Смешанные катионные липосомы на основе L-аминокислот как эффективные средства доставки терапевтических молекул в клетки
- Авторы: Дениева З.Г.1, Колоскова О.О.2, Гилева А.М.3, Буданова У.А.4, Себякин Ю.Л.4
-
Учреждения:
- Институт физической химии и электрохимии им. А.Н. Фрумкина РАН
- ГНЦ Институт иммунологии ФМБА России
- Институт биоорганической химии им. М.М. Шемякина и Ю.А. Овчинникова РАН
- МИРЭА – Российский технологический университет (Институт тонких химических технологий им. М.В. Ломоносова)
- Выпуск: Том 40, № 3 (2023)
- Страницы: 203-216
- Раздел: СТАТЬИ
- URL: https://journal-vniispk.ru/0233-4755/article/view/135034
- DOI: https://doi.org/10.31857/S0233475523030052
- EDN: https://elibrary.ru/FDQFOC
- ID: 135034
Цитировать
Полный текст
Аннотация
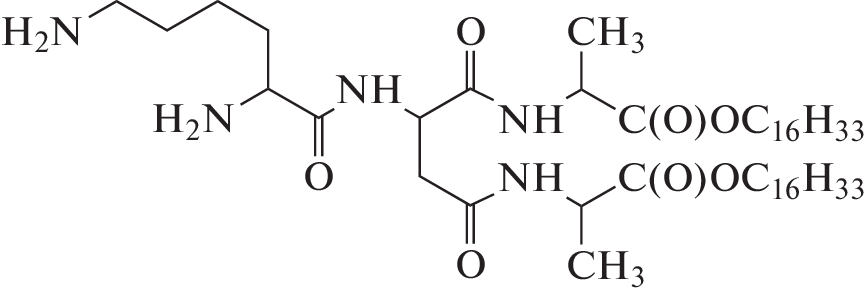
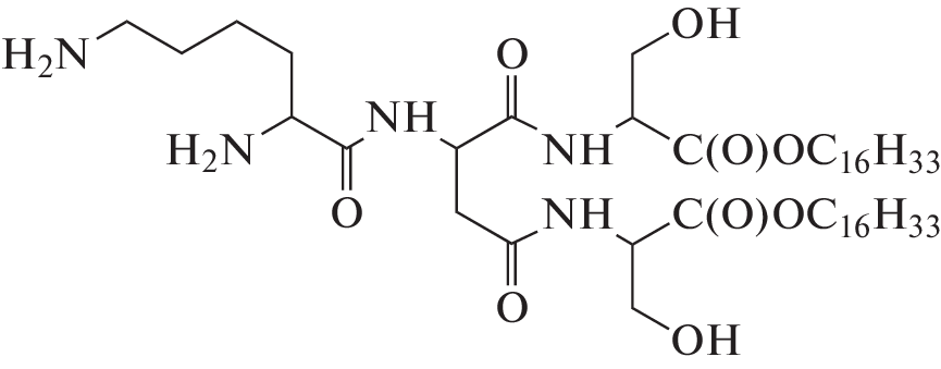
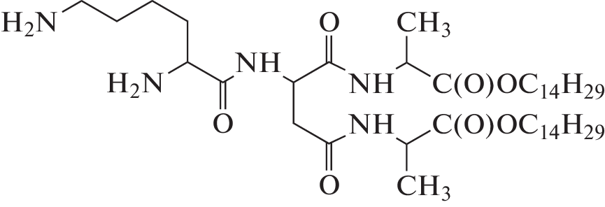
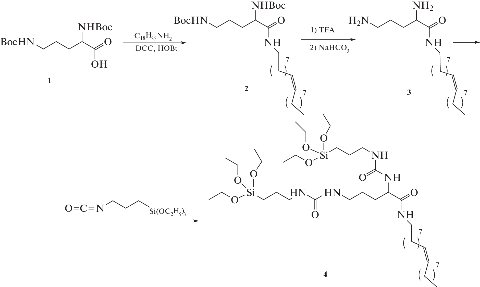
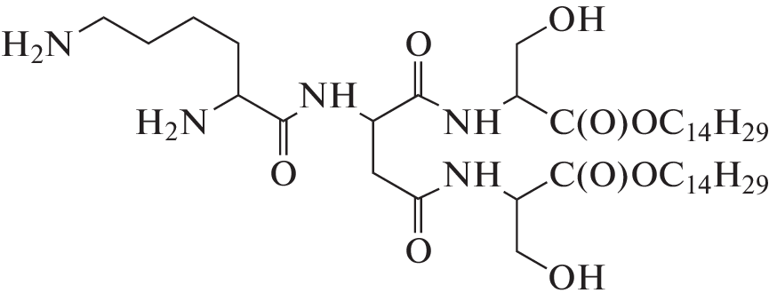
Данная работа направлена на получение смешанных липосом на основе природных аминокислот как средств доставки противоопухолевых препаратов и нуклеиновых кислот. Липосомы сформированы из катионных липидов на основе L-аланина и L-серина, керасомообразующего липида на основе L-орнитина, а также фосфолипидов (фосфатидилхолина (PC) или 1,2-ди-О-олеоилфосфатидилэтаноламина (DOPE)). Для разработанных транспортных систем определены размер частиц, дзета-потенциал, стабильность и изучена биологическая активность на линиях клеток MCF-7 и HEK 293. Липосомы на основе L-серина демонстрируют способность аккумулироваться в эндоплазматическом ретикулуме клеток в течение 1 ч, а также трансфекционную активность, значительно превышающую активность коммерческого препарата Lipofectamine-2000. Предложенная система обладает небольшим токсическим эффектом (IC50 составляет 0.475 мг/мл, а безопасная рабочая концентрация – 0.24 мг/мл).
Об авторах
З. Г. Дениева
Институт физической химии и электрохимии им. А.Н. Фрумкина РАН
Автор, ответственный за переписку.
Email: zaret03@mail.ru
Россия, 119071, Москва
О. О. Колоскова
ГНЦ Институт иммунологии ФМБА России
Email: zaret03@mail.ru
Россия, 115522, Москва
А. М. Гилева
Институт биоорганической химии им. М.М. Шемякина и Ю.А. Овчинникова РАН
Email: zaret03@mail.ru
Россия, 117997, Москва
У. А. Буданова
МИРЭА – Российский технологический университет(Институт тонких химических технологий им. М.В. Ломоносова)
Email: zaret03@mail.ru
Россия, 119571, Москва
Ю. Л. Себякин
МИРЭА – Российский технологический университет(Институт тонких химических технологий им. М.В. Ломоносова)
Email: zaret03@mail.ru
Россия, 119571, Москва
Список литературы
- Liu P., Chen G., Zhang J. 2022. A review of liposomes as a drug delivery system: current status of approved products, regulatory environments, and future perspectives. Molecules. 27 (4), 1372.
- Akbarzadeh A., Rezaei-Sadabady R., Davaran S., Joo S.W., Zarghami N., Hanifehpour Y., Samiei M., Kouhi M., Nejati-Koshki K. 2013. Liposome: Classification, preparation, and applications. Nanoscale Res Lett. 8 (1), 102.
- Šturm L., Poklar Ulrih N. 2021. Basic methods for preparation of liposomes and studying their interactions with different compounds, with the emphasis on polyphenols. Int. J. Mol. Sci. 22 (12), 6547.
- Bozzuto G., Molinari A. 2015. Liposomes as nanomedical devices. Int. J. Nanomedicine. 10, 975–999.
- One focus. Transfection protocol. Mirus Transfectopedia. 2014. Madison, WI 53719 USA. https://www. m-irusbio.com/transfectopedia.
- Khodthong C., Ismaili I., Juckem L. 2014. The impact of transfection mediated toxicity – gene expression and cytotoxicity analysis of transfection reagents. Mirus Bio, LLC. Madison, WI 53719 USA. https://www. m-irusbio.com/assets/technical-documents/the-impact-of-transfection-mediated-toxicity.pdf.
- Shim G., Kim M.-G., Park J. Y., Oh Y.-K. 2013. Application of cationic liposomes for delivery of nucleic acids. Asian J. Pharm. Sci. 8, 72–80.
- Liang X., Li X., Jing L., Xue P., Jiang L., Ren Q., Dai Z. 2013. Design and synthesis of lipidic organoalkoxysilanes for self-assembly of liposomal nanohybrid cerasomes with controlled drug release properties. Chem. Eur. J. 19 (47), 16113–16121.
- Dharmalingam P., Rachamalla H.K.R., Lohchania B., Bandlamudi B., Thangavel S., Murugesan M.K., Banerjee R., Chaudhuri A., Voshavar C., Marepally S. 2017. Green transfection: Cationic lipid nanocarrier system derivatized from vegetable fat, palmstearin enhances nucleic acid transfections. ACS Omega. 2, 7892–7903.
- Pires P., Simões S., Nir S., Gaspar R., Düzgünes N., Pedroso de Lima M.C. 1999. Interaction of cationic liposomes and their DNA complexes with monocytic leukemia cells. Biochim. Biophys. Acta (BBA) – Biomembranes. 1418 (1), 71–84.
- Katagiri K., Ariga K., Kikuchi J.-I. 1999. Preparation of organic-inorganic hybrid vesicle “cerasome” derived from artificial lipid with alkoxysilyl head. Chem. Lett. 28, 661–662.
- Wang Y., Wang B., Liao H., Song X., Wu H., Wang H., Shen H., Ma X., Tan M. 2015. Liposomal nanohybrid cerasomes for mitochondria-targeted drug delivery. J. Mat. Chem. B. 3, 7291–7299.
- Sarker S. R., Takeoka S. 2018. Amino acid-based liposomal assemblies: Intracellular plasmid DNA delivery nanoparticles. J. Nanomed. 2, 1008–1021.
- Faneca H., Simões S., de Lima M.C.P. 2002. Evaluation of lipid-based reagents to mediate intracellular gene delivery. Biochim. Biophys. Acta. 1567, 23–33.
- Liu Y., Mounkes L.C., Liggitt H.D., Brown C.S., Solodin I., Heath T.D., Debs R.J. 1997. Factors influencing the efficiency of cationic liposome-mediated intravenous gene delivery. Nat. Biotechnol. 15, 167–173.
- Templeton N.S., Lasic D.D., Frederik P.M., Strey H.H., Roberts D.D., Pavlakis G.N. 1997. Improved DNA:liposomes complexes for increased systemic delivery and gene expression. Nat. Biotechnol. 15, 647–652.
- Nsairat H., Khater D., Sayed U., Odeh F., Al Bawab A., Alshaer W. 2022. Liposomes: Structure, composition, types, and clinical applications. Heliyon. 8 (5), e09394.
- Silva S.G., Fernandes R.F., Marques E.F., do Vale M.L.C. 2012. Serine-based bis quat gemini surfactants: synthesis and micellization properties. Eur. J. Org. Chem. 2, 345–352.
- Brito R.O., Oliveira I.S., Araújo M.J., Marques E.F. 2013. Morphology, thermal behavior, and stability of self-assembled supramolecular tubules from lysine-based surfactants. J. Phys. Chem. B. 117, 9400–9411.
- Fan H., Han F., Liu Z., Qin L., Li Z., Liang D., Fu H. 2008. Active control of surface properties and aggregation behavior in amino acid-based gemini surfactant systems. J. Colloid Interface Sci. 321, 227–234.
- McGregor C., Perrin C., Monck M., Camilleri P., Kirby A.J. 2001. Rational approaches to the design of cationic gemini surfactants for gene delivery. J. Am. Chem. Soc. 123, 6215–6220.
- Yang P., Singh J., Wettig S., Foldvari M., Verrall R.E., Badea I. 2010. Enhanced gene expression in epithelial cells transfected with amino acid-substituted gemini nanoparticles. Eur. J. Pharm. Biopharm. 75, 311–320.
- Denieva Z.G., Budanova U.A., Sebyakin Y.L. 2021. Irregular cationic lipotetrapeptides for pharmaceutical multifunctional transport systems. Mendeleev Communications. 31 (4), 509–511.
- Niyomtham N., Apiratikul N., Suksen K., Opanasopit P., Yingyongnarongkul B.E. 2015. Synthesis and in vitro transfection efficiency of spermine-based cationic lipids with different central core structures and lipophilic tails. Bioorg. Med. Chem. Lett. 25, 496–503.
- Jones C. H., Chen C.K., Ravikrishnan A., Rane S., Pfeifer B.A. 2013. Overcoming nonviral gene delivery barriers: Perspective and future. Mol. Pharm. 10, 4082–4098.
- Sheng R., Zhuang X., Wang Z., Cao A., Lin K., Zhu J.X.X. 2016. Cationic nanoparticles assembled from natural-based steroid lipid for improved intracellular transport of siRNA and pDNA. Nanomaterials (Basel). 6, 69–86.
- Sabın J., Prieto G., Ruso J. M., Hidalgo-Álvarez R., Sarmiento F. 2006. Size and stability of liposomes: A possible role of hydration and osmotic forces. Europ. Phys. J. E. 20, 401–408.
- Cao Z., Zhu W., Wang W., Zhang C., Xu M., Liu J., Feng S., Jiang Q., Xie X. 2014. Stable cerasomes for simultaneous drug delivery and magnetic resonance imaging. Int. J. Nanomedicine. 9, 5103–5116.
Дополнительные файлы














