Involvement of the Mitochondrial Ca2+-Independent Phospholipase iPLA2 in the Induction of Mitochondrial Permeability Transition Pore by Long-Chain Acylcarnitines
- Authors: Fedotcheva N.I.1, Grishina E.V.1, Dynnik V.V.1
-
Affiliations:
- Institute of Theoretical and Experimental Biophysics, Russian Academy of Sciences
- Issue: Vol 40, No 5 (2023)
- Pages: 396-403
- Section: Articles
- URL: https://journal-vniispk.ru/0233-4755/article/view/135046
- DOI: https://doi.org/10.31857/S0233475523050043
- EDN: https://elibrary.ru/OFGOIA
- ID: 135046
Cite item
Full Text
Abstract
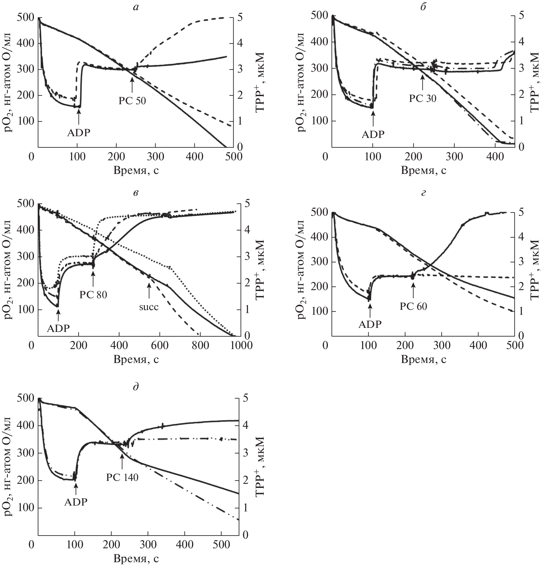
It is known that activated derivatives of long-chain fatty acids acylcarnitines (LCAC) are considered the most toxic, which, along with calcium, can participate in the induction of mitochondrial permeability transition pore, involving various types of phospholipases in the complex mechanisms of pore activation. In this work, we investigated the influence of different inhibitors of phospholipases and carnitine palmitoyltransferase-1 (CPT1) on the induction of mitochondrial permeability transition pore by D,L-palmitylcarnitine (PC, C16:0). In the experiments on isolated rat liver mitochondria, the effects of PC on mitochondrial respiration rate, mitochondrial potential (ΔΨm), and mitochondrial swelling were examined. It was shown that the application of the inhibitors of carnitine palmitoyltransferase-1 (Etomoxir 2), Ca2+-dependent phospholipase cPLA2 (Aristolochic acid), or Ca2+-independent phospholipase iPLA2γ ((R/S)-bromoenol lactone (BEL) and PACOCF3) caused an increase in the critical concentrations of D,L-palmitylcarnitine (PC*) required for ΔΨm dissipation and mitochondrial swelling. The most pronounced protective effect was caused by PACOCF3 and BEL. In state 3 of respiration (ADP + Mg2+ + hexokinase), Etomoxir 2 and Aristolochic acid enhanced respiration inhibition induced by excess D,L-palmitylcarnitine and promoted dissipation of ΔΨm, while-the inhibitors of iPLA2γ prevented the dissipation of ΔΨm evoked by D,L-palmitylcarnitine and caused an increase in the rate of mitochondrial respiration. Thus, the results obtained indicate the involvement of mitochondrial iPLA2γ in the induction of mitochondrial permeability transition pore by long-chain acylcarnitines.
About the authors
N. I. Fedotcheva
Institute of Theoretical and Experimental Biophysics, Russian Academy of Sciences
Email: dynnik@rambler.ru
Russia, 142290, Moscow oblast, Pushchino
E. V. Grishina
Institute of Theoretical and Experimental Biophysics, Russian Academy of Sciences
Email: dynnik@rambler.ru
Russia, 142290, Moscow oblast, Pushchino
V. V. Dynnik
Institute of Theoretical and Experimental Biophysics, Russian Academy of Sciences
Author for correspondence.
Email: dynnik@rambler.ru
Russia, 142290, Moscow oblast, Pushchino
References
- Hunter D.R., Haworth R.A. 1979. The Ca2+-induced membrane transition in mitochondria. III. Transitional Ca2+ release. Arch. Biochem. Biophys. 195 (2), 468–477.
- Crompton M., Ellinger H., Costi A. 1988. Inhibition by cyclosporin A of a Ca2+-dependent pore in heart mitochondria activated by inorganic phosphate and oxidative stress. Biochem. J. 255, 357–360.
- Bernardi P., Broekemeir K.M., Pfeiffer D.R. 1994. Recent progress on regulation of the mitochondrial permeability transition pore; a cyclosporine-sensitive pore in the inner mitochondrial membrane. J. Bioenerg. Biomembr. 26 (5), 509–517. https://doi.org/10.1007/BF00762735
- Kwong J.Q., Molkentin J.D. 2015. Physiological and pathological roles of the mitochondrial permeability transition pore in the heart. Cell Metab. 21 (2), 206. https://doi.org/10.1016/j.cmet.2014.12.001
- Ford D.A., Han X., Horner C.C., Gross W. 1996. Accumulation of unsaturated acylcarnitine molecular species during acute myocardial ischemia: Metabolic compartmentalization of products of fatty acyl chain elongation in the acylcarnitine pool. Biochemistry. 35 (24), 7903. https://doi.org/10.1021/bi960552n
- Lesnefsky E.J., Moghaddas S., Tandler B., Kerner J., Hoppel C.L. 2001. Mitochondrial dysfunction in cardiac disease: Ischemia–reperfusion, aging, and heart failure. J. Mol. Cell Cardiol. 33 (6), 1065–1089. https://doi.org/10.1006/jmcc.2001.1378
- Koves T.R., Ussher J.R., Noland R.C., Slentz D., Mosedale M., Ilkayeva O., Bain J., Stevens R., Dyck J.R., Newgard C.B., Lopaschuk G.D., Muoio D.M. 2008. Mitochondrial overload and incomplete fatty acid oxidation contribute to skeletal muscle insulin resistance. Cell Metab. 7 (1), 45–56. https://doi.org/10.1016/j.cmet.2007.10.013
- Fromenty B., Robin M.A., Igoudjil A., Mansouri A., Pessayre D. 2004. The ins and outs of mitochondrial dysfunction in NASH. Diabetes Metab. 30 (2), 121–138. https://doi.org/10.1016/s1262-3636(07)70098-8
- Liepinsh E., Makrecka-Kuka M., Volska K., Kuka J., Makarova E., Antone U., Sevostjanovs E., Vilskersts R., Strods A., Tars K., Dambrova M. 2016. Long-chain acylcarnitines determine ischaemia/reperfusion-induced damage in heart mitochondria. Biochem. J. 473 (9), 1191–1202. https://doi.org/10.1042/BCJ20160164
- Erfle J.D., Sauer F. 1969. The inhibitory effects of acyl-coenzyme A esters on the pyruvate and alpha-oxoglutarate dehydrogenase complexes. Biochim. Biophys. Acta. 178 (3), 441–452. https://doi.org/10.1016/0005-2744(69)90213-7
- Lai J.C., Cooper A.J. 1991. Neurotoxicity of ammonia and fatty acids: Differential inhibition of mitochondrial dehydrogenases by ammonia and fatty acyl coenzyme A derivatives. Neurochem. Res. 16 (7), 795–803.
- Farrell H.M. Jr, Wickham E.D., Reeves H.C. 1995. Effects of long-chain acyl-coenzyme A’s on the activity of the soluble form of nicotinamide adenine dinucleotide phosphate-specific isocitrate dehydrogenase from lactating bovine mammary gland. Arch. Biochem. Biophys. 321 (1), 199–208. https://doi.org/10.1006/abbi.1995.1386
- Paulson D.J., Shug A.L. 1984. Inhibition of the adenine nucleotide translocator by matrix-localized palmityl-CoA in rat heart mitochondria. Biochim. Biophys. Acta. 766 (1), 70–76. https://doi.org/10.1016/0005-2728(84)90218-4.10
- Schoënfeld P., Bohnensack R. 1997. Fatty acid-promoted mitochondrial permeability transition by membrane depolarization and binding to the ADP/ATP carrier. FEBS Letters. 420, 167–170.
- Ciapaite J., Van Eikenhorst D., Bakker S., Diamant M., Heine R.J., Wagner M.J., Westerhoff H.V., Krab K. 2005. Modular kinetic analysis of the adenine nucleotide translocator-mediated effects of palmitoyl-CoA on the oxidative phosphorylation in isolated rat liver mitochondria. Diabetes. 54 (4), 944–951. https://doi.org/10.2337/diabetes.54.4.944
- Wojtczak L., Wieckowski M.R. 1999. The mechanisms of fatty acid-induced proton permeability of the inner mitochondrial membrane. J. Bioenerg. Biomembr. 31, 447–455.
- Sultan A., Sokolove P.M. 2001. Palmitic acid opens a novel cyclosporin A-insensitive pore in the inner mitochondrial membrane. Arch. Biochem. Biophys. 386 (1), 37–51. https://doi.org/10.1006/abbi.2000.2194
- Mironova G.D., Gateau-Roesch O., Levrat C., Gritsenko E., Pavlov E., Lazareva A.V., Limarenko E., Rey C., Louisot P., Saris N.E. 2001. Palmitic and stearic acids bind Ca2+ with high affinity and form nonspecific channels in black-lipid membranes. Possible relation to Ca2+-activated mitochondrial pores. J. Bioenerg. Biomembr. 33 (4), 319–331. https://doi.org/10.1023/a:1010659323937
- Mironova G.D., Pavlov E.V. 2021. Mitochondrial cyclosporine A-independent palmitate/Ca2+-induced permeability transition pore (PA-mPT Pore) and its role in mitochondrial function and protection against calcium overload and glutamate toxicity. Cells. 10, 125. https://doi.org/10.3390/cells10010125
- Федотчева Н.И., Гришина Е.В., Дынник В.В. 2022. Индукция митохондриальной циклоспорин-зависимой поры ацилкарнитинами. Влияние концентрации и длины углеродной цепи. Биол. мембраны. 39 (1), 75–82. https://doi.org/10.31857/S0233475522010066
- Dynnik V.V., Grishina E.V., Fedotcheva N.I. 2020. The mitochondrial NO-synthase/guanylate cyclase/protein kinase G signaling system underpins the dual effects of nitric oxide on mitochondrial respiration and opening of the permeability transition pore. FEBS J. 287 (8), 1525–1536. https://doi.org/10.1111/febs.15090
- Berezhnov A.V., Fedotova E.I., Nenov M.N., Kasymov V.A., Pimenov O.Y., Dynnik V.V. 2020. Dissecting cellular mechanisms of long-chain acylcarnitines-driven cardiotoxicity: Disturbance of calcium homeostasis, activation of Ca2+-dependent phospholipases, and mitochondrial energetics collapse. Int. J. Mol. Sci. 21 (20), 7461. https://doi.org/10.3390/ijms21207461
- Hollander J.M., Thapa D., Shepherd D.L. 2014. Physiological and structural differences in spatially distinct subpopulations of cardiac mitochondria: Influence of cardiac pathologies. Am. J. Physiol. Circ. Physiol. 307, H1–H14. https://doi.org/10.1152/ajpheart.00747.2013
- Caro A.A., Cederbaum A.I. 2007. Role of intracellular calcium and phospholipase A2 in arachidonic acid-induced toxicity in liver cells overexpressing CYP2E1. Arch. Biochem. Biophys. 457 (2), 252–263. https://doi.org/10.1016/j.abb.2006.10.018
- Saito Y., Watanabe K., Fujioka D., Nakamura T., Obata J., Kawabata K., Watanabe Y., Mishina H., Tamaru S., Kita Y., Shimizu T., Kugiyama K. 2012. Disruption of group IVA cytosolic phospholipase A2 attenuates myocardial ischemia-reperfusion injury partly through inhibition of TNF-α-mediated pathway. Am. J. Physiol. Circ. Physiol. 302, H2018–H2030. https://doi.org/10.1152/ajpheart.00955.2011
- Asemu G., Dhalla N.S., Tappia P.S. 2004. Inhibition of PLC improves postischemic recovery in isolated rat heart. Am. J. Physiol. Circ. Physiol. 287 (6), H2598–H2605. https://doi.org/10.1152/ajpheart.00506.2004
- Hara S., Yoda E., Sasaki Y., Nakatani Y., Kuwata H. 2019. Calcium-independent phospholipase A2γ (iPLA2γ) and its roles in cellular functions and diseases. Biochim. Biophys. Acta Mol. Cell. Biol. Lipids. 1864 (6), 861–868. https://doi.org/10.1016/j.bbalip.2018.10.009
- Moon S.H., Jenkins C.M., Liu X., Guan S., Mancuso D.J., Gross R.W. 2012. Activation of mitochondrial calcium-independent phospholipase A2γ (iPLA2γ) by divalent cations mediating arachidonate release and production of downstream eicosanoids. J. Biol. Chem. 287 (18), 14 880–14 895. https://doi.org/10.1074/jbc.M111.336776
- Kinsey G.R., Blum J.L., Covington M.D., Cummings B.S., McHowat J., Schnellmann R. 2008. Decreased iPLA2gamma expression induces lipid peroxidation and cell death and sensitizes cells to oxidant-induced apoptosis. J. Lipid Res. 49 (7), 1477–1487. https://doi.org/10.1194/jlr.M800030-JLR200
- Kinsey G.R., McHowat J., Patrick K.S., Schnellmann R.G. 2007. Role of Ca2+-independent phospholipase A2gamma in Ca2+-induced mitochondrial permeability transition. J. Pharmacol. Exp. Ther. 321 (2), 707–715. https://doi.org/10.1124/jpet.107.119545
- Rauckhorst A.J., Broekemeier K.M., Pfeiffer D.R. 2014. Regulation of the Ca2+-independent phospholipase A2 in liver mitochondria by changes in the energetic state. J. Lipid Res. 55 (5), 826–836. https://doi.org/10.1194/jlr.M043307
- Williams S.D., Gottlieb R.A. 2002. Inhibition of mitochondrial calcium-independent phospholipase A2 (iPLA2) attenuates mitochondrial phospholipid loss and is cardioprotective. Biochem. J. 362 (Pt 1), 23–32. https://doi.org/10.1042/0264-6021:3620023
- Moon S.H., Jenkins C.M., Kiebish M.A., Sims H.F., Mancuso D.J., Gross R.W. 2012. Genetic ablation of calcium-independent phospholipase A(2)γ (iPLA(2)γ) attenuates calcium-induced opening of the mitochondrial permeability transition pore and resultant cytochrome c release. J. Biol. Chem. 287 (35), 29 837–29 850. https://doi.org/10.1074/jbc.M112.373654
- Moon S.H., Liu H., Cedars A.M., Yang C., Kiebish M.A., Joseph S.M., Kelley J., Jenkins C.M., Gross R.W. 2018. Heart failure-induced activation of phospholipase iPLA 2 γ generates hydroxyeicosatetraenoic acids opening the mitochondrial permeability transition pore. J. Biol. Chem. 293 (1), 115–129. https://doi.org/10.1074/jbc.RA117.000405
- Moon S.H., Dilthey B.G., Liu X., Guan S., Sims H.F., Gross R.W. 2021. High-fat diet activates liver iPLA2γ generating eicosanoids that mediate metabolic stress. J. Lipid Res. 62, 100052. https://doi.org/10.1016/j.jlr.2021.100052
- Dubinin M.V., Astashev M.E., Penkov N.V., Gudkov S.V., Dyachenko I.A., Samartsev V.N., Belosludtsev K.N. 2016. Effects of phospholipase A2 inhibitors on bilayer lipid membranes. J. Membr. Biol. 249 (3), 339–347. https://doi.org/10.1007/s00232-016-9872-7




