Spin adducts in photolysis of mixed benzoyl phosphonium-iodonium ylides in dichloromethane
- Authors: Potapov I.D.1,2, Motyakin M.V.1, Podrugina T.A.2, Nekipelova T.D.1
- 
							Affiliations: 
							- Emanuel Institute of Biochemical Physics, Russian Academy of Sciences
- Moscow State Lomonosov University
 
- Issue: Vol 43, No 11 (2024)
- Pages: 18-30
- Section: Kinetics and mechanism of chemical reactions, catalysis
- URL: https://journal-vniispk.ru/0207-401X/article/view/281862
- DOI: https://doi.org/10.31857/S0207401X24110031
- ID: 281862
Cite item
Abstract
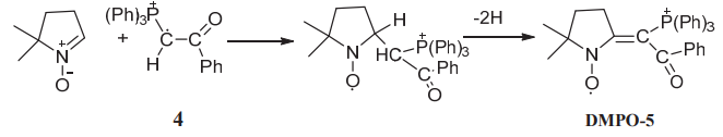
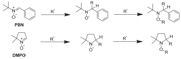
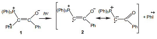
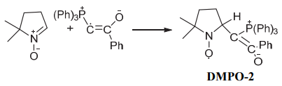
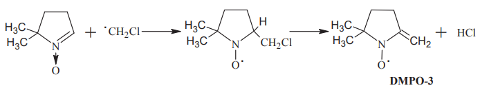
Mixed phosphonium-iodonium ylides are of interest as reactants for the synthesis of new heterocyclic compounds. Recently it has been shown that the reactions of the phosphonuim-iodonium ylides under the action of light occurs with the formation of radicals. The radicals generated in the photolysis of the ylide itself and the compounds, which are its fragments, diphenyliodonium salt and triphenylphosphine, as well as participating in its reactions, dichloromethane and phenylacetylene, have been studied with the use of PBN and DMPO spin traps. The obtained results have confirmed the radical mechanism of the photodecomposition of the ylide and allowed to specify the composition of primary radicals generated in the photolysis. The unknown magnetic-resonance parameters for some radicals have been determined.
Full Text
 
												
	                        About the authors
I. D. Potapov
Emanuel Institute of Biochemical Physics, Russian Academy of Sciences; Moscow State Lomonosov University
														Email: nekip@sky.chph.ras.ru
				                					                																			                												                	Russian Federation, 							Moscow; Moscow						
M. V. Motyakin
Emanuel Institute of Biochemical Physics, Russian Academy of Sciences
														Email: nekip@sky.chph.ras.ru
				                					                																			                												                	Russian Federation, 							Moscow						
T. A. Podrugina
Moscow State Lomonosov University
														Email: nekip@sky.chph.ras.ru
				                					                																			                												                	Russian Federation, 							Moscow						
T. D. Nekipelova
Emanuel Institute of Biochemical Physics, Russian Academy of Sciences
							Author for correspondence.
							Email: nekip@sky.chph.ras.ru
				                					                																			                												                	Russian Federation, 							Moscow						
References
- T. Baumgartner, Acc. Chem. Res. 47, 1613 (2014). https://doi.org/10.1021/ar500084b
- E. Regulska, C. Romero-Nieto, Dalton Trans. 47, 10344 (2018). https://doi.org/10.1039/C8DT01485J
- M.P. Duffy, W. Delaunay, P. Bouit et al, Chem. Soc. Rev. 45, 5296 (2016). https://doi.org/10.1039/C6CS00257A
- A. Belyaev, Y.-T. Chen, S.-H. Su et al, Chem. Commun. 53, 10954 (2017). https://doi.org/10.1039/C7CC06882D
- J.A. Kampmeier, T.W. Nalli, J. Org. Chem. 59, 1381 (1994). https://doi.org/10.1021/jo00085a030
- T.D. Nekipelova, V.V. Kasparov, A.L. Kovarskii et al, Dokl. Phys. Chem. 474, 109 (2017). https://doi.org/10.1134/S0012501617060070
- T.D. Nekipelova, M.V. Motyakin, V.V. Kasparov et al, Russ. J. Phys. Chem. B 13, 907 (2019). https://doi.org/10.1134/S1990793119060265
- I.D. Potapov, M.V. Motyakin, T.D. Nekipelova, T.A. Podrugina, Russ. Chem. Bull., 73, 523 (2024). https://doi.org/10.1007/s11172-024-4161-6
- F.A. Villamena, Reactive species detection in biology. From Fluorescence to Electron Paramagnetic Resonance Spectroscopy (Elsevier, Amsterdam, 2016).
- M. J. Davies, Methods 109, 21 (2016). https://doi.org/10.1016/j.ymeth.2016.05.013
- E.G. Janzen, G.A. Coulter, U.M. Oehler et al, Canad. J. Chem. 60, 2725 (1982). https://doi.org/10.1139/v82-392
- N.A. Chumakova, A.E. Lazhko, M.V. Matveev et al, Russ. J. Phys. Chem. B. 16, 1397 (2022). https://doi.org/10.1134/S1990793122080073
- T.A. Ivanova, E.M. Zubanova, A.A. Popova et al, Russ. J. Phys. Chem. B. 16, 1208 (2022). https://doi.org/10.1134/S1990793122070089
- T.A. Ivanova, M.Ya. Melnikov, P.S. Timashev, E.N. Golubeva, Russ. J. Phys. Chem. B. 17, 471 (2023). https://doi.org/10.1134/S1990793123020276
- A.A. Popova, E.N. Golubeva, Russ. J. Phys. Chem. B. 17, 1540 (2023). https://doi.org/10.1134/S1990793123070187
- E.D. Matveeva, T.A. Podrugina, A.S. Pavlova et al, Eur. J. Org. Chem. 14, 2323 (2009). https://doi.org/10.1002/ejoc.200801251
- E.D. Matveeva, D.S. Vinogradov, T.A. Podrugina et al, Eur. J. Org. Chem. 33, 7324 (2015). https://doi.org/10.1002/ejoc.201500876
- http://www.niehs.nih.gov/research/resources/software/toxpharm/tools/index.cfm
- I.I. Levina, O.N. Klimovich, D.S. Vinogradov et al, J. Phys. Org. Chem. 31, e3844 (2018).
- G.R. Buettner, Free Radic. Biol. Med. 3, 259 (1987).
- M. J. Davies, T. F. Slater, Chem.-Biol. Interact. 58, 137 (1986).
- H. Sang, E. G. Janzen, J. L. Poyer et al, Free Radic. Biol. Med. 22, 843 (1997).
- M.A. Brusa, Y. Di Iorio, M.S. Churio et al, J. Mol. Catal. A: Chem. 268, 29 (2007). https://doi.org/10.1016/j.molcata.2006.12.008
- P. Calza, C. Minero, E. Pelizzetti, J. Chem. Soc. Faraday Trans. 93, 3765 (1997). https://doi.org/10.1039/A703867D
- P. Calza, C. Minero, E. Pelizzetti, Environ. Sci. Technol. 31, 2198 (1997). https://doi.org/10.1021/es960660x
- P. P. Romanczyk, S. S. Kurek, Electrochim. Acta. 351, 136404 (2020). https://doi.org/10.1016/j.electacta.2020.136404
- J.L. Dektar, N.P. Hacker, J. Org. Chem. 55, 639 (1990). https://doi.org/10.1021/jo00289a045
- C. Bernofsky, B.M.R. Bandara, O. Hinojosa, Free Radic. Biol. Med. 8, 231 (1990).
- S. Stan, M.A. Daeschel, J. Agric. Food Chem. 53, 4906 (2005). https://doi.org/10.1021/jf047918k
- H.G. Aurich, M. Schmidt, Th. Schwerzel, Ber. 118, 1086 (1985).
- B. M. R. Bandara, O. Hinojosa, C. Bernofsky, J. Org. Chem. 57, 2652 (1992).
- Y. Sueishi, Y. Miyake, Bull. Chem. Soc. Jpn. 70, 397 (1997).
- Y. Sueishi, Y. Nishihara, J. Chem. Research (S). 84 (2001).
- L. Noel-Duchesneau, El. Lagadic, F. Morlet-Savary et al, Org. Lett. 18, 5900 (2016).
- C.F. Chignell, A.G. Motten, R.H. Sik et al, Photochem. Photobiol. 59, 5 (1994).
- J.S. Hwang, C.P. Tsonis, Polymer. 22, 1462 (1981).
- C.P. Novakov, D. Feierman, A.I. Cederbaum et al, Chem. Res. Toxicol. 14, 1239 (2001). https://doi.org/10.1021/tx015507h
- T. Kunitake, S. Murakami, J. Polym. Sci., Polym. Chem. Ed. 12, 67 (1974).
- H. Candra, I.M.T. Davidson, M.C.R. Symons, J. Chem. Soc., Faraday Trans. 1. 79, 2705 (1983).
- W.A. Pryor, S.K. Nuggehalli, K.V. Scherer et al, Chem. Res. Toxicol. 3, 2 (1990).
- L. Eberson, J. Chem. Soc. Perkin Trans. 2. 10, 1807 (1992). https://doi.org/10.1039/P29920001807
Supplementary files
 
				
			 
					 
						 
						 
						 
						 
				
 
  
  
  Email this article
			Email this article 
 Open Access
		                                Open Access Access granted
						Access granted












