Kinetics of decomposition of 1,1-diamino-2,2-dinitroethylene (FOX-7). 6. The induction period at the early stages of the reaction in the solid state
- Authors: Nazin G.M.1, Kazakov A.I.1, Nabatova A.V.1, Volkova N.N.1, Shilov G.V.1
-
Affiliations:
- Federal Research Center of Problems of Chemical Physics and Medicinal Chemistry, Russian Academy of Sciences
- Issue: Vol 43, No 7 (2024)
- Pages: 3-9
- Section: Kinetics and mechanism of chemical reactions, catalysis
- URL: https://journal-vniispk.ru/0207-401X/article/view/274702
- DOI: https://doi.org/10.31857/S0207401X24070015
- ID: 274702
Cite item
Full Text
Abstract
The kinetics of thermal decomposition of FOX-7 compound at 155 °C under semi-open conditions in vessels with a volume of V = 0.8–0.9 cm3 in an air atmosphere and the degree of filling of the vessel with substances m/V = 0.03–0.72 g/cm3 has been studied by gravimetric method. It was found that at the largest m/V, an induction period is observed at the early stages of the reaction, during which the rate of mass loss of the sample is ten times less than the rate of decomposition of FOX-7 in the solid phase. With a decrease in m/V, the induction period is shortened and at m/ V = 0.04 g/cm3 disappears altogether. The appearance of the induction period is due to the fact that nitronic acid, which is the only product of the first stage of decomposition of FOX-7, is well adsorbed on the surface of FOX-7 crystals. At the same time, it almost completely loses its reactivity. As a result, until the end of the adsorption process, the decomposition of FOX-7 proceeds without the formation of gaseous products, and the reaction rate is not fixed by the gravimetric method suitable for studying the kinetics of the reaction at the early stages of decomposition FOX-7.
Full Text
1. ВВЕДЕНИЕ
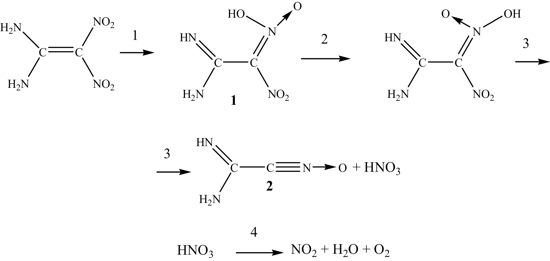
Предыдущие работы авторов по кинетике термического разложения соединения FOX-7 показали уникальность механизма его деструкции, которая заключается в том, что процесс может одновременно происходить в твердой и газовой фазах. Интерес представляет и определение вкладов этих реакций в суммарную скорость разложения. На рис. 1 показана схема начальных стадий процесса разложения соединения FOX-7, предложенная в работе [1] на основе квантово-химических расчетов и экспериментальных данных. Первая стадия процесса разложения в этой схеме – мономолекулярная изомеризация соединения FOX-7 в нитроновую кислоту (1). В газовой фазе гомогенный распад продукта 1 невозможен, поскольку поворот ОН-группы вокруг двойной связи C=N требует большой энергии активации [2]. Однако эта реакция легко идет по ионному механизму через ионизацию или автопротолиз кислоты, и поэтому высокая скорость разложения вещества 1 может наблюдаться в конденсированной фазе или в пара́х за счет гетерогенной реакции на поверхности сосуда [1, 3].
Рис. 1. Схема начальных стадий разложения соединения FOX-7.
Продукт 1 – это структурный изомер FOX-7, и его физические свойства должны быть подобны свойствам FOX-7. Можно ожидать, что вещество 1 будет представлять собой высокоплавкое соединение с примерно такой же упругостью паров и такой же способностью к образованию водородных связей, как у FOX-7. Сходство структур может быть причиной того, что пары́ вещества 1, образующиеся при разложении FOX-7, будут хорошо адсорбироваться на поверхности кристаллов FOX-7. Из-за образования водородных связей эта адсорбция будет носить характер однослойной хемосорбции. Диффузия молекул вещества 1 в таком слое затруднена, и бимолекулярные реакции между ними (автопротолиз и последующее разложение) будут сильно замедлены. Кроме того, в результате адсорбции значительно уменьшится давление паров 1 в сосуде, и при больших отношениях массы навески m к объему сосуда V, m/V, реакция разложения соединения 1 в газовой фазе практически прекратится. Таким образом, адсорбция приведет к тому, что единственным продуктом разложения FOX-7 будет вещество 1, находящееся в адсорбированном состоянии.
Из-за отсутствия газообразных продуктов, которые могли бы получаться при разложении 1, все методы, основанные на измерении давления, не будут регистрировать реакцию разложения FOX-7. В результате на кинетической кривой разложения FOX-7, записанной этими методами, появится период индукции, связанный с ингибированием реакции разложения, но не самого соединения FOX-7, а его первичного продукта 1. Длительность периода индукции зависит от адсорбционной емкости кристаллов FOX-7. Ввиду того, что эта емкость, даже с учетом внутренней поверхности кристалла, невелика, период индукции может наблюдаться только на самых ранних стадиях разложения.
Цель данной работы заключалась в том, чтобы экспериментально измерить скорость разложения FOX-7, начиная с глубины превращения, равной 0.01%, что позволило бы проверить прогноз о существовании периода индукции на ранних стадиях реакции, сделанный на основании известного механизма разложения FOX-7 и предположения об адсорбции промежуточного продукта 1.
ЭКСПЕРИМЕНТАЛЬНАЯ ЧАСТЬ
Использованный в работе образец FOX-7 имел размер кристаллов около 10−5 см и насыпную плотность не более 1 г/см3 . После очистки этого образца методом возгонки оба этих показателя не изменялись.
Измерение скорости разложения на глубине реакции 0.01% возможно только при достаточно низких температурах, когда время достижения 0.01%-ного распада будет по крайней мере на порядок больше времени прогрева образца. Исходя из этого требования, опыты проведены при температурах не выше 170 °C. В работе [4] для константы скорости разложения FOX-7 в твердой фазе получено выражение
kтв[c−1] = 1011.3exp(−160 · 103/RT) при R = 8.314 Дж/моль · K, (1)
из которого следует, что время разложения образца на глубину 0.01% при 170 °C равно 80 мин – много больше времени прогрева (5 мин).
Реакцию проводили в полуоткрытой системе в атмосфере воздуха в ампуле объемом 0.8–0.9 см3 с пробкой, имеющей отверстие ~1 мм2 для свободного выхода газообразных продуктов. Скорость реакции измеряли гравиметрическим методом. Этот метод имеет достаточно высокую чувствительность и в режиме периодического взвешивания позволяет проводить опыты большой длительности. Взвешивание проводили на аналитических весах ВЛР-20, имеющих чувствительность 0.05 мг. В качестве термостата использовали сушительный электрошкаф СНОЛ-И4М, в котором температура поддерживается с точностью ±0.2 град.
Для исключения вклада испарения и распада паров FOX-7 в общую скорость разложения необходимо использовать большие отношения m/Vо, где Vо − объем сосуда, не занятый образцом. Именно из этого объема происходит испарение FOX-7 и продуктов его разложения, в нем же идет разложение паров этих веществ. Основной опыт проведен при температуре 155 °C и m/V = = 0.72 г/см3. Также были проведены опыты при более низких отношениях m/V и более высокой температуре 170 °C.
Условия проведения опытов и результаты изменений приведены в табл. 1. Кинетические кривые разложения при 155 °C в координатах “η, степень превращения (%) – t, время (cут)” приведены на рис. 2. В таблице m – масса образца; V – объем ампулы; Vобр – объем образца при насыпной плотности в 1 г/см3; Vо = V − Vобр – объем ампулы, не занятый образцом; kтв и kг – константы скорости разложения FOX-7 в твердой и газовой фазах; Рупр – давление насыщенного пара FOX-7; mг – число молей FOX-7 в объеме Vо; mтв – число молей FOX-7 в твердой фазе; Wг = kгmг – скорость разложения в парах; Wтв = kтвmтв – скорость разложения в твердой фазе; τ0.1 – время разложения образца на глубину 0.1%.
Таблица 1. Экспериментальные результаты и расчетные параметры реакции разложения FOX-7 в различных условиях, соответствующие опытам № 1–8
Параметры | Значения параметров | |||||||
№ 1 | № 2 | № 3 | № 4 | № 5* | № 6 | № 7 | № 8 | |
Т, °С | 155 | 170 | ||||||
m, г | 0.61 | 0.138 | 0.0317 | 0.122 | 0.20 | 0.61 | 0.155 | 0.2175 |
V, см3 | 0.85 | 0.8 | 0.9 | 10.5 | 0.9 | 0.85 | 0.8 | 0.4 |
Vобр, см3 | 0.61 | 0.138 | 0.0317 | 0.122 | 0.20 | 0.61 | 0.155 | 0.2175 |
Vo, см3 | 0.24 | 0.66 | 0.87 | 10.4 | 0.7 | 0.24 | 0.65 | 0.18 |
m/V, г/см3 | 0.718 | 0.172 | 0.035 | 0.107 | 0.222 | 0.718 | 0.194 | 0.544 |
kг · 106 , с−1 [3] | 0.52 | 2.1 | ||||||
kтв · 108 , с−1 [4] | 0.4 | 2.0 | ||||||
Рупр, Торр [3] | 3.1 | 5.1 | ||||||
mг · 108, моль | 2.7 | 7.6 | 9.8 | 120 | 0.6 | 4.5 | 12 | 3.3 |
mтв · 103, моль | 4.1 | 0.93 | 0.21 | 0.8 | 1.3 | 4.1 | 1.0 | 1.5 |
Wг · 1014, моль/с | 1.4 | 3.9 | 5.1 | 62 | 0.36 | 9.4 | 25 | 6.9 |
Wтв·1011, моль/с | 1.6 | 0.45 | 0.084 | 0.0036 | 0.54 | 820 | 200 | 3.0 |
104 wг/wтв | 8.7 | 84 | 600 | 4000 | 70 | 0.1 | 1 | 2 |
τинд, сут | 130 | 90 | – | – | 75 | Нет | Нет | Нет |
τ0.1, сут Расчет по выражению (1): | 3 | 3 | 3 | 3 | 3 | 0.58 | 0.58 | 0.58 |
τ0.1, сут Эксперимент: | 110 | 22 | – | – | 32 | ~0.7 | ~0.7 | ~0.75 |
Рупр**, Торр | 0.1 | 0.1 | 0.1 | 0.1 | 0.1 | |||
103 kг**, с−1 | 1 | 1 | 1 | 1 | 1 | |||
mг** · 109, моль | 0.9 | 2 | 3 | 38 | 2.1 | |||
Wг** · 1011, моль/с | 0.09 | 0.2 | 300 | 380 | 0.21 | |||
Wг **/Wтв | 0.056 | 0 54 | 3.57 | 105 | 0.37 | |||
Примечание. Обозначения в первом столбце объяснены в тексте.
* Образец, очищенный возгонкой.
** Данные для соединения 1.
Рис. 2. Кинетические кривые разложения FOX-7 при температуре 155 °С. Цифры у кривых соответствуют номерам опытов из табл. 1.
Из рис. 2 и данных табл. 1 видно, что при значениях m/V, равных 0.72 и 0.17 г/см3 (кривые 1 и 2) наблюдается хорошо выраженный период индукции – длительный участок с низкой скоростью, после которого за сравнительно небольшое время скорость реакции многократно возрастает. Длительность периода индукции (τинд) в опыте с максимальным отношением m/V составляет 110 сут. За это время масса образца уменьшается на 0.1%. При уменьшении m/V период индукции τинд сокращается, и при m/V < 0.04 г/см3 он вырождается в участок с плавным увеличением скорости реакции.
Необходимо отметить, что во всех опытах линейным участкам кинетических кривых предшествует “начальный скачок” уменьшения массы, ∆mо. Величина ∆mо достигает 0.2–0.3%, длительность – 3–5 сут. Во избежание пересечения кинетических кривых этот “скачок” на рис. 2 не показан.
При нагревании до 170 °C (рис. 3) первичный участок, характеризующийся быстрой потерей массы образца, выражен значительно сильнее, чем при 155 °C. Величина ∆mо достигает 1%. После завершения этого примесного процесса реакция идет с постоянной скоростью, не зависящей от отношения m/V .
Рис. 3. Кинетическая кривая разложения FOX-7 при температуре 170 °С, построенная по результатам опыта № 6 и данным табл. 1; данные опыта № 7 – □, данные опыта № 8 – ○.
ОБСУЖДЕНИЕ РЕЗУЛЬТАТОВ
Главный экспериментальный результат исследования заключается в том, что реакция разложения FOX-7 в твердой фазе на ранних стадиях имеет, как и предсказано на основании ее механизма, период индукции. Наибольшая длительность периода индукции (τинд) наблюдается в опыте № 1 при m/V = 0.72 г/см3 (см. табл. 1) и составляет более 100 сут. Потеря массы при этом составляет 0.1%. Для реакции разложения FOX-7 в твердом состоянии время превращения на 0.1% (τ0.1) равно 3 сут (табл. 1). Таким образом, наблюдаемая скорость распада образца в периоде индукции в 30 раз меньше истинной скорости реакции.
Тот факт, что в периоде индукции происходит небольшая потеря массы, можно объяснить сублимацией и выходом паров FOX-7 из реакционного сосуда. Испарение идет из объема Vо, в котором пары́ имеют свободный доступ к поверхности ампулы, и поэтому скорость испарения зависит от величины этого объема. Чем меньше Vо, тем меньше скорость испарения. Кроме того, на скорость уменьшения массы может влиять распад FOX-7 в газовой фазе. Для оценки вклада этой реакции в изменение массы образца необходимо знать упругость паров соединения FOX-7, константу скорости реакции в газовой фазе и объем Vо, в котором в основном и протекает разложение паров FOX-7. Все необходимые для расчета величины известны [1, 3, 4] и приведены в табл. 1. Результаты расчета, представленные в этой же таблице, показывают, что в опыте № 1 скорость газофазной реакции разложения (Wг) на три порядка меньше скорости разложения FOX-7 в твердой фазе (Wтв). Поэтому разложение FOX-7 в пара́х не может быть причиной изменения веса в периоде индукции в этом опыте.
При уменьшении отношения m/V в 4 раза (опыт № 2), скорость реакции на линейном участке возрастает примерно в 5 раз, а период индукции сокращается вдвое. Вклад газофазного распада FOX-7 в скорость на линейном участке по-прежнему остается незначительным, а ее увеличение можно объяснить ростом скорости испарения FOX-7 из сосуда при увеличении свободного объема Vо. Однако испарение не может влиять на τинд. Явная зависимость этой величины от Vо указывает на связь τинд с реакциями, идущими в газовой фазе. Самой эффективной из этих реакций является гетерогенный распад продукта 1 на стенке сосуда.
Равновесное давление (Рравн) паров вещества 1 над адсорбентом должно быть значительно меньше упругости паров FOX-7. Константа скорости гетерогенной реакции продукта 1 в паровой фазе по приближенным оценкам, сделанным на основании данных работ [4–6], должна быть как минимум на 4 порядка выше, чем у реакции разложения FOX-7 в газовой фазе. То же самое касается сравнения констант скорости разложения соединений FOX-7 и 1 в твердом состоянии. Для проведения оценочных расчетов примем, что при температуре 155 °C для соединения 1 kг = 10−4 с−1, Рравн = 0.1 Торр. Результаты расчета показывают (табл. 1), что в опыте № 1 при m/V = 0.72 г/см3 скорость разложения соединения 1 в пара́х (Wг** в обозначениях табл. 1), составляет 6% от скорости разложения FOX-7 в твердой фазе, Wтв. При уменьшении отношения m/V в 4 раза (опыт № 2) эта цифра увеличивается до 50%, и при дальнейшем уменьшении m/V скорость распада вещества 1 в пара́х становится уже в разы больше Wтв. Газофазный распад соединения 1 конкурирует с адсорбцией, уменьшая долю адсорбированного вещества 1 и тем самым сокращая τинд. При некотором значении Wг** > Wтв период индукции должен “исчезнуть”. Этот модельный расчет дает возможность объяснить зависимости τинд от отношения m/V ростом скорости гетерогенной реакции распада паров вещества 1 при увеличении Vо. Опыт № 3 показывает, что при m/V < 0.04 г/см3 период индукции не фиксируется, вырождаясь в участок с плавным нарастанием скорости.
При температуре 170 °C (рис. 3, опыты № 6–8) увеличивается ∆mо – изменение массы образца в начальном побочном процессе, который связан с десорбцией атмосферных газов и воды с поверхности кристаллов образца FOX-7 [3]. Причиной увеличения ∆mо до 1% вместо 0.2–0.3% при температуре 155 °C может быть полиморфный переход β → γ, протекающий при 165 °C. Этот переход сопровождается перестройкой кристаллической решетки, что способствует выходу летучих примесей из микроскопических газовых пузырьков, захваченных кристаллической решеткой [3].
Длительность побочной реакции при 170 °C составляет ~5 сут. За это время степень превращения FOX-7 достигнет 1%. Поэтому можно полагать, что еще до окончания побочного процесса период индукции закончится и разложение FOX-7 начнет идти с обычной скоростью твердофазной реакции, определяемой уравнением (1). Необходимо также учитывать, что в отсутствие адсорбции внешняя поверхность образца будет быстро покрыта пленкой продуктов газофазного распада FOX-7 [1, 3], после чего сублимация и газофазная реакция разложения FOX-7, так же как и его испарение из сосуда, прекратятся. Наблюдаться будет только реакция разложения в твердой фазе, скорость которой, по крайней мере на ранних стадиях, не зависит от отношения m/V [4].
В опытах № 6–8 время разложения FOX-7 на 0.1% (τ0.1) на участке с постоянной скоростью составляет 43 ч, что втрое превышает расчетную величину τ0.1 = 14 ч. Следует, однако, учесть, что после окончания периода индукции разложение FOX-7 должно идти по схеме (рис. 1), включающей распад продукта 1 на нитрилоксид 2 и HNO3. В полуоткрытых системах азотная кислота испаряется, а вещество 2 остается в твердом остатке. Потеря массы вследствие улетучивания HNO3 составляет 40%, и изменение массы образца на 1% будет соответствовать изменению глубины реакции на 2.5%. С учетом этого замечания получаем τ0.1 ≈ 17 ч. Таким образом, при 170 °C время разложения образца FOX-7 на 0.1%, а значит и константа скорости реакции, измеренные гравиметрическим методом и рассчитанные по уравнению (1), практически совпадают.
ЗАКЛЮЧЕНИЕ
При исследовании кинетики разложения соединения FOX-7 гравиметрическим методом при температуре 155 °С установлено, что в сосуде с объемом V = 0.8 см3 при m/V = 0.72 г/см3 на глубине реакции до 0.1% в течение 100 сут наблюдается период индукции (τинд ), во время которого скорости потери массы образца в десятки раз меньше скорости разложения FOX-7. Появление периода индукции можно считать следствием адсорбции нитроновой кислоты (1) – первичного продукта разложения FOX-7 – на поверхности кристаллов FOX-7. Адсорбция сильно снижает реакционную способность вещества 1, в результате чего распад FOX-7 ограничивается накоплением этого продукта в адсорбированном состоянии и не сопровождается образованием газообразных продуктов. При снижении отношения m/V, которое происходит за счет уменьшения массы образца m, τинд сокращается, так как при увеличении свободного объема растет скорость гетерогенной реакции разложения паров 1 на стенке сосуда. Из-за конкуренции этой реакции с адсорбцией, количество адсорбированного вещества 1 снижается, и при m/V < 0.04 г/см3 период индукции не фиксируется.
Работа выполнена по темам госзадания № АААА-А19-119101690058-9 и № АААА-А19-119120690042-9.
About the authors
G. M. Nazin
Federal Research Center of Problems of Chemical Physics and Medicinal Chemistry, Russian Academy of Sciences
Email: akazakov@icp.ac.ru
Russian Federation, Chernogolovka
A. I. Kazakov
Federal Research Center of Problems of Chemical Physics and Medicinal Chemistry, Russian Academy of Sciences
Author for correspondence.
Email: akazakov@icp.ac.ru
Russian Federation, Chernogolovka
A. V. Nabatova
Federal Research Center of Problems of Chemical Physics and Medicinal Chemistry, Russian Academy of Sciences
Email: akazakov@icp.ac.ru
Russian Federation, Chernogolovka
N. N. Volkova
Federal Research Center of Problems of Chemical Physics and Medicinal Chemistry, Russian Academy of Sciences
Email: akazakov@icp.ac.ru
Russian Federation, Chernogolovka
G. V. Shilov
Federal Research Center of Problems of Chemical Physics and Medicinal Chemistry, Russian Academy of Sciences
Email: akazakov@icp.ac.ru
Russian Federation, Chernogolovka
References
- G.M. Nazin, V.V. Dubikhin, T.K. Goncharov, A.I. Kazakov, A.V. Nabatova, A.V. Shastin, Russ. J. Phys. Chem. B 15, 483 (2021). https://doi.org/10.1134/S1990793121030283
- G.M. Khrapkovskii, A.G. Shamov, E.V. Nikolaeva, D.V. Chachkov. Russ. Chem. Rev. 78 , 903 (2009). https://doi.org/10.1070/RC2009v078n10ABEH004053
- Nazin G.M., Kazakov A.I., Larikova T.S., Nabatova A.V., Volkova N.N., Kinetics of decomposition of 1,1-dia mino-2,2-dinitroethylene (FOX-7). 5. Vapor pressure and reaction in the gas phase, Russ. J. Phys. Chem. B 18, 663 (2024). https://doi.org/10.1134/S1990793124700118
- G.M. Nazin, V.V. Dubikhin, T.K. Goncharov, A.I. Kaza kov, A.V. Nabatova, A.V. Shastin, Russ. J. Phys. Chem. B 15, 604 (2021). https://doi.org/10.1134/S1990793121040059
- Hodge E.B. // J. Amer. Chem. Soc. 73, 2341 (1951).
- The Chemistry of the Nitro and Nitroso Groups, Ed. by Feuer H., (Interscience Publishers, New York–London–Sidney–Toronto, 1969, Part 1).
Supplementary files





