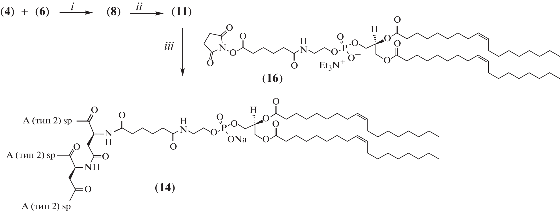
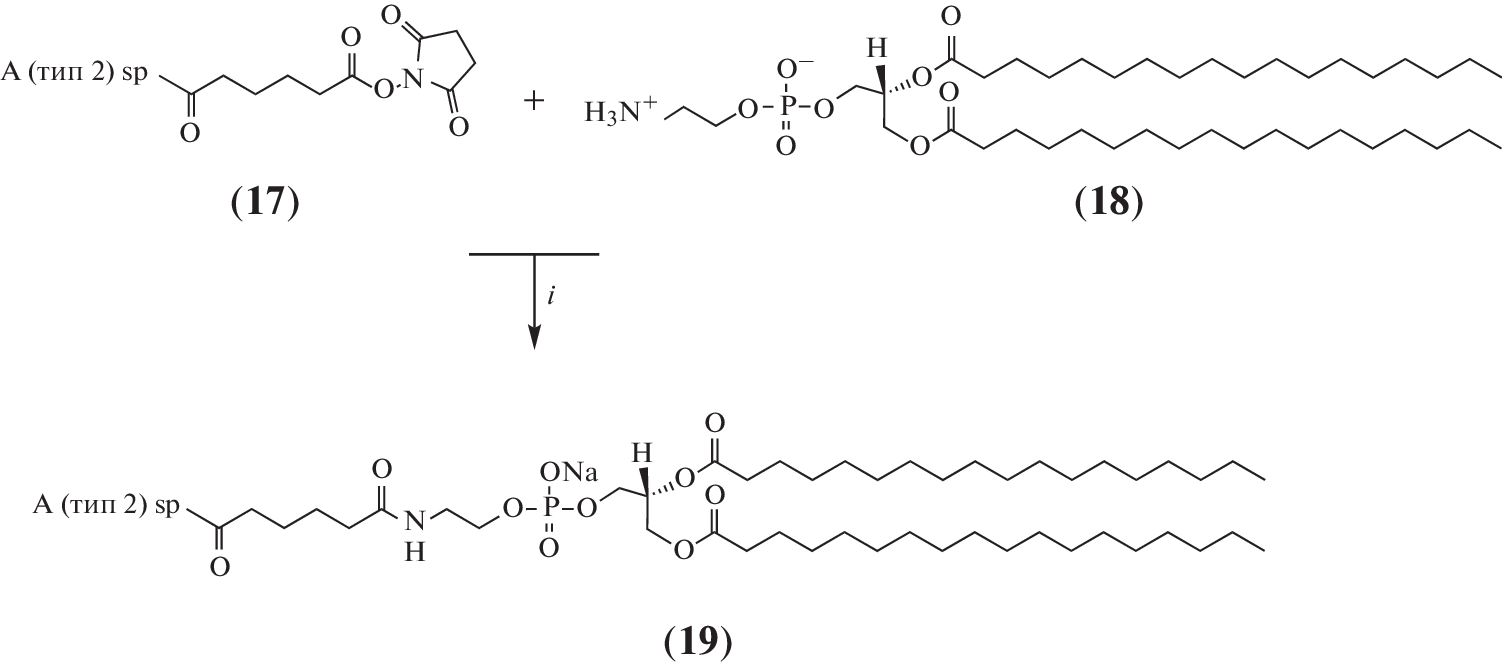
Гликолипиды – компоненты клеточной мембраны, способные к транспорту как из нее, так и в обратном направлении – из межклеточного пространства в мембрану. Последнее открывает возможность изучать функционирование гликолипидов путем их встраивания в мембрану клетки. На практике для такой цели намного удобнее использовать не природные гликолипиды, выделение которых представляет собой отдельную задачу, а их синтетические аналоги, т.к. можно варьировать их свойства, модифицируя структуру, а также вводить в их состав другие биоактивные компоненты, помимо гликанов. В данной работе описан синтез восьми синтетических аналогов гликолипидов, содержащих одну и ту же углеводную часть – тетрасахарид А (тип 2), но отличающихся строением липидной части, а также синтетических аналогов гликолипидов, несущих несколько одинаковых углеводных фрагментов. Полученная серия синтетических аналогов гликолипидов открывает возможность исследовать презентацию гликанового антигена в его узнавании антителами в условиях реального микроокружения (гликокаликса) живой клетки.
Об авторах
Д. О. Петракова
ФГБУН “Институт биоорганической химии им. академиков М.М. Шемякина и Ю.А. Овчинникова” РАН
Email: imryzhov@gmail.com
Россия, 117997, Москва, , ул. Миклухо-Маклая, 16/10
М. С. Савченко
ФГБУН “Институт биоорганической химии им. академиков М.М. Шемякина и Ю.А. Овчинникова” РАН
Email: imryzhov@gmail.com
Россия, 117997, Москва, , ул. Миклухо-Маклая, 16/10
И. С. Попова
ФГБУН “Институт биоорганической химии им. академиков М.М. Шемякина и Ю.А. Овчинникова” РАН
Email: imryzhov@gmail.com
Россия, 117997, Москва, , ул. Миклухо-Маклая, 16/10
А. Б. Тузиков
ФГБУН “Институт биоорганической химии им. академиков М.М. Шемякина и Ю.А. Овчинникова” РАН
Email: imryzhov@gmail.com
Россия, 117997, Москва, , ул. Миклухо-Маклая, 16/10
А. С. Парамонов
ФГБУН “Институт биоорганической химии им. академиков М.М. Шемякина и Ю.А. Овчинникова” РАН
Email: imryzhov@gmail.com
Россия, 117997, Москва, , ул. Миклухо-Маклая, 16/10
А. О. Чижов
ФГБУН “Институт органической химии им. Н.Д. Зелинского” РАН
Email: imryzhov@gmail.com
Россия, 119991, Москва, Ленинский просп., 47
Н. В. Бовин
ФГБУН “Институт биоорганической химии им. академиков М.М. Шемякина и Ю.А. Овчинникова” РАН
Email: imryzhov@gmail.com
Россия, 117997, Москва, , ул. Миклухо-Маклая, 16/10
И. М. Рыжов
ФГБУН “Институт биоорганической химии им. академиков М.М. Шемякина и Ю.А. Овчинникова” РАН
Автор, ответственный за переписку.
Email: imryzhov@gmail.com
Россия, 117997, Москва, , ул. Миклухо-Маклая, 16/10
Список литературы
- Reitsma S., Slaaf D.W., Vink H., Van Zandvoort M.A.M.J., Oude Egbrink M.G.A. // Pflugers Arch. Eur. J. Physiol. 2007. V. 454. P. 345–359. https://doi.org/10.1007/s00424-007-0212-8
- Rapoport E.M., Khasbiullina N.R., Komarova V.A., Ryzhov I.M., Gorbatch M.M., Tuzikov A.B., Khaidukov S.V., Popova I.S., Korchagina E.Y., Henry S.M., Bovin N.V. // Biochim. Biophys. Acta Biomembr. 2021. V. 1863. P. 183645. https://doi.org/10.1016/j.bbamem.2021.183645
- Marcus D.M., Cass L.E. // Science. 1969. V. 164. P. 553–555. https://doi.org/10.1126/science.164.3879.553
- Korchagina E., Tuzikov A., Formanovsky A., Popova I., Henry S., Bovin N. // Carbohydr. Res. 2012. V. 356. P. 238–246. https://doi.org/10.1016/j.carres.2012.03.044
- Miller-Podraza H. // Chem. Rev. 2000. V. 100. P. 4663–4681. https://doi.org/10.1021/cr990347o
- Koscielak J. // Transfus. Med. 2001. V. 11. P. 267–279. https://doi.org/10.1046/j.1365-3148.2001.00317.x
- Karlsson H., Johansson L., Miller-Podraza H., Karlsson K.A. // Glycobiology. 1999. V. 9. P. 765–778. https://doi.org/10.1093/glycob/9.8.765
- Morales-Serna J.A., Boutureira O., Díaz Y., Matheu M.I., Castillón S. // Carbohydr. Res. 2007. V. 342. P. 1595–1612. https://doi.org/10.1016/j.carres.2007.03.028
- Korchagina E.Y., Henry S.M. // Biochem. 2015. V. 80. P. 857–871. https://doi.org/10.1134/S0006297915070068
- Frame T., Carroll T., Korchagina E., Bovin N., Henry S. // Transfusion. 2007. V. 47. P. 876–882. https://doi.org/10.1111/j.1537-2995.2007.01204.x
- Henry S. // ISBT Sci. Ser. 2020. V. 15. P. 303–309. https://doi.org/10.1111/voxs.12545
- Ryzhov I.M., Bovin N.V. // Mendeleev Commun. 2019. V. 29. P. 597–612. https://doi.org/10.1016/j.mencom.2019.11.001
- Ryzhov I.M., Korchagina E.Y., Popova I.S., Tyrtysh T.V., Paramonov A.S., Bovin N.V. // Carbohydr. Res. 2016. V. 430. P. 59–71. https://doi.org/10.1016/j.carres.2016.04.029
- Ryzhov I.M., Tuzikov A.B., Perry H., Korchagina E.Y., Bovin N.V. // ChemBioChem. 2019. V. 20. P. 131–133. https://doi.org/10.1002/cbic.201800289
- Barr K., Korchagina E., Ryzhov I., Bovin N., Henry S. // Transfusion. 2014. V. 54. P. 2477–2484. https://doi.org/10.1111/trf.12661
- Perry H., Bovin N., Henry S. // Transfusion. 2019. V. 59. P. 2131–2140. https://doi.org/10.1111/trf.15247
- Lee R.T., Lee, Y.C. // Bioconjug. Chem. 1997. V. 8. P. 762–765. https://doi.org/10.1021/bc9700796
- Chiu S.W., Jakobsson E., Mashl R.J., Scott H.L. // Biophys. J. 2002. V. 83. P. 1842–1853. https://doi.org/10.1016/S0006-3495(02)73949-0
- Smondyrev A.M., Berkowitz M.L. // Biophys. J. 1999. V. 77. P. 2075–2089. https://doi.org/10.1016/S0006-3495(99)77049-9
- Henry S., Williams E., Barr K., Korchagina E., Tuzikov A., Ilyushina N., Abayzeed S.A., Webb K.F., Bovin N. // Sci. Rep. 2018. V. 8. P. 2845. https://doi.org/10.1038/s41598-018-21186-3
- Tyrtysh T.V., Korchagina E.Y., Ryzhov I.M., Bovin N.V. // Carbohydr. Res. 2017. V. 449. P. 65–84. https://doi.org/10.1016/j.carres.2017.06.014
- Азев В.Н., Байдакова Л.К., Чулин А.Н., Тузиков А.Б., Кислицин П.Г., Молчанов М.В., Мирошников А.И. // Биоорг. химия. 2023. Т. 49. № 4. С. 411–421. https://doi.org/10.31857/S0132342323040279
- Meloncelli P.J., Lowary T.L. // Carbohydr Res. 2010. V. 345. P. 2305–2322. https://doi.org/10.1016/j.carres.2010.08.012
Дополнительные файлы











