Metastable methane dimers in collisions with inert gas atoms: study by the method of classical trajectories
- Authors: Ivanov S.V.1
-
Affiliations:
- Institute of Photon Technologies of Federal Scientific Research Centre “Crystallography and Photonics” of Russian Academy of Sciences
- Issue: Vol 43, No 9 (2024)
- Pages: 3-18
- Section: Элементарные физико-химические процессы
- URL: https://journal-vniispk.ru/0207-401X/article/view/282069
- DOI: https://doi.org/10.31857/S0207401X24090013
- ID: 282069
Cite item
Full Text
Abstract
The formation of collision complexes, also called quasi–complexes (QC), metastable dimers or Feshbach resonances, has been studied for CH4 – He, Ne, Ar systems by the method of classical trajectories. The calculations used exact 3D classical Hamilton equations in the action–angle variables and non-empirical surfaces of the interaction potential energy. The selection of collision parameters was carried out by the Monte Carlo method. A statistical analysis of the QCs parameters is performed. It is shown that QCs can be both short-lived and long-lived and are characterized by a variety of interparticle separations. Among the total number of collisions, the fraction of QCs increases rapidly with a decrease of temperature. Formulas are given that reveal the contribution of QCs to the cross sections of the rotational RT- relaxation of CH4. It is shown that in methane mixtures considered RT- relaxation in QC- type collisions is much more effective than in ordinary inelastic collisions.
Full Text
1. ВВЕДЕНИЕ
Столкновительные комплексы
Столкновительные комплексы играют важную роль в динамике молекулярных реакций [1, 2], химических процессах в различных средах (атмосферных [3], горения [4], межзвездных [5]), транспортных свойствах газов [6], явлениях молекулярной спектроскопии [7–11]. Такие комплексы являются промежуточными [1] в процессе образования жестко связанных димеров в газофазных средах. Столкновительные комплексы влияют на колебательную и вращательную релаксацию [12–18], а также на уширение и сдвиг спектральных линий [10, 11], особенно при низких температурах.
Как правило, различают два типа столкновительных комплексов (резонансов) [19]. Это классически запрещенные резонансы формы (shape resonances), возникающие в результате поступательного туннелирования, и классически разрешенные комплексы. В квантовой механике нет точного различия между этими двумя типами резонансов, но в классической картине они определенно различны.
Классически разрешенные столкновительные комплексы обычно классифицируются как “orbiting” и резонансы Фешбаха [10, 19]. Резонансы Фешбаха также называются состояниями внутреннего возбуждения [20], квазисвязанными комплексами (Quasi-bound Complexes – (QC)), метастабильными комплексами (состояниями), или метастабильными димерами. Они могут образовываться при условии, что по крайней мере один из сталкивающихся партнеров обладает внутренней степенью свободы (например, вращательной) [19, 20]. Полученный энергетически нестабильный комплекс затем подвергается стабилизирующему или разрушающему столкновению с третьей частицей, в противном случае он спонтанно распадается. Отметим, что вероятность формирования столкновительного комплекса возрастает по мере увеличения числа внутренних степеней свободы системы [7–9].
Почти невозможно получить информацию о столкновительных комплексах в экспериментах, поэтому компьютерное моделирование является естественным и эффективным способом изучения их свойств. При этом следует использовать только хорошо обоснованные теоретические методы (квантовые или классические). К сожалению, точный, полностью квантовый подход не является иллюстративным и остается очень трудоемким, несмотря на современные вычислительные возможности. С другой стороны, классическое моделирование молекулярных столкновений (с применением принципа соответствия с квантовой механикой) является эффективным и наглядным инструментом для исследования свойств QC и их проявлений. При этом в таких расчетах следует использовать только надежные ab initio (неэмпирические) поверхности потенциальной энергии (ППЭ) межмолекулярного взаимодействия, которые сейчас доступны благодаря прогрессу вычислительной квантовой химии и компьютерной техники.
Классическое моделирование столкновительных комплексов проводилось во многих работах (см., например, работы [10–18] и ссылки в них). В то же время детальному анализу параметров QC, а также их газокинетических и спектроскопических проявлений в системах с вращательными степенями свободы посвящено относительно мало работ. В этой связи отметим работу [16], где динамику образования QC в молекулярном азоте исследовали полуклассическим методом с учетом V-R-T степеней свободы, включая столкновения колебательно-возбужденных молекул N2. В работе [16] рассчитаны и проанализированы различные характеристики, относящиеся к образованию комплексов, включая вероятности и сечения образования QC, распределения времен жизни и др. Была изучена роль, которую играют QC в стимулировании колебательно-колебательного обмена энергией в столкновениях N2(v1)–N2(v2). В работах [17, 18] подчеркнута важность учета квазисвязанных состояний в RT-релаксации энергии в системах CO2–Ar и CO2–He. В работе [18] на примере CO2–Ar подробно изучены общие закономерности образования/распада QC в столкновениях атома с жесткой двухатомной или линейной многоатомной молекулой. Рассчитаны и проанализированы статистические распределения параметров, характеризующие образование/распад QC и их размеры. Показано, что использование упрощенной компланарной модели динамики столкновений ведет к неверному предсказанию практически всех характеристик QC, включая сечения RT-обмена. Долговечность метастабильных димеров СО2 обсуждалась в работе [21] на основе измеренных спектров поглощения чистого СО2 в ИК-области. О первом траекторном моделировании спектра вращательно-трансляционной полосы столкновительно-индуцированного поглощения в сжатых газовых смесях CO2–Ar и CO2–Xe сообщалось в работе [22]. В этой работе выполнено исследование роли стабильных и метастабильных димеров CO2–Ar и CO2–Xe в формировании поглощения такого типа, запрещенного для изолированных молекул, в микроволновой и дальней ИК-областях, что чрезвычайно важно для изучения планетных атмосфер. Развитию и совершенствованию данного классического моделирования на примере системы CO2–Ar посвящены работы [23, 24].
Об актуальности исследований молекулы метана
Метан (СН4), наряду с H2O и CO2 является мощным парниковым газом. В настоящее время наблюдается очень высокая концентрация метана в атмосфере Земли по сравнению с предыдущими годами, что объясняется интенсивным его выделением из природных и антропогенных источников. К таким природным источникам относят газовые гидраты метана, или клатраты СН4 – кристаллические соединения, образующиеся при высоком давлении и низкой температуре из воды и газа, например, на дне моря или в условиях вечной мерзлоты. Опасность заключается в том, что увеличение выбросов метана, особенно в результате таяния вечной мерзлоты, может значительно ускорить темпы глобального потепления со всеми вытекающими последствиями (“метановая катастрофа”). В этой связи любые исследования, связанные с метаном, сейчас имеют приоритетное значение [25–30].
Цель настоящей работы – исследование характеристик образования, распада и других свойств метастабильных димеров метана с помощью классического траекторного моделирования. Мы ограничились рассмотрением относительно простых бимолекулярных систем типа атом – жесткий сферический волчок (He, Ne, Ar – CH4) и сосредоточились на статистическом анализе параметров QC и условий их образования в столкновениях. Рассчитаны функции распределения времен жизни QC, прицельных параметров столкновений, при которых они образуются, минимальных и максимальных размеров, сечений образования QC при разных температурах и др. Показана важность учета метастабильных димеров в прогнозировании сечений вращательно-поступательной релаксации энергии CH4.
2. КЛАССИЧЕСКОЕ НЕРЕАКЦИОННОЕ РАССЕЯНИЕ В СИСТЕМЕ АТОМ–CH4
Параметры молекулы метана
Молекула 12CH4 является сферическим волчком и принадлежит к тетраэдрической группе симметрии Td . Длина связей C–H составляет 108.7 пм [31], угол между C–H связями равен 109.471o [32]. Вращательные постоянные 12CH4 одинаковы и равны A = B = C = h2/(82I) = 5.2412 см-1 (I = IA = IB = IC – главные моменты инерции волчка), постоянные нежесткости – D J = 1.12 × 10−4 см−1, D Jτ = 0.30 × 10−4 см−1 [33, 34]. Из сравнения этих постоянных следует, что приближение жесткого волчка вполне оправдано для не слишком больших значений вращательного квантового числа J.
Уравнения Гамильтона для системы атом – сферический волчок в переменных действие – угол
В задачах классической динамики столкновений использование переменных действие – угол весьма эффективно, поскольку они обладают следующими удобными свойствами. В отсутствие межмолекулярных взаимодействий (свободно вращающаяся молекула и прямолинейное поступательное движение) переменные действия являются интегралами движения, а угловые переменные линейно растут со временем. Для тестирования вычислительных алгоритмов эти свойства весьма полезны.
В настоящей работе молекулярно-фиксированная система координат традиционно связана с главными осями (ГО) инерции CH4 . Ориентация молекулы CH4 относительно вектора R, соединяющего центры масс сталкивающихся частиц, определяется углами y и (y – угол между R и осью z системы ГО, – угол между R и осью x системы ГО).
Гамильтониан для сталкивающейся пары атом – жесткий сферический волчок в переменных действие – угол имеет вид
, (1)
где T – кинетическая энергия столкновения, – поверхность потенциальной энергии (ППЭ) межмолекулярного взаимодействия. В выражении (1) и – приведенная масса и орбитальный угловой момент пары, j – величина вращательного углового момента молекулы CH4 , k – компонента вращательного углового момента вдоль оси z молекулярно-фиксированной системы координат, – полный угловой момент пары атом – сферический волчок, . В приведенных формулах – угловые переменные, а – соответствующие переменные действия.
Общие уравнения Гамильтона имеют стандартный вид [35]
. (2)
Набор переменных в системе уравнений (2) для пары атом – сферический волчок (imax = 5) следующий. Для радиального относительного поступательного движения это межчастичное расстояние R и сопряженный импульс pR . Как уже отмечалось, угловым переменным соответствуют переменные действия .
Подставляя гамильтониан (1) в общие уравнения (2), получаем 10 дифференциальных уравнений 1-го порядка для точной классической 3D-динамики столкновения атом – жесткий сферический волчок:
, ,
, ,
, (3)
, ,
, .
При этом полный угловой момент системы является интегралом движения, что сокращает число дифференциальных уравнений до 9.
3. ПОВЕРХНОСТИ ПОТЕНЦИАЛЬНОЙ ЭНЕРГИИ МЕЖМОЛЕКУЛЯРНОГО ВЗАИМОДЕЙСТВИЯ
Используемые в данной работе ППЭ имеют следующий вид
(4)
В выражении (4) и – обычные полярные углы вектора межмолекулярной оси R в системе ГО молекулы CH4 . В этом случае и cos = sin cos; Yim(,φ) – сферические гармоники, i – мнимая единица. Радиальные функции V0(R), V3(R) и V4(R) взяты из следующих источников: He–CH4 [36], Ne–CH4 [37], Ar–CH4 [38] и [39, 40] (простая эмпирическая ППЭ). Отметим, что для системы Ar–CH4 V4 = 0.
Простой эмпирический потенциал для Ar–CH4 из работы [39, 40] имеет вид
, (5)
где ε = 128 K, σ = 3.65 Å, β = (4π/7)1/2 · 0.3.
Более совершенный потенциал для Ar–CH4 представлен в работе [38]. Изотропная часть V0(R) записана в форме “Морзе-сплайн–Морзе-сплайн-ван дер Ваальс” c многочисленными подгоночными коэффициентами, а радиальная функция V3(R) анизотропной части представлена суммой члена в экспоненциальной форме и члена дальнодействия (оба также с подгоночными параметрами). Здесь эта ППЭ не приводится из-за ее сложности.
Для систем He–CH4 и Ne–CH4 радиальные функции имеют одинаковый и более простой вид, чем для Ar–CH4 :
(6)
,
,
, .
Функция демпфирования f (R) в выражении (6) имеет стандартный вид:
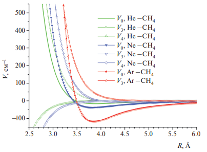
Подгоночные коэффициенты, фигурирующие в формулах (6), приведены в работах [36, 37]. На рис. 1. показаны радиальные функции V0(R), V3(R), V4(R) для систем He–CH4 [36], Ne–CH4 [37], Ar–CH4 [38].
Рис. 1. Радиальные функции V0(R) , V3(R) , V4(R) для систем He–CH4 [36], Ne–CH4 [37], Ar–CH4 [38].
4. ДЕТАЛИ РАСЧЕТОВ И ВЕРИФИКАЦИЯ ВЫЧИСЛИТЕЛЬНОЙ СХЕМЫ МЕТОДА КЛАССИЧЕСКИХ ТРАЕКТОРИЙ
Основные детали классического моделирования столкновений атом–CH4 кратко описаны ниже.
Детали расчетов
Девять дифференциальных уравнений (3) численно интегрировались с помощью стандартной процедуры IMSL (неявный BDF-метод Гира [41]). Все вычисления выполнялись с использованием двойной точности с типичным параметром устойчивости TOL = 10-9 и переменным шагом интегрирования в рамках фиксированных интервалов сетки по времени t = 5 фс. Столкновительные траектории начинались и заканчивались при межчастичном расстоянии R = 15 Å. Максимальный прицельный параметр в расчетах был bmax = 10 Å. Во всех расчетах применялось усреднение по распределению Максвелла начальной относительной скорости в интервале v = (0.01÷3)vp, где – наиболее вероятная относительная скорость сталкивающейся пары атом–CH4 (kB – постоянная Больцмана, T – температура, μ – приведенная масса). В указанный диапазон входит подавляющая часть скоростей.
Во всех расчетах применялся эффективный алгоритм [42] для выбора прицельного параметра b ∈ [0, bmax]. Сходимость метода Монте-Карло в этом случае оказывается примерно в два раза быстрее, чем при традиционном равномерном розыгрыше по b2.
В соответствии с традиционной формулой квантования модуля углового момента величина j определяется значениями . Однако для большей точности при малых J вместо этой формулы в траекторных расчетах часто используется коррекция (“предписание”) Лангера [42, 43]: . В работе [42] для столкновений линейная молекула – атом было показано, что коррекция Лангера обеспечивает лучшие значения сечения вращательного возбуждения молекулы для малых значений J, чем традиционная формула. С ростом J влияние коррекции быстро нивелируется.
Верификация вычислительной схемы
Прежде чем исследовать свойства столкновительных комплексов метана, следует убедиться в правильности используемой вычислительной процедуры метода классических траекторий. Cравним рассчитанные сечения вращательных переходов в столкновениях CH4 – Ar, Ne с имеющимися результатами полностью квантовых расчетов по методу сильной связи (“Close Coupling” – CC ) и методу связанных состояний («Coupled States”– CS) [37, 44], а также с результатами расчетов Лиу и соавт. [45] методом классических траекторий, но выполненных по несколько иной схеме и гораздо меньшим, чем у нас общим числом траекторий (~ 10000).
Сечение вращательного перехода J0 = 1 → J в столкновениях определялось стандартным образом:
, (7)
где NJ0 → J – число столкновений, приводящих к переходу J0 → J; Ntotal – общее число столкновений. Процедура определения конечного (после столкновения) целого значения числа J – стандартная: округление конечного нецелого значения J до ближайшего целого. Если конечное значение J совпадает с начальным (J0), то столкновение считается упругим (нет перехода), в противном случае происходит RT-обмен. Везде в расчетах данной работы коррекция Лангера [42, 43] применялась как для расчета начального вращательного углового момента j из начального значения квантового числа J0 , так и для определения конечного J из конечного значения углового момента j.
На рис. 2 приведены результаты сравнения имеющихся литературных данных с расчетами по формуле (7). Из рис. 2 следует, что для системы Ar–СН4 наблюдается в целом хорошая корреляция результатов настоящей работы с предыдущими классическими и квантовыми расчетами. Максимальные отличия наблюдаются при Ecoll = = 256.8 см-1 при J = 2, 3. Детальному сравнению результатов квантовых CC-CS схем для системы Ar–СН4 при малых энергиях столкновений посвящена работа [46]. Для Ne–CH4 наблюдается хорошее согласие настоящих классических расчетов с расчетами Лиу и соавт. [45] почти для всех J, однако квантовый CS-метод дает заметно отличающиеся результаты (кроме переходов J0 = 1 → J = 7, 8, 9, 10).
Рис. 2. Сравнение рассчитанных сечений вращательного перехода J0 = 1 → J молекулы СН4 в столкновениях с атомами Ar и Ne: а – система Ar–СН4 , кинетическая энергия столкновения Ecoll = 256.8 см-1: 1 – квантовый CC-метод [44], 2 – квантовый CS-метод [44], 3 – классический траекторный метод [45], 4 – настоящий 3D расчет (общее число траекторий составляет 402000); б – система Ne–СН4, кинетическая энергия столкновения Ecoll = 716.2 см-1. 1 – квантовый CS-метод [37], 2 – классический траекторный метод [45], 3 – настоящий 3D-расчет (общее число траекторий составляет 1273750).
Несмотря на полученные неплохие результаты, отметим, что недостатком настоящего классического метода (как, впрочем, и метода из работы [45]) является неспособность учесть правила отбора при RT-обмене в столкновениях, налагаемые соображениями симметрии в квантово-механической постановке задачи. Этим, по-видимому, и объясняются различия с квантовыми CC-CS-результатами.
5. МОДЕЛИРОВАНИЕ КВАЗИКОМПЛЕКСОВ В СИСТЕМЕ МЕТАН – ИНЕРТНЫЙ ГАЗ
Напомним, что обычным бинарным столкновением называется такое столкновение, при котором имеется единственное расстояние наибольшего сближения частиц (всего один минимум в зависимости межчастичного расстояния от времени R(t)). Столкновительные комплексы имеют два и более минимумов в R(t) (более подробно см. работы [10, 17]). На рис. 3 приведены примеры траекторий с образованием столкновительного комплекса в системе Ar–CH4.
Рис. 3. Примеры трех траекторий с образованием квазикомплексов в столкновениях системы Ar–CH4. Расчет с использованием средней тепловой скорости v = (8kBT/pm)1/2 при T = 100 K для J0 = 5. Зависимости R(t) различаются прицельными параметрами и ориентациями углового момента молекулы CH4 .
На примере рис. 3 поясним используемые далее термины. Временем жизни tQC квазикомплекса будем считать промежуток времени от первого минимума в зависимости межчастичного расстояния R(t) до последнего. Точки поворота в QC – это расстояния максимального сближения частиц (соответствуют минимумам R(t)). Размеры комплексов определяются глобальными минимумами и максимумами функции R(t) на интервале времени жизни tQC .
Статистический анализ QC в столкновениях СН4 с He, Ne, Ar
Результаты статистических расчетов функций распределения вероятностей для столкновений типа QC приведены на рис. 4–9. Показаны: время жизни комплекса, количество максимальных сближений (точек поворота), расстояния между центрами масс для ближайшего “подхода” Rmin и самого дальнего “отхода” Rmax, прицельные параметры b, при которых формируются QC. Функции распределения расстояний Rmin и Rmax интересны тем, что они характеризуют размер формирующихся QC. Распределение прицельных параметров выявляет предельные, наиболее благоприятные и неблагоприятные значения b для формирования QC. При построении распределений применялся гистограммный метод. Вероятность pi = p(xi) для параметра x (время жизни tQC, количество точек поворота N, размеры Rmin и Rmax, прицельный параметр b) определялась как p(xi) = NQi(x)/KQ. Здесь NQi(x) – количество QC, попадающих в ячейку xi + ∆x гистограммы (i – номер ячейки); ∆ x – шаг сетки для параметра x (ширина ячейки гистограммы), KQ – общее количество образовавшихся квазикомплексов. Условие
очевидно, выполнено, так как
Ширины ячеек для гистограмм были следующими: время жизни ∆tQC = 10-13 с; точки поворота ∆N = 1; расстояния ∆R = 0.024 Å; прицельный параметр ∆b = 0.02 Å. Наблюдаемый на некоторых рисунках статистический “шум” происходит из-за недостаточного числа QC в данной ячейке (исправляется усреднением, либо дальнейшим накоплением статистики).
Влияние потенциала взаимодействия на время жизни комплексов Ar–CH4 и число точек поворота иллюстрирует рис. 4. Количество QC в статистической обработке было следующим: при Т = 100 К для кривой 1 (условный номер ППЭ – IPES = 11) KQ = 229 800, для кривой 2 (IPES = 12) KQ = 261 000; при Т = 296 К для кривой 3 (IPES = 11) KQ = 49800, для кривой 4 (IPES=12) KQ = 88400.
Рис. 4. Функции распределения вероятностей времен жизни tQC (а) и числа точек поворота N (б) для системы Ar–CH4. Роль потенциала взаимодействия при разных температурах: 1, 3 – простой эмпирический потенциал [39, 40]; 2, 4 – более точный потенциал [38].
Из рис. 4а видно, что распределения времен жизни QC tQC очень чувствительны к виду ППЭ (ср. кривые 1, 2 и 3, 4) и слабо зависят от температуры (ср. кривые 1, 3 и 2, 4). Что касается распределения числа точек поворота N (рис. 4б), то влияние вида ППЭ практически отсутствует, однако более выражена зависимость от температуры (большее число N характерно для T = 100 K).
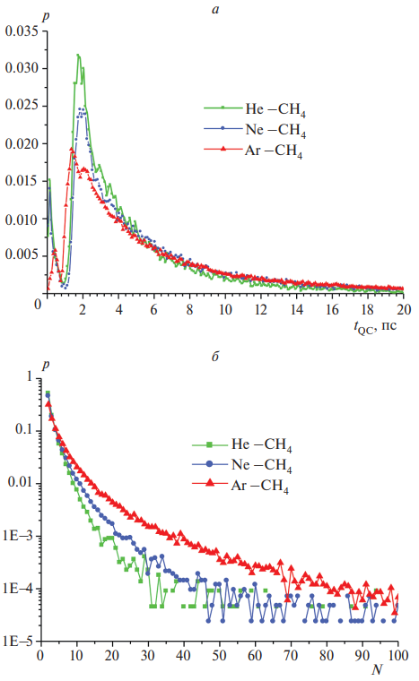
Результаты, представленные на рис. 5–9, соответствуют Т = 100 К. При этом значения KQ обработанных в статистическом анализе комплексов составил: для He–CH4 – KQ=22200, для Ne–CH4 – KQ=42000, для Ar–CH4 – KQ=115600.
На рис. 5 показаны распределения времен жизни метастабильных димеров СН4 – He, Ne, Ar и точек поворота. Диапазон времен жизни QC довольно широк – от долей пикосекунды до десятков пикосекунд. При этом наиболее вероятное время жизни комплексов составляет tQC ~ 1–2 пс. Наиболее вероятным значением числа точек поворота в QC для всех пар является N = 2. Большое число точек поворота (N > 10) характерно для СН4 – Аr. Комплексы СН4–He, Ne “склонны” иметь меньшее число N.
Рис. 5. Распределения времен жизни QC (а) и точек поворота (б) в столкновениях He–CH4, Ne–CH4, Ar–CH4. Т = 100 К.
Представляет интерес вопрос: как времена жизни QC соотносятся со средним временем столкновений и средним временем свободного пробега? Среднее время столкновения [47, 48] обычно определяется как где lc – характеристическое расстояние взаимодействия частиц “1”–“2”. Оценка средней длительности столкновений для систем СН4 – He, Ne, Ar в предположении с использованием значений номинальных диаметров твердых сфер, полученных из данных о вязкости [47] дает при T = 100 K следующие значения τс = 0.392 пс для СН4–He, 0.698 пс для СН4–Ne, 0.913 пс для СН4–Ar. Таким образом, время жизни QC в рассматриваемых смесях метана может быть как короче τс , так и в десятки раз превышать его.
Среднее время свободного пробега между столкновениями составляет [48]
, , . (8)
Значение средней длины свободного пробега l0 в формуле (8) обычно оценивается в простейшем случае жестких сфер в рамках кинетической теории газов для малой примеси активных молекул в буферном газе. Здесь m – масса активной молекулы (СН4), d = d12 = (d1+d2)/2 – номинальный диаметр (модель жестких сфер) сталкивающейся пары 1 и 2, np – числовая плотность (концентрация) буферных частиц.
В табл. 1 приведены значения τ0 для систем СН4 –He, Ne, Ar в зависимости от полного давления. Сравнение распределений вероятностей времен жизни QC на рис. 5а и значений среднего времени свободного пробега τ0(P), приведенных в табл. 1, позволяет выяснить следующий важный вопрос: в каком диапазоне давлений образование метастабильных димеров СН4–He, Ne, Ar можно рассматривать как бимолекулярный процесс? Ясно – что в случае, когда QC “живет” дольше чем τ0(Р), на него с большой вероятностью воздействует третья частица. Следовательно, при любом заданном давлении Р только те QC, которые имеют время жизни τQC < τ0(Р), могут рассматриваться как “истинно” бимолекулярные. Из табл. 1 видно, что для Р < 1 атм это условие хорошо выполняется. К тому же вероятность времени жизни комплексов с τQC > 20 пс очень мала. Проблемы начинаются при давлениях выше ~5 атм. Образование квазисвязанных комплексов в этом случае вряд ли можно рассматривать как бимолекулярный процесс. Отметим, что наиболее “плохая” ситуация имеет место для системы СН4–He, в то время как времена τ0 в случае СН4 в смесях Ne и Ar примерно одинаковы и более чем вдвое превышают τ0 для СН4– He.
Таблица 1. Среднее время свободного пробега τ0 СН4 в смесях с He, Ne, Ar как функция давления, T = 100 K
P, атм | τ0, пс | ||
СН4–He | СН4–Ne | СН4–Ar | |
0.02 | 1170.32333 | 2873.03695 | 2753.86836 |
0.04 | 585.16166 | 1436.48961 | 1376.90531 |
0.1 | 234.06467 | 574.60162 | 550.7679 |
0.3 | 78.01963 | 191.5358 | 183.59122 |
0.5 | 46.81236 | 114.91917 | 110,15589 |
0.8 | 29.25751 | 71.82448 | 68.84527 |
1.0 | 23.40647 | 57.46016 | 55.07679 |
2.0 | 11.70323 | 28.73037 | 27.53868 |
3.0 | 7.80196 | 19.15358 | 18.35912 |
5.0 | 4.68124 | 11.49192 | 11.01559 |
8.0 | 2.92575 | 7.18245 | 6.88453 |
10.0 | 2.34065 | 5.74602 | 5.50768 |
Cледует признать, что метод бинарных классических траекторий непригоден для моделирования долгоживущих QC в рассмотренных смесях метана при давлениях выше 5 атм. В этом случае следует использовать более общий (хотя и значительно более вычислительно затратный) метод классической молекулярной динамики многих частиц.
Дополнительные расчеты показали, что влияние параметров ППЭ на функции распределения прицельного параметра и минимального размера состоит в сдвиге функций p(b) и p(Rmin) для простого потенциала (IPES = 11) в сторону больших b и R (вид функций распределения при этом не меняется). Так, в случае Ar–CH4 при Т = = 296 К максимум функции p(b) для IPES = 12 соответствует 5.85 Å, а для IPES = 11 – 6.76 Å . Максимум распределения p(Rmin) для IPES = 12 достигается при 3.54 Å, а для IPES = 11 – при 3.78 Å. При Т = 100 К наблюдается аналогичная картина.
Обратим внимание еще на одно обстоятельство. По оценкам работы [47], полученным из коэффициента вязкости газа, состоящего из молекул – жестких сфер, номинальные диаметры CH4, He, Ne, Ar составляют: dCH4 = 4.19 Å, dHe = 2.19 Å, dNe = 2.60, dAr = 3.66 Å. При этом “размер” такого идеализированного столкновения составляет и равен 3.19, 3.4, 3.93 Å, соответственно. Сравнивая эти значения с результатами расчетов минимального и максимального размеров QC, приведенными на рис. 6, можно видеть, что указанные значения примерно соответствуют лишь Rmin, в то время как предельные размеры комплексов Rmax в рассмотренных случаях превышают их, более, чем в 1.5 раза. Данное обстоятельство следует учитывать при моделировании межмолекулярных взаимодействий метана.
Рис. 6. Распределения минимальных размеров QC (расстояний наибольшего сближения Rmin) и максимальных размеров QC (наибольших расстояний между частицами Rmax) в столкновениях He–CH4, Ne–CH4, Ar–CH4. Т = 100 К.
Отметим заметное превышение вероятности образования QC в столкновениях He и Ne с СН4 при прицельных параметрах b < 4 Å в сравнении с Ar – СН4 (рис. 7). Оно обусловлено членом, описывающим потенциал притяжения V4 в ППЭ, при этом для Ar–СН4 V4 = 0, а V3 дает большее отталкивание, чем для He и Ne (см. рис. 1). Зато при b > 5 Å наблюдается заметно бо́льшая вероятность образования QC именно для Ar, поскольку притяжение за счет V0 больше, чем за счет V3 (отталкивание). По той же причине для системы Ar–СН4 нет комплексов с размером менее 3.4 Å (так как V > 0), в то время как для He и Ne их вероятность заметна (рис. 6). Наиболее вероятный минимальный размер QC во всех случаях составляет 3.5–3.7 Å, а максимальный 4.7–4.9 Å.
Рис. 7. Распределения прицельного параметра, при котором образуются QC в столкновениях He–CH4, Ne–CH4, Ar–CH4. Т = 100 К.
Доля квазикомплексов KQ в общем числе столкновений (KC) Ar–CH4 при Т = 296 К мала и уменьшается с ростом J. Так, при J = 0 она составляет 3.4%, а при J = 7 всего 1.9%. Аналогичную информацию для других молекулярных пар при Т = 296 К можно найти в работе [10]. Усреднение по всем значениям J по распределению Больцмана при Т = 296 К для Ar–CH4 дает 2.8%. С понижением температуры доля QC заметно увеличивается. Так, при Т = 100 К она составляет уже 9.4% (среднее по J).
Сечения образования QC
Отметим, что доля QC в общем числе столкновений (KQ/KC) не является надежной количественной характеристикой эффективности образования QC, поскольку она зависит от максимального прицельного параметра, используемого в расчетах. Она уменьшается с увеличением параметра bmax за счет увеличения числа дальних (“скользящих”) пролетов, не приводящих к образованию QC. Надежной количественной характеристикой эффективности любого процесса является его сечение [1].
Сечение образования QC (аналогично сечению вращательного перехода (7) в столкновениях) рассчитывалось стандартным образом: sQC = = pb2maxKQ/KC, где KC – общее число столкновений, KQ – число столкновений типа QC. На рис. 8а приведены сечения образования QC как функции вращательного числа J при Т = 296 К, а на рис. 8б – сечения, усредненные по вращательному больцмановскому распределению, при различных температурах.
Рис. 8. Сечения образования QC: а – сечение образования QC при Т = 296 К как функция вращательного числа J; б – температурная зависимость сечения sQC(T) (результаты усреднены по всем значенимям J в условиях распределения Больцмана), bmax = 10 Å. Темные символы – все QC, светлые символы – только упругие QC.
Из данных рис. 8 можно сделать следующие выводы. Сечение образования QC в столкновениях для всех трех пар слабо зависит от J: наибольшее значение sQC имеет место для Ar–CH4 , а наименьшее для – He–CH4. При этом упругие столкновения дают заметный вклад в сечение образования QC, особенно для He–CH4. Неупругие столкновения увеличивают значения sQC, особенно при малых J для Ar–CH4 и Ne–CH4. С ростом величины J влияние неупругих соударений уменьшается, поскольку из-за вращения молекулы CH4 роль анизотропии потенциала снижается. Из рис. 8б видно, что эффективность образования QC быстро растет с понижением температуры.
Формулы, определяющие вклад QC в сечения RT- обмена
Сечение перехода в столкновениях с вращательного состояния J0 на J ≠ J0 можно представить в виде суммы вкладов обычных (ordinary) столкновений и столкновений типа QC,
(9)
Для обычных столкновений имеем:
(10)
Аналогично для столкновений типа QC:
(11)
В формулах (9)–(11) bmax – максимальное значение прицельного параметра в расчетах; – общее число столкновений, приводящих к вращательному переходу J0 → J; и – число обычных столкновений и столкновений типа QC, приводящих к переходу J0 → J; Ntotal = KC – общее число столкновений; и – вероятности столкновений соответствующих типов. Вероятность (индекс) образования QC в данном конкретном столкновении определяется по алгоритму нет/да (PQC = 0 – нет, PQC = 1 – да). Напомним, что обычное столкновение имеет всего одну точку поворота, в то время как столкновение типа QC – две и более. Именно этот критерий использовался для регистрации QC в траекторных расчетах. Усреднение ⟨...⟩ проводится по начальным условиям столкновений и, таким образом, ⟨PQC⟩ = KQ/KC, есть средняя вероятность образования QC в ансамбле из КС столкновений (доля QC в общем числе столкновений).
Вращательная релаксация CH4 в столкновениях с He, Ne, Ar
На рис. 9 приведены зависимости сечения вращательных переходов J0 = 7 → J в столкновениях CH4 с He, Ne, Ar (а) и сечения переходов J0 → J для системы CH4–Ar для разных J0 (б).
Рис. 9. а – сечения вращательных переходов J0 = 7 → J молекулы CH4 в столкновениях с He, Ne, Ar при T = 296 K; б – сечения вращательных переходов J0 → J молекулы CH4 в столкновениях с Ar для разных J0. Т = 296 К. Сплошные символы – все столкновения, светлые символы – только QC. Переходы J0 → J = J0 соответствуют упругим столкновениям.
Из рисунка 9 следует, что столкновения типа QC в большинстве случаев оказываются гораздо более эффективными в процессах RT-релаксации, чем обычные неупругие соударения. Особенно это проявляется в переходах с J < J0 (энергетически более выгодное “скачивание” вращательной энергии в поступательную). Главным образом, это происходит в одноквантовых переходах. В случае CH4–Ar превышение сечения в столкновениях типа QC достигает четырех и более раз. Заниженные значения для QC на рис. 9а (см. системы CH4 – He, Ne) вплоть до объясняются не физикой процесса, а недостаточной статистикой многоквантовых J0 → J переходов в столкновениях с образованием QC.
6. ВЫВОДЫ
- Столкновительные комплексы (метастабильные димеры, квазикомплексы, QC) представляют собой нетипичные “запутанные” траектории в молекулярных столкновениях. Формирование QC и их характеристики, включая сечения RT-релаксации и спектральные проявления, должны моделироваться только в рамках точной 3D динамики с использованием надежной ППЭ межмолекулярного взаимодействия. В настоящей работе проведено такое моделирование QC для систем CH4 – He, Ne, Ar с использованием метода классических траекторий.
- Исследование статистических распределений характеристик QC имеют важное значение для анализа их разнообразных проявлений, в том числе газокинетических и спектроскопических. Метастабильные димеры, образующиеся в столкновениях CH4 c атомами He, Ne и Ar, могут быть как короткоживущими (tQC < τс), так и весьма долгоживущими по сравнению с средним временем столкновений τс и иметь разные размеры (~ 3–7 Å). Распределения прицельных параметров выявили предельные и наиболее благоприятные значения b для формирования QC. В рассмотренных случаях наиболее благоприятные значения соответствуют b ~ 6 Å. Сравнение распределений времен жизни QC со средним временем свободного пробега τ0 показало, что образование и распад QC в рассмотренных смесях метана можно рассматривать как бимолекулярный процесс лишь при давлениях менее ~ 3 атм.
- Сечение σQC образования QC в столкновениях сильно зависит от молекулярной пары и быстро растет с понижением температуры. При этом σQC(J) для всех трех рассмотренных пар CH4–He, Ne, Ar медленно уменьшается с ростом вращательного квантового числа J.
- Столкновения типа QC оказываются в целом гораздо более эффективными при RT-релаксации энергии молекул метана, чем обычные неупругие соударения.
- Результаты данной работы с точки зрения приложений к проблеме “метановой катастрофы” являются предварительными. Следующим шагом должно быть моделирование столкновительных комплексов CH4–СH4, CH4–H2O и CH4–CO2.
Автор благодарит А.К. Курносова за полезные обсуждения и замечания.
Работа выполнена в рамках гос. задания ФНИЦ “Кристаллография и фотоника” РАН.
About the authors
S. V. Ivanov
Institute of Photon Technologies of Federal Scientific Research Centre “Crystallography and Photonics” of Russian Academy of Sciences
Author for correspondence.
Email: serg.ivanov.home@mail.ru
Russian Federation, Moscow, Troitsk
References
- Е.Е. Nikitin, Theory of Elementary Atomic and Molecular Processes in Gases (Oxford University Press, Oxford, 1974).
- R.D. Levine and R.B. Bernstein, Molecular Reaction Dynamics (Clarendon Press, New York, Oxford University Press Oxford, 1974).
- J. Heicklen, Atmospheric Chemistry (Academic Press, New York, 1976).
- J.N. Bradley, Flame and Combustion Chemistry (Chapman and Hall, London, 1969).
- W.D. Watson, Interstellar Chemistry, Acc. Chem. Res. 10, 221 (1977).
- J.O. Hirschfelder, Ch.F. Curtiss, R.B. Bird, Molecular Theory of Gases and Liquids (Wiley and Sons, New York, Chapman and Hall, London, 1954).
- A.A. Vigasin, in Weakly Interacting Molecular Pairs: Unconventional Absorbers of Radiation in the Atmosphere, Ed. by C. Camy-Peyret and A.A. Vigasin (Springer, Dordrecht, 2003), p. 23. https://doi.org/10.1007/978-94-010-0025-3
- A.A. Vigasin, Chem. Phys. Lett. 117, 85 (1985). https://doi.org/10.1016/0009-2614(85)80410-3
- A.A. Vigasin, in Molecular complexes in Earth’s, planetary, cometary, and interstellar atmospheres, Ed. by A.A. Vigasin and Z. Slanina (World Scientific, Singapore, 1998), p. 60.
- S.V. Ivanov, J. Quant. Spectrosc. Radiat. Transf. 177, 269 (2016). https://doi.org/10.1016/j.jqsrt.2016.01.034
- S.V. Ivanov, Optics and Spectroscopy. 130, 1508 (2022). https://doi. org/10.21883/EOS.2022.12.55235.4144-22
- D.J. Nesbitt, Chem. Rev. 112, 5062 (2012).
- D.C. Flatin, T.M. Goyette, M.M. Beaky, C.D. Ball, F.C. De Lucia, J. Chem. Phys. 110, 2087 (1999).
- G.D. Billing, Chem. Phys. 50, 165 (1980). https://doi.org/10.1016/0301-0104(80)87036-4
- M. Cacciatore, G. D. Billing // Chem. Phys. 58, 395 (1981). http://doi.org/10.1016/0301-0104(81)80074-2
- Kurnosov A., Cacciatore M., Napartovich A. Chem. Phys. Lett. 775, 138680 (2021). https://doi. org/10.1016/j.cplett.2021.138680
- S.V. Ivanov, in Weakly Interacting Molecular Pairs: Unconventional Absorbers of Radiation in the Atmosphere, Ed. by C. Camy-Peyret and A.A. Vigasin (Springer, Dordrecht, 2003), p. 49.
- S.V. Ivanov, Mol. Phys. 102, 1871 (2004). https://doi.org/10.1080/0026897042000274766
- W.H. Miller, in: Methods in computational physics. Advances in research and applications atomic and molecular scattering, V. 10, Atomic and molecular scattering, Ed. by B. Alder, S. Fernbach, M. Rotenberg (Academic Press, New York and London, 1971), p. 320.
- R.D. Levine, Acc. Chem. Res. 3, 273 (1970).
- R.E. Asfin, J.V. Buldyreva, T.N. Sinyakova, D.V. Oparin, N.N. Filippov // J. Chem. Phys. 2015. V. 142. P. 051101; https://doi.org/10.1063/1.4906874
- D.V. Oparin, N.N. Filippov, I.M. Grigoriev, A.P. Kouzov, J. Quant. Spectrosc. Radiat. Transfer. 196, 87 (2017). https://doi. org/10.1016/j.jqsrt.2017.04.002
- D.N. Chistikov, A.A. Finenko, S.E. Lokshtanov, S.V. Petrov, and A.A. Vigasin, J. Chem. Phys. 151, 194106 (2019).
- D.N. Chistikov, A.A. Finenko, Yu.N. Kalugina, S.E. Lokshtanov, S.V. Petrov, and A.A. Vigasin, J. Chem. Phys. 155, 064301 (2021). https://doi.org/10.1063/5.0060779
- Il.S. Golyak, D.R. Anfimov, I.B. Vintaykin, Ig.S. Golyak, M.S. Drozdov, A.N. Morozov, S.I. Svetlichnyi, S.E. Tabalin, L.N. Timashova, and I.L. Fufurin, Russ. J. Phys. Chem. B 17(2), 320 (2023).
- I.B. Vyntaykin, I.S. Golyak, P.A. Korolev, A.N. Morozov, S.E. Tabalin, and L.N. Timashova, Russ. J. Phys. Chem. B 15(3), 413 (2021).
- A.I. Rodionov, I.D. Rodionov, I.P. Rodionova, S.Ya. Umanskii, D.V. Shestakov, V.V. Egorov, and A.P. Kalinin, Russ. J. Phys. Chem. B 15(5), 904 (2021).
- V.V. Zelenov and E.V. Aparina, Russ. J. Phys. Chem. B 15(5), 919 (2021).
- Yu.A. Dyakov, S.O. Adamson, P.K. Wang, A.S. Vetchinkin, G.V. Golubkov, I.I. Morozov, S.Ya. Umanskii, Yu.A. Chaikina, and M.G. Golubkov, Russ. J. Phys. Chem. B 15(5), 782 (2021).
- I.K. Larin, Russ. J. Phys. Chem. B. 14(2), 336 (2020).
- E. Hirota, J. Mol. Spectr. 77, 213 (1979).
- L.M. Sverdlov, M.A. Kovner, E. P. Krainov, Vibrational Spectra of Polyatomic Molecules (Wiley and Sons, New York, 1974).
- J. Herranz, B.P. Stoicheff, J. Molec. Spectr. 10, 448 (1963).
- G. Herzberg, Molecular Spectra and Molecular Structure II. Infrared and Raman Spectra of Polyatomic Molecules (Van Nostrand, Princeton, 1991).
- H. Goldstein, Classical Mechanics (Addison-Wesley Publishing Company, Reading, Mass., 1950).
- U. Buck, K.H. Kohl, A. Kohlhase, M. Faubel, and V. Staemmler, Mol. Phys. 55, 1255 (1985).
- U. Buck, A. Kohlhase, D. Secrest, T. Phillips, G. Scoles, and F. Grein, Mol. Phys. 55, 1233 (1985).
- U. Buck, J. Schleusener, D.J. Malik, D. Secrest, J. Chem. Phys. 74, 1707 (1981).
- R.L. Armstrong, S.M. Blumenfeld, C.G. Gray, Can. J. Phys. 46, 1331 (1968).
- C.G. Gray, J. Chem. Phys. 50, 549 (1969). https://doi.org/10.1063/1.1670844
- C.W. Gear, Numerical Initial Value Problems in Ordinary Differential Equations (Englewood Cliffs, Prentice-Hall, N.J., 1971).
- S. Chapman, S. Green, J. Chem. Phys. 67, 2317 (1977). https://doi.org/10.1063/1.435067
- R.E. Langer, Phys. Rev. 51, 669 (1937). https://doi.org/10.1103/PhysRev.51.669
- L.N. Smith, D. Secrest, J. Chem. Phys. 74, 3882 (1981).
- W.-K. Liu, Q. Zhang, S. Lin, X. Yu, Y. Zhang, Chin. J. Phys. 32, 269 (1994).
- T.G. Heil, D. Secrest, J. Chem. Phys. 69, 219 (1981).
- G.A. Bird, Molecular Gas Dynamics (Clarendon Press, Oxford, 1976).
- J.-M. Hartmann, C. Boulet, D. Robert, Collisional Effects on Molecular Spectra: laboratory experiments and models, consequences for applications (Elsevier Science, Amsterdam, 2008). https://doi.org/10.1016/B978-0-444-52017-3.X0001-5
Supplementary files











