Effect of Nicotinic Acetylcholine Receptor Ligands on Adhesive Properties of Murine Bone Marrow Granulocytes During Inflammation
- Authors: Jirova E.A.1, Serov D.A.1,2, Fedorova E.V.3, Safronova V.G.1
-
Affiliations:
- Institute of Cell Biophysics of the Russian Academy of Sciences
- Prokhorov General Physics Institute of the Russian Academy of Sciences
- Institute of Theoretical and Experimental Biophysics, Russian Academy of Sciences
- Issue: Vol 41, No 2 (2024)
- Pages: 99-114
- Section: Articles
- URL: https://journal-vniispk.ru/0233-4755/article/view/257067
- DOI: https://doi.org/10.31857/S0233475524020017
- EDN: https://elibrary.ru/xxhoiw
- ID: 257067
Cite item
Full Text
Abstract
The first stage of mature neutrophil granulocytes leaving the bone marrow into the blood and migration to inflammatory center is attachment to vascular endothelium. Disturbance of neutrophil adhesiveness is critical for many diseases with inflammatory components. Endo- and exogenous factors modify the cell ability to adhere via different receptors, including nicotinic acetylcholine receptors (nAChRs). However, the involvement of nAChRs in the regulation of bone marrow (BM) granulocyte adhesion and the role of signaling components in the action of nicotine are poorly understood. In this work the role of different types of nAChRs in the regulation of murine BM granulocyte adhesion during acute inflammation was studied. The study was performed on BM granulocytes of the BALB/c mouse strain using static adhesion assay, confocal microscopy, inhibitor assay, and reverse transcription PCR (RT-PCR). The role of nAChR types was assessed using selective antagonists: 10 nM α-CTX (α7), 10 nM GIC and 5 nM MII (α3β2), 200 nM MII (α3β2 and α7), RgIA and Vc1.1 (α9α10). The number of attached BM granulocytes did not differ between animals with and without inflammation. Nicotine (0.01–100 µM, 30 min) significantly increased cell adhesion in both groups. Toxins (α-CTX, RgIA, Vc1.1) enhanced cell adhesion in both groups, as 200 nM MII did in controls. Fluorescence labelling assays showed expression of α7 and α10 nAChR subunits on cytoplasmic membrane of native BM granulocytes. Using inhibitors, we showed that the effect of nicotine on BM granulocyte adhesion was mediated by heterotrimeric G-proteins, PKC, PI3K, and ROCK both normally and in the presence of inflammation. α7 and α9α10 nAChRs were predominantly involved in regulation of BM granulocyte adhesion, and participation of α3β2 was negligible, possibly due to low expression of α3 subunits. In the regulation of cell adhesion by nicotine, the development of inflammation in the body enhanced the role of α7 nAChRs, which are conventionally expressed on the membrane of BM granulocytes.
Full Text
ВВЕДЕНИЕ
Воспалительная реакция организма сопровождается быстрой активацией полиморфноядерных нейтрофильных гранулоцитов (нейтрофилов). Они развиваются из полипотентной стволовой кроветворной клетки в костном мозге, где проходят этапы миелоидной дифференцировки. Зрелые нейтрофилы выходят в кровеносное русло, обладая сформированным цитотоксическим потенциалом в виде протеолитических ферментов, цитотоксических белков и аппарата для генерации супероксид-анион радикала [1–3]. При повреждении ткани или проникновении патогена нейтрофилы активируются в течение нескольких минут, мигрируют из кровеносного сосуда и скапливаются в очаге воспаления, где они реализуют защитные функции [4–7]. Прикрепление к эндотелию сосудов и внеклеточному матриксу является первой стадией выхода зрелых нейтрофилов из костного мозга в кровь и последующей миграции в очаг инфицирования или повреждения [2, 4]. Механизм этого процесса хорошо изучен, установлены основные адгезионные молекулы и рецепторы [8–13]. Кратко “адгезионный каскад” можно представить следующим образом: 1) мягкое прикрепление к эндотелию и медленное качение (rolling), что обеспечивается экспрессией L-селектина и активацией интегринов; 2) при получении сигнала тревоги (например, в виде медиаторов воспаления) нейтрофил прикрепляется прочно перед последующим “просачиванием” через эндотелий и базальную мембрану (трансэндотелиальная и периваскулярная миграция) [9, 13–15]. Прочное прикрепление обеспечивается взаимодействием молекул межклеточной адгезии (ICAM) на эндотелии с β1- и β2-интегринами на мембране нейтрофила: VLA (very late antigen), LFA-1 (lymphocyte function-associated antigen-1, CD11a/CD18) и Mac-1 (macrophage-1 antigen, CD11b/CD18). Кроме того, молекулы адгезии участвуют в регуляции фагоцитоза и других функций нейтрофилов [13, 16]. Нарушение адгезионных свойств нейтрофилов критично для многих заболеваний с воспалительным компонентом [5, 9, 13, 14, 16, 17]. Предлагается подход к терапии воспалительных заболеваний на основе модуляции адгезии [18].
Адгезивные свойства нейтрофилов модифицируются эндо- и экзогенными факторами через рецепторы разного типа, в том числе через никотиновые рецепторы ацетилхолина (нАХР) [15, 19–21]. Среди экзогенных лигандов нАХР наиболее распространенным является никотин. Первоначально интерес к его действию на клетки иммунной системы был связан с курением сигарет, тогда как в последнее время большое внимание привлекает участие нАХР в воспалительных процессах и болевых реакциях [22–24]. Показано, что никотин, как и эндогенный лиганд нАХР ацетилхолин (АХ), способствовали адгезии моноцитоподобных клеток U937 на эндотелиальных клетках [25]. В присутствии липополисахарида никотин подавлял экспрессию ICAM-1 в моноцитах крови человека с участием α7 нАХР, NF-κB и p38 MAPK [26], тогда как в эндотелиальных клетках десен, в которых обнаружены субъединицы α5 и α7, никотин увеличивал экспрессию генов и белков ICAM-1, что было опосредовано p38 MAPK, но не протеинкиназой С (PKC) [27]. У активных курильщиков, имеющих высокую концентрацию никотина в крови, выявлено изменение экспрессионного профиля адгезивных молекул, приводящее к осложненному течению заболеваний с воспалительным компонентом [28]. Никотин в концентрации, сопоставимой с уровнем в крови курильщиков, потенцировал экспрессию гена и белка васкулярной молекулы клеточной адгезии-1 (vascular cell adhesion molecule, VCAM-1) в клетках макрофагальной линии RAW264.7 через α7 нАХР и сигнальный путь JNK (c-Jun N-концевые киназы) [29]. Также он усиливал перекатывание и адгезию лейкоцитов в микроциркуляторном русле головного мозга мышей [30]. Наиболее детально изучена регуляция ацетилхолином адгезии кератиноцитов, осуществляемая через α3, α7 и α9 нАХР при участии фосфолипазы С, Src-тирозиновых протеинкиназ, PKC и малых G-белков семейств Rac и Rho [31–33]. Эндогенный АХ может влиять на адгезию и миграцию иммунных клеток по механизму ауто- и паракринной регуляции [34]. Однако участие нАХР в регуляции адгезии гранулоцитов костного мозга и их сигнальные пути исследованы мало.
Ранее мы показали, что в нейтрофилах из очага острого воспаления у мыши активация нАХР приводила к транзиентному повышению концентрации Ca2+ в цитозоле и влияла на генерацию активных форм кислорода и адгезию [35]. С помощью селективных антагонистов была обнаружена регуляторная роль α7, α3(α6*)β2 нАХР и показана экспрессия мРНК субъединиц α2–7, α9, β2–4. При сопоставлении нейтрофилов из очага воспаления с гранулоцитами костного мозга (КМ-гранулоцитами) обнаружены различия в экспрессии генов субъединиц и в действии лигандов нАХР на функции клеток [21]. Отметим, что никотин не влиял на адгезию клеток из очага воспаления и усиливал адгезию КМ-гранулоцитов, АХ усиливал адгезию в обоих случаях. Было показано участие α9-содержащих нАХР в регуляции адгезии КМ-гранулоцитов, но роль других рецепторов не рассматривалась. Кроме того, остается неизученным участие сигнальных компонентов в действии никотина на адгезию КМ-гранулоцитов.
Целью данной работы являлось исследование роли нАХР разных типов в регуляции адгезии гранулоцитов костного мозга мышей с острым воспалением.
МАТЕРИАЛЫ И МЕТОДЫ
Материалы. В работе использованы: перколл, зимозан из Saccharomyces cerevisiae, красители (акридиновый оранжевый и трипановый синий), тирфостин 51, вортманнин, стауроспорин, коклюшный токсин (PTX), Y27632, NucRed (Thermo Fisher Scientific, США). Для изоляции и инкубации клеток использованы: фосфатно-бикарбонатный буфер (PBS, Thermo Fisher Scientific, США); среда RPMI-1640 (ПанЭко, Россия); среда Хенкса, содержащая (мМ): 138 NaCl, 6 KCl, 1 MgSO4, 1 Na2HPO4, 5 NaHCO3, 5.5 глюкоза, 10 Hepes, pH 7.3 (Sigma-Aldrich). Лиганды нАХР: никотин (Sigma, США), α-кобратоксин (α-CTX) и AF488-α-CTX, α-конотоксины GIC, MII, RgIA и Vc1.1. AF488-α-CTX, α-CTX и α-конотоксины были любезно предоставлены И.Е. Кашеверовым и Ю.Н. Уткиным (ИБХ РАН, Москва).
Животные. Работа проведена на мышах-самцах линии BALB/c (21–23 г), приобретенных в питомнике филиала “Столбовая” ФГБУН “Научный центр биомедицинских технологий Федерального медико-биологического агентства” России. Все эксперименты с лабораторными животными выполнены в соответствии с нормативно-правовым актом Министерства здравоохранения РФ № 199-н “Об утверждении правил надлежащей лабораторной практики”, международно-правовыми нормами, указанными в Европейской конвенции ETS № 123 “О защите позвоночных животных, используемых для экспериментов или в иных научных целях” и руководством по работе с лабораторными животными ИБК РАН № 57.30.12.2011. Были взяты две группы: 1) животные с острым воспалением, вызванным инъекцией суспензии зимозана в растворе Хенкса без Ca2+ (5 мг/мл, 150 мкл в/б); 2) контрольные животные (раствор Хенкса, 150 мкл в/б). Животные содержались в конвенциональных условиях и получали питье и корм accesso libero.
Изоляция гранулоцитов из брюшной полости. Через 15 ч после инъекций суспензии зимозана или солевого раствора мышей обездвиживали с помощью цервикальной дислокации, брюшную полость промывали раствором Хенкса без Ca2+, суспензию центрифугировали, осадок ресуспендировали в среде Хенкса без Ca2+ до плотности 107 клеток/мл.
Изоляция гранулоцитов из костного мозга. КМ-гранулоциты получали по стандартной методике [36, 37]. Большеберцовую, бедренную и плечевую кости промывали средой RPMI-1640, полученную суспензию наслаивали на градиент перколла (78%, 62.5%, 55% в PBS, V/V) и центрифугировали (1500g, 35 мин, 7оC). Собирали клетки на границе фаз 62.5–78%, промывали средой RPMI-1640, затем PBS. После второй промывки и центрифугирования (500g, 10 мин) осадок ресуспендировали в среде Хенкса без Ca2+до плотности 107 клеток/мл.
Количество выделенных зрелых нейтрофилов в обоих случаях оценивали по форме ядра при окрашивании акридиновым оранжевым. Живые клетки составляли около 98% по окрашиванию трипановым синим. Изолированные клетки хранили до эксперимента в течение 1 ч при 4оC.
Адгезионную пробу проводили по протоколу, описанному ранее [21], в плоскодонном 96-луночном планшете с TC-обработкой поверхности (Eppendorf, США). В каждую лунку помещали по 270 мкл раствора Хенкса, содержащего 1 мМ Са2+, затем в зависимости от задачи в соответствующие лунки добавляли: исследуемые лиганды нАХР или раствор Хенкса (контроль), токсины или ингибиторы сигнальных компонентов; после этого добавляли по 3×105 клеток. Были использованы: 0.01–100 мкМ никотин, 10 нМ α-СТХ, 10 нМ GIC, 5 или 200 нМ MII, 10 нМ стауроспорин, 50 нМ тирфостин 51, 10 нМ вортманнин, 140 нМ Y27632. Клетки инкубировали в течение 30 мин при 37оC или в течение 2 ч с коклюшным токсином (РТХ, 300 нг/мл). Затем супернатант удаляли, клетки фиксировали с помощью 96% C2H5OH (3 ч, 22оC). После удаления этанола планшет просушивали (14–15 ч, 37оC), и прикрепившиеся клетки окрашивали раствором азур-эозина по Романовскому (40 мин, 22оC). Планшет трехкратно промывали PBS, и клетки лизировали изопропанолом. Количество прикрепившихся клеток оценивали по оптической плотности (OD) растворов, полученных после лизиса, при длинах волн 492 нм (OD492) и 405 нм (OD405, референсная длина волны) с помощью фотометра Infinite F50 (Tecan, Австрия). Определяли ΔOD = OD492 – OD405. Эффекты (относительная оптическая плотность, %) никотина, токсинов или ингибиторов рассчитывали по отношению ΔOD клеток, обработанных никотином или каким-либо из агентов, либо антагонистом нАХР и никотином совместно, к величине ΔOD интактных клеток, принятой за 100%. При совместном использовании никотина и одного из ингибиторов эффект никотина рассчитывали по отношению величины ΔOD от клеток, обработанных обоими веществами, к величине ΔOD от клеток, обработанных тем же ингибитором, принятой за 100%.
Примененный нами метод статической оценки адгезии КМ-гранулоцитов имеет ограничения, так как он не воспроизводит физиологические условия, при которых клетки находятся в условиях сдвигового потока. Но считается, что статические адгезионные пробы позволяют с высокой производительностью исследовать прочную адгезию, опосредованную β2-интегрином [17].
Связывание меченого α-кобратоксина. 100 мкл суспензии КМ-гранулоцитов наносили на круг-лые покровные стекла (диаметром 25 мм) и инкубировали во влажной камере для прикрепления (15 мин, 37оC). Стекло с клетками помещали в камеру RC-40LP (Warner Instruments, США), затем добавляли 400 мкл раствора Хенкса без Ca2+ и трижды промывали. Окрашивание клеток α-кобратоксином (α-CTX), конъюгированным с AlexaFluor488 (AF488-α-CTX), проводили по протоколу [38] с модификациями. Клетки инкубировали с немеченым α-CTX (500 нМ) во влажной камере в темноте (1 ч, 23оC), добавляли 50 нМ AF488-α-CTX и 5 мкМ NucRed (витальный ядерный краситель), инкубировали в течение 30 мин. Контрольная проба содержала немеченый α-CTX.
Флуоресцентное окрашивание α10 нАХР. Иммуноцитохимическое окрашивание клеток с помощью меченых антител к субъединице α10 нАХР проводили по протоколу [39]. Клетки фиксировали 4% формальдегидом в PBS (15 мин), трижды промывали PBS, инкубировали с 1% БСА в PBS для блокирования дальнейшего неспецифического связывания антител (30 мин). Затем инкубировали в течение 1 ч с первичным поликлональным антителом (анти-α10 нАХР) кролика против α10 нАХР (Abcam, Великобритания) в разведении 1:100, трижды промывали PBS. Заменяли PBS на 1% БСА в PBS и инкубировали клетки 1 ч со вторичным поликлональным антителом козы, меченым AF488 (AF488-анти-IgG), против IgG кролика (A11034, Thermo Fisher Scientific) в разведении 1:100. Часть клеток инкубировали без добавки первичного антитела к α10 нАХР, но в присутствии вторичного антитела, меченого AF488. Для визуализации ядер добавляли 5 мкМ NucRed за 15 мин до окончания инкубации. Затем клетки трижды промывали PBS. Все процедуры проводили при 22оC.
Для визуализации обеих субъединиц нАХР интенсивность флуоресценции регистрировали с использованием конфокального микроскопа DMI6000 (Leica, Германия) при постоянных настройках мощности источников возбуждающего света и усиления сигнала во всех экспериментах каждым из методов. Значения пинхола были выбраны 1 Эйри. Далее изображения обрабатывали с помощью программ LAS X (Leica, Германия) и ImageJ с поддержкой плагинов Bio-Formats (NIH, США).
Полимеразная цепная реакция с обратной транскрипцией (ОТ-ПЦР) была применена для оценки экспрессии генов в КМ-гранулоцитах мышей контрольной группы без инъекций. Суммарную РНК экстрагировали из КМ-гранулоцитов, префронтальной области коры головного мозга и тимуса мыши с помощью набора RNeasy Mini Kit по протоколу производителя (QIAGEN, Германия). Согласно данным базы NCBI в мозге взрослых мышей на высоком уровне экспрессируются субъединицы никотиновых рецепторов α3 (Chrna3), α7 (Chrna7) и β2 (Chrnb2), тогда как в тимусе – α9 (Chrna9) и α10 (Chrna10), поэтому указанные ткани были взяты в качестве положительного контроля. Измерение концентрации суммарной РНК проводили на спектрофотометре NanoDrop Spectrophotometer 1000 (Thermo Fisher Scientific, США). Качество РНК оценивали электрофоретически в 1% агарозном геле. Суммарную РНК (2 мкг) использовали для проведения реакции обратной транскрипции с помощью набора для синтеза кДНК RevertAid First Strand cDNA Synthesis Kit (Thermo Fisher Scientific, Литва) по протоколу производителя. Образцы с РНК, подвергнутой обратной транскрипции без использования обратной транскриптазы, служили отрицательным контролем. Синтезированную кДНК использовали для ПЦР с геноспецифичными праймерами (табл. 1). ПЦР проводили на ДНК-амплификаторе ДТ-лайт (ДНК-Технология, Россия) с использованием набора qPCR-Mix-HS (Евроген, Россия). Реакционная смесь общим объемом 20 мкл содержала 2 мкл кДНК, 0.4 мкМ каждого праймера, 4 мкл 5-кратной смеси qPCRmix-HS. Программа ПЦР включала начальную денатурацию (1 мин, 94оC), затем 35 циклов: 94оC в течение 20 с, 58оC в течение 30 с и синтез при 72оC в течение 45 с. Продукты ПЦР анализировали с помощью гель-электрофореза в 3% агарозном геле. Специфику продуктов ОТ-ПЦР оценивали по длине молекул ДНК с помощью маркера длин ДНК MassRuler Low Range DNA Ladder (Thermo Fisher Scientific, США).
Таблица 1. Перечень праймеров, использованных в работе
Ген (кодируемый белок) | Прямой 5’–>3’ | Обратный 5’–>3’ |
Аctb (β-актин) | CTTCTTGGGTATGGAATCCTG | CTTGATCTTCATGGTGCTAGG |
Chrna3 (α3) | GAAGCCATCCAAAGTGTGAAG | TGTCATCTCTGGCCATCAAG |
Chrna7 (α7) | CGTGGGCCTCTCAGTGGTCG | ACCTGCGCTCAGCTCCACAC |
Chrna9 (α9) | CAGGTCACGCTCTCCCAG | CCGTCATACTGGTCTCGATCC |
Chrna10 (α10) | GGCAGACACAGACCAGACTC | GGTCCCAATGTAGGTAGGCG |
Chrnb2 (β2) | AGGGCTTGGCTGGGGCTTTC | TGGAGCTGGGAGCTGAGTGGT |
Статистический анализ. Обработку результатов проводили с использованием программы MatLab (MathWorks, США). Для сравнения показателей, полученных от клеток животных контрольной и “воспалительной” групп и подвергшихся различным воздействиям, использовали тест One Way ANOVA for Ranks с поправкой Холма–Шидака и критерий Манна–Уитни (Rank Sum Test) для сравнения результатов внутри каждой из групп животных. В таблицах и на рисунках численные результаты представлены в виде средних значений ± стандартная ошибка с указанием количества независимых измерений. Различия считались значимыми при p < 0.05.
РЕЗУЛЬТАТЫ
Определение количества изолированных клеток. Количество зрелых гранулоцитов, изолированных из брюшной полости животных, было значительно выше при наличии у них острого воспаления, что указывает на усиленную миграцию нейтрофилов в очаг инфицирования. Из костного мозга мышей с воспалением было выделено существенно меньшее количество зрелых гранулоцитов, чем из костного мозга контрольных животных (табл. 2). Вероятно, это связано с тем, что при развитии воспалительного процесса в ответ на введение зимозана зрелые нейтрофилы из крови мигрируют в очаг воспаления, а их пул в крови пополняется за счет клеток костного мозга. В дальнейших экспериментах были использованы нейтрофильные гранулоциты костного мозга (КМ-гранулоциты).
Таблица 2. Количество гранулоцитов, выделенных из перитонеального экссудата и костного мозга мышей контрольной группы (Контроль) и мышей с острым воспалением (Воспаление)
Локализация клеток | Изолированные зрелые гранулоциты, шт. ×107 | p* | |
Контроль | Воспаление | ||
Брюшная полость | 0.23 ± 0.07 n = 11 | 1.27 ± 0.20 # n = 17 | < 0.001 |
Костный мозг | 3.14 ± 0.26 n = 22 | 2.36 ± 0.24 # n = 22 | 0.021 |
* – Сравнение количества выделенных зрелых гранулоцитов в контрольной группе и в группе животных с острым воспалением, # – значимое различие между показателями в контрольной группе и группе с воспалением.
Параметры адгезии при остром воспалении. Количество прикрепившихся КМ-гранулоцитов, оцениваемое по оптической плотности, у животных с острым воспалением не отличалось по абсолютной величине от такового у контрольных животных: средние значения OD492–405 составляли 0.056 ± 0.008 в контроле (n = 16) и 0.054 ± 0.006 при воспалении (n = 16), таким образом, различий в исходном уровне адгезии клеток мышей из разных групп не наблюдалось.
Влияние лигандов нАХР на адгезию. Никотин (0.01–100 мкМ, 30 мин) в зависимости от концентрации усиливал адгезию КМ-гранулоцитов контрольных животных и животных с воспалением (табл. 3). В концентрациях 0.01 и 1 мкМ, примерно соответствующих уровню никотина в крови курильщиков [40, 41], никотин оказывал более сильное действие на адгезию клеток животных с воспалением, чем клеток контролей. Таким образом, в обеих группах экзогенный никотин потенцировал способность КМ-нейтрофилов к прикреплению на субстрате. Участие нАХР разного типа в регуляции адгезии и действии никотина на нее было проверено с использованием известных селективных антагонистов нАХР (тип рецептора указан в скобках): 10 нМ α-CTX (α7); 10 нМ GIC (α3β2); 5 и 200 нМ MII (α3α6*β2 и α7/α3α6*β2 соответственно); 10 нМ RgIA и 50 нМ Vc1.1 (α9α10) [24, 42–46]. Исследовано одиночное действие токсинов и действие никотина (100 мкМ) в присутствии одного из токсинов.
Таблица 3. Влияние никотина в разных концентрациях на адгезию гранулоцитов костного мозга животных контрольной группы (Контроль) и животных с воспалением (Воспаление)
Концентрация никотина, мкМ | n | Контроль, % | Воспаление, % |
0 | 16 | 100 | 100 |
0.01 | 7 | 122 ± 8* | 164 ± 15*# |
0.1 | 7 | 148 ± 16* | 163 ± 15 * |
1 | 9 | 140 ± 6* | 185 ± 22*# |
10 | 9 | 141 ± 12* | 161 ± 16* |
100 | 16 | 142 ± 9* | 156 ± 11* |
*– В каждой группе (Контроль и Воспаление) адгезию в присутствии никотина в различных концентрациях выражали в % от значения в его отсутствие, которое принимали за 100%.
# – Отличие от параметра в контрольной группе статистически значимо, р < 0.05.
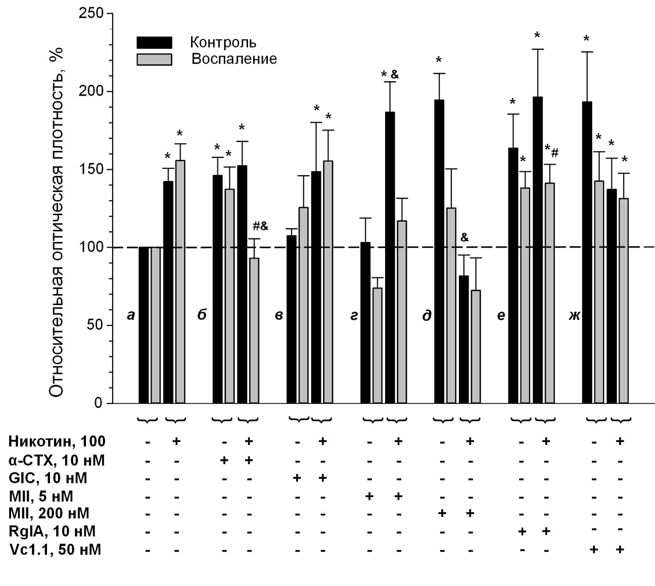
Ранее нами было показано, что в регуляции адгезии нейтрофилов из очага воспаления участвуют α3α6*β2, α7 нАХР [35], в КМ-гранулоцитах, кроме того, обнаружено участие α9α10 в регуляции данной функции. В настоящей работе с использованием α-СТХ, GIC и MII (в двух концентрациях) исследована роль α3α6*β2 и α7 нАХР в адгезии КМ-гранулоцитов контрольных мышей и животных с воспалением (рис. 1б-1д).
Рис. 1. Влияние лигандов нАХР на адгезию КМ-гранулоцитов контрольных животных и животных с воспалением. Показано действие 100 мкМ никотина (а) или одного из антагонистов и антагониста совместно с никотином на адгезию интактных клеток: 10 нМ α-CTX (б), 10 нМ GIC (в), 5 нМ MII (г), 200 нМ MII (д), 10 нМ RgIA (е) или 50 нМ Vc1.1 (ж). Одиночное действие токсинов на адгезию КМ-гранулоцитов контрольных мышей и животных с воспалением представлено двумя столбцами слева соответственно, действие никотина (100 мкМ) в присутствии одного из антагонистов – двумя столбцами справа в каждой группе диаграмм (б–ж); для сравнения показано действие никотина на интактные клетки (а). Присутствие или отсутствие вещества обозначены “+” или “–“ соответственно. * – Значимое отличие от параметра, принятого за 100%; # – отличие эффекта агента в контрольной и “воспалительной” группах; & – различие между действием антагониста и совместно антагонист + никотин на интактные клетки, p < 0.05.
Селективный антагонист α7 нАХР α-СТХ (10 нМ) значительно усиливал адгезию нейтрофилов мышей обеих групп (рис. 1б, два столбца слева), что указывает на регуляторную роль α7 нАХР (с отрицательным знаком). Никотин, примененный совместно с α-СТХ, не влиял на адгезию в контрольной группе и существенно блокировал ее в группе животных с воспалением, так что величина их адгезии не отличалась от таковой у интактных клеток (рис. 1б, столбцы справа). Таким образом, в действии никотина на клетки животных с воспалением α7 нАХР обеспечивал положительную связь.
Количество прикрепившихся клеток в присутствии 10 нМ GIC не отличалось от количества прикрепившихся интактных клеток в обеих группах (рис. 1в, столбцы слева), тогда как добавление никотина усиливало адгезию, но отличий между группами выявлено не было, то есть, усиливающее действие никотина сохранялось в присутствии антагониста α3(α6*)β2 нАХР. Также 5 нМ MII, являющийся антагонистом этого типа рецепторов в низкой концентрации, не влиял на адгезию клеток контрольных животных и незначительно уменьшал ее у животных с воспалением (рис. 1г, столбцы слева). При совместном действии 5 нМ MII и никотина адгезия усиливалась в обеих группах (рис. 1г, столбцы справа), как это наблюдалось в условиях “никотин + GIC”. Таким образом, GIC и 5 нМ MII, примененные как антагонисты α3(α6*)β2 нАХР, не влияли на адгезию интактных клеток и не блокировали действие никотина на нее. Это может означать, что указанные рецепторы не участвуют в регуляции адгезии.
В присутствии 200 нМ MII, действующего как антагонист α7 и α3β2 нАХР, наблюдалось усиление адгезии контрольных клеток по сравнению с показателем интактных клеток (рис. 1д, левые столбцы). Добавка никотина приводила к значительному подавлению адгезии по сравнению с действием самого MII (рис. 1д, правые столбцы), что отличает данный эффект от действия 5 нМ MII совместно с никотином и, вероятно, является следствием блокирования α7 нАХР. В случае совместного применения никотина и 200 нМ MII (рис. 1д, столбцы справа) в клетках животных с воспалением адгезия изменялась в том же направлении, как и при совместном действии никотина и α-СТХ (рис. 1б), что можно отнести на счет доминирующей роли α7 нАХР в регуляции адгезии КМ-гранулоцитов при воспалении.
Оба использованных антагониста α9α10 нАХР α-конотоксины RgIA и Vc1.1 значительно усиливали адгезию клеток животных обеих групп без значительного различия между группами (рис. 1е, 1ж, столбцы слева в каждом блоке), что указывает на отрицательную регуляцию адгезии со стороны этих рецепторов. Добавление никотина не изменяло значительно адгезивность в их присутствии в клетках животных обеих групп (рис. 1е, 1ж, столбцы справа в каждом блоке). При использовании RgIA совместно с никотином эффект был слабее в группе с воспалением по сравнению с контролем, но он не отличался от эффекта самого антагониста, то есть и в контроле, и при воспалении никотин не действовал при блокировании α9α10 нАХР, что указывает на значительную роль этих рецепторов в усиливающем действии никотина. Учитывая важную роль α7 и α9α10 нАХР в регуляции адгезии КМ-нейтрофилов, мы протестировали данные клетки на присутствие этих рецепторов на цитоплазматической мембране (рис. 2, 3).
Рис. 2. Визуализация субъединицы α7 нАХР на КМ-гранулоцитах. Микрофотографии гранулоцитов костного мозга мыши: а, б – флуоресцентные сигналы NucRed и AF488-α-CTX соответственно; в – изображение в видимом свете; г – наложение изображений. Примеры гранулоцитов показаны стрелками. Масштабная линейка: 10 мкм.
Визуализация субъединиц α7 и α10 нАХР в КМ-гранулоцитах проведена с помощью конфокальной микроскопии. Получено, что в гранулоцитах, которые были идентифицированы по окрашенным NucRed полиморфным ядрам, наблюдалось свечение в области эмиссии флуоресцентного зонда AlexaFluor488 (AF488), с которым был конъюгирован α-CTX (AF488-α-CTX), что указывает на связывание AF488-α-CTX с клеточной мембраной (рис. 2а, 2б) и конститутивную экспрессию субъединицы α7 нАХР на мембране КМ-гранулоцитов. Для подтверждения специфичности флуоресцентного сигнала была измерена флуоресценция клеток, инкубированных с немеченым α-CTX, которая не была значительной (данные не приводятся).
В другой серии экспериментов использовали первичное анти-α10 нАХР и вторичное AF488-анти-IgG антитела. Было обнаружено интенсивное свечение в области эмиссии флуоресцентного зонда AF488, что свидетельствует о присутствии субъединицы α10 нАХР на цитоплазматической мембране КМ-гранулоцитов мыши (рис. 3б). Данные результаты получены впервые для нативных КМ-гранулоцитов.
Рис. 3. Визуализация субъединицы α10 нАХР на КМ-гранулоцитах. Микрофотографии клеток после обработки первичным анти-α10 нАХР и вторичным AF488-анти-IgG антителами: а, б – флуоресцентные сигналы NucRed и AF488-α-CTX соответственно; в – изображение в видимом свете; г – наложение изображений. Примеры гранулоцитов показаны стрелками. Масштабная линейка: 10 мкм.
Участие компонентов внутриклеточной сигнализации в действии никотина на адгезию КМ-гранулоцитов. В нервных клетках сигнальные события, следующие за связыванием агонистов с нАХР, опосредуются катион-проводящим ионным каналом [47–50]. В КМ-гранулоцитах, как и в других нативных иммунных клетках, ионотропное действие лигандов нАХР не зарегистрировано, и сигнализация нАХР остается малоисследованной. Далее с использованием специфических ингибиторов мы проанализировали участие в регуляции адгезии и действии никотина на нее компонентов внутриклеточной сигнализации, таких как гетеротримерные G-белки и протеинкиназы (PKC, PI3K, тирозиновые протеинкиназы, RhoA-ассоциированная протеинкиназа). Первоначально было исследовано действие самих ингибиторов на адгезию гранулоцитов животных разных групп.
Известно, что в нервных и опухолевых клетках α7 нАХР взаимодействует и передает сигналы через гетеротримерные G-белки [51, 52], также с участием гетеротримерных G-белков происходит активация β1–3 интегринов [53]. В наших экспериментах коклюшный токсин (PTX), ингибирующий белки Gi и G0 [54], усиливал адгезию клеток в контрольной группе и не влиял на нее при воспалении (рис. 4б). Следует отметить, что действие PTX мы наблюдали через 2 ч после его добавки, соответственно в этой серии экспериментов действие никотина также продолжалось в течение 2 ч, при этом в контрольной группе никотин усиливал адгезию, как и при более коротком времени аппликации (30 мин), но в группе с воспалением длительная инкубация с никотином приводила к существенному подавлению адгезии (рис. 4а). При совместном применении РТХ и 10 мкМ никотина в клетках контрольных животных также наблюдалось усиление адгезии без значительного отличия от действия данных веществ по отдельности (рис. 4б, 4в, черные столбцы). Адгезия клеток животных с воспалением в присутствии обоих веществ не изменялась по сравнению с адгезией интактных клеток (рис. 4в, серый столбец). Таким образом, в присутствии РТХ никотин не действовал существенным образом на адгезию КМ-гранулоцитов, что указывает на участие блокируемых G-белков (Gi или G0) в действии никотина.
Рис. 4. Влияние никотина и коклюшного токсина (PTX) на адгезию КМ-гранулоцитов. Клетки инкубировали с никотином, PTX или с обоими веществами в течение 2 ч. Показано действие: 10 и 100 мкМ никотина (а); 300 нг/мл PTX (б); совместно 10 мкМ никотина и PTX (в). Обозначения: “+” и “– ” – присутствие или отсутствие вещества соответственно; * – отличие от параметра интактных клеток; # – различие между параметром клеток контрольных животных и животных с воспалением; n = 4, p < 0.05.
Действие других ингибиторов сигнальной трансдукции на адгезию и их влияние на действие никотина, как агониста нАХР разного типа, показано на рис. 5а, 5б соответственно. Стауроспорин (10 нМ), действующий в используемой концентрации как ингибитор PKC, усиливал адгезию КМ-гранулоцитов в обеих группах без различия между группами (рис. 5а). Вортманнин (10 нМ), ингибитор фосфатидилинозитол-3-киназы (PI3K), значительно усиливал адгезию клеток мышей контрольной группы и не изменял ее в группе с воспалением, при этом различия в его действии между группами были значительными. Тирфостин 51 (50 нМ), ингибирующий тирозиновые протеинкиназы, не оказывал заметного действия на адгезию клеток животных обеих групп. Y27632 (140 нМ), блокатор Rho-зависимой протеинкиназы (ROCK), усиливал адгезию в контрольной группе и существенно не изменял ее в группе с воспалением, при этом наблюдалось достоверное различие между его эффектом в разных группах (рис. 5а). Таким образом, PKC, PI3K и ROCK участвуют в регуляции адгезии с отрицательным знаком, тогда как тирозиновые протеинкиназы слабо вовлечены в этот процесс, при остром воспалении отрицательная роль PI3K и ROCK в регуляции адгезии значительно ослабляется.
Рис. 5. Действие никотина на адгезию в присутствии ингибиторов компонентов внутриклеточной сигнализации. а – Сравнение действия ингибиторов на адгезию КМ-гранулоцитов мышей контрольной группы (черные столбцы) и мышей с воспалением (серые столбцы). Эффект каждого из ингибиторов в группах рассчитан по отношению величины ΔOD от клеток, обработанных одним из ингибиторов, к величине ΔOD от интактных клеток, принятой за 100%. б – Показаны эффекты: 100 мкМ никотина на интактные клетки (1) и 100 мкМ никотина совместно с 10 нМ стауроспорином (2); 50 нМ тирфостином 51 (3), 10 нМ вортманнином (4) или 140 нМ Y27632 (5). Эффект никотина в каждой группе рассчитан: а – как отношение величины ΔOD от клеток, обработанных никотином, к величине ΔOD от интактных клеток, принятой за 100%; б – как отношение величины ΔOD от клеток, обработанных никотином + один из ингибиторов, к величине ΔOD от клеток, обработанных тем же ингибитором, принятой за 100%. Проведено 5–16 независимых измерений. * – Значимое отличие от параметра, принятого за 100%; # – различие между параметром клеток контрольных животных и животных с воспалением; & – отличие от эффекта никотина на интактные клетки, p < 0.05.
В присутствии 10 нМ стауроспорина никотин не оказывал дополнительного усиливающего действия на адгезию клеток животных обеих групп по сравнению с действием самого ингибитора (рис. 5б2). В присутствии тирфостина 51 (50 нМ) усиливающее действие никотина на адгезию сохранялось в обеих группах мышей (рис. 5б3), тогда как никотин не влиял на клетки, обработанные вортманнином или Y27632 (рис. 5б4 и 5б5 соответственно). Таким образом, согласно результатам по совместному действию ингибиторов и никотина на адгезию КМ-гранулоцитов в ее регуляции через нАХР участвуют PKC, PI3K и ROCK как в норме, так и при наличии воспалительного процесса.
Экспрессия генов субъединиц нАХР в КМ-гранулоцитах была оценена с помощью ОТ-ПЦР. Функциональные свойства нАХР, как известно, во многом определяются субъединичным составом рецептора. В КМ-гранулоцитах контрольных животных была выявлена экспрессия генов, кодирующих субъединицы α7 и β2, а также подтверждена экспрессия генов субъединиц α9 и α10 (рис. 6). Экспрессия субъединицы α3 в образцах клеток от 5 животных не была обнаружена (пример приведен на рис. 6), хотя мы ожидали ее увидеть по аналогии с нейтрофилами из очага воспаления [35]. Полученный результат согласуется с оценкой экспрессии субъединицы α3 в КМ-гранулоцитах мышей этой линии, данной в работе St-Pierre и соавт. [55].
Рис. 6. Пример результата электрофореза продуктов ПЦР в агарозном геле. Показаны синтезированные ампликоны субъединиц нАХР α3 (Chrna3), α7 (Chrna7), α9 (Chrna9), α10 (Chrn10), β2 (Chrnb2) и β-актина (Actb) в пробах гранулоцитов костного мозга мыши BALB/c (Gr), в образце из головного мозга мыши (Br) и образце из тимуса мыши (Th). Тимус и головной мозг мыши взяты в качестве положительного контроля. M – маркер длин ДНК (п. о.).
ОБСУЖДЕНИЕ
Основные результаты нашей работы следующие: 1) никотин (0.01–100 мкМ) значительно усиливал адгезию клеток животных контрольной группы и животных с воспалительным процессом, тогда как при продолжительном воздействии в клетках последних никотин подавлял ее, наблюдались различия между контрольной группой и группой с воспалением; 2) согласно действию селективных антагонистов нАХР в регуляции адгезии гранулоцитов костного мозга мыши участвуют преимущественно α7 и α9α10 типы нАХР; экспрессия субъединиц α7 и α10 нАХР на мембране нативных клеток продемонстрирована экспериментально; 3) при развитии воспалительного процесса в организме усиливается роль α7 нАХР, которые присутствуют на мембране КМ-гранулоцитов конвенционально; 4) действие никотина на адгезию КМ-гранулоцитов опосредовано гетеротримерными G-белками, PKC, PI3K и ROCK как в норме, так и при наличии воспаления.
Известно, что регуляция воспалительного процесса нервной системой происходит с участием эндогенных холинергических медиаторов и нАХР, локализованных на иммунных клетках. Представления о роли центральной нервной системы в иммунном ответе на инфицирование, воспаление или повреждение сформулированы в виде концепции “холинергического противовоспалительного пути” (или “воспалительного рефлекса”), включающей регуляторное влияние эндогенного АХ на продукцию провоспалительных цитокинов макрофагами и другими клетками врожденной иммунной системы через нАХР [56, 57]. Подтверждение данного подхода получено при исследовании заболеваний с воспалительным компонентом и на моделях воспалительных процессов у животных (см., например, [58]). Основной мишенью нейрорегуляции считается α7 нАХР на клетках миелоидного происхождения.
Используемая нами модель воспалительной реакции имеет системный характер с распространением на костный мозг, что обнаружено по значительному уменьшению в нем количества зрелых гранулоцитов, тогда как в брюшной полости, где находился очаг воспаления, их количество существенно возрастало по сравнению с количеством у контрольных животных (табл. 2). Этот факт свидетельствует об усиленной миграции из кровеносного русла в очаг воспаления зрелых гранулоцитов, пул которых пополняется из костного мозга. Известно, что цитотоксический потенциал нейтрофила устанавливается на ранней промиелоцитарной стадии [59], однако на каждом этапе миграции происходит адаптация фенотипа и функций к окружающим условиям с помощью активации определенных транскрипционных факторов [60]. При изменении условий содержания животных или при воспалительном процессе в фенотипически гетерогенном пуле КМ-нейтрофилов изменяется соотношение незрелых и зрелых клеток [61, 62]. В наших экспериментах можно было ожидать, что регуляция рецепторных функций лигандами нАХР при воспалении изменится.
Адгезия является первой стадией выхода нейтрофилов из костного мозга в кровь и миграции из кровеносных сосудов в очаг микробной инвазии или повреждения [2, 4]. Ранее мы показали, что никотин и холин усиливали адгезию КМ-гранулоцитов интактных мышей, и α9α10 нАХР участвуют в их действии [21]. Никотин также усиливал адгезию клеток мышей, получивших инъекцию раствора Хенкса или суспензии зимозана, вызывающего воспаление (табл. 3). При низких концентрациях никотина КМ-гранулоциты животных с воспалением реагировали на него значительно сильнее по сравнению с клетками контрольных животных. При продолжительной инкубации с никотином клетки контрольных животных также отвечали усилением адгезии, тогда как адгезивные свойства клеток животных с воспалением значительно ослаблялись (рис. 4а). Полученные результаты согласуются с работами, в которых показано усиление адгезии под действием никотина за счет увеличения экспрессии адгезионных молекул [27–29], что представляет опасность для курильщиков особенно при воспалительных заболеваниях из-за опасности тромбообразования. Однако этот вопрос требует дальнейшего изучения, так как существуют и противоположные данные: в моноцитах периферической крови человека никотин подавлял экспрессию ICAM-1 с участием α7 нАХР в присутствии липополисахарида как воспалительного агента [26].
Согласно результатам, полученным при использовании селективных антагонистов α7, α3β2 и α9α10 нАХР (рис. 1), в поддержании адгезивных свойств интактных КМ-гранулоцитов животных обеих групп наиболее значимы α7 и α9α10 нАХР, которые, судя по направлению эффекта самих антагонистов (α-CTX, 200 нМ MII, RgIA, Vc1.1), осуществляют регуляцию адгезии с отрицательным знаком. Так как происходит конститутивная экспрессия этих рецепторов на мембране КМ-гранулоцитов (рис. 2, 3), а также экспрессия генов их субъединиц, можно предположить, что наряду с другими рецепторами они участвуют в обеспечении нейтрофильного гомеостаза в костном мозге [63]. Вероятно, что эндогенные АХ и холин, как агонисты нАХР, регулируют адгезию гранулоцитов к эндотелию сосудов и их миграцию по механизму ауто- и паракринной регуляции [34].
При развитии воспаления роль α9α10 нАХР незначительно ослаблялась по сравнению с клетками контролей (рис. 1е, 1ж). Согласно нашим результатам роль α3(α6*)β2 нАХР в регуляции адгезии КМ-гранулоцитов нельзя интерпретировать как значительную, так как α-конотоксины GIC и MII (5 нМ), ингибирующие в использованных концентрациях указанный рецептор, не влияли на адгезию клеток в контроле и слабо модифицировали ее в “воспалительной” группе (рис. 1в, 1г). В действии никотина на адгезию участие α3(α6*)β2 нАХР также не было обнаружено: в присутствии GIC и 5 нМ MII эффект никотина сохранялся в обеих группах (рис. 1в, 1г). Возможно, что такие результаты объясняются низкой экспрессией субъединиц α3 (или α6?) в КМ-гранулоцитах [55]. Нами также обнаружен низкий уровень экспрессии гена субъединицы α3 (рис. 6). Встает вопрос о типе субъединиц, с которыми кооперируется субъединица β2, экспрессия гена которой довольно высокая (рис. 6). Экспрессируемая на довольно высоком уровне субъединица β2 может формировать рецепторный тип α4β2, как это показано, в частности, в спленоцитах мыши [64]. В наших предварительных экспериментах обнаружено присутствие мРНК субъединицы α4 в некоторых образцах, однако требуются детальные исследования формирования активного рецептора с ее участием, регулирующего функции КМ-гранулоцитов. Следует отметить, что уровень мРНК не всегда характеризует изменения уровня белка, важную роль в активации рецепторов или ферментов играет посттрансляционная модификация белка [65, 66]. Были бы интересны эксперименты по определению содержания белка данных субъединиц.
Участие сигнальных компонентов в регуляции никотином адгезии КМ-гранулоцитов животных двух групп мы оценивали с помощью ингибиторов в целом, не выделяя отдельный тип нАХР. Согласно полученным результатам PKC, PI3K и ROCK участвуют в регуляции адгезии с отрицательным знаком, так как их ингибирование приводило к усилению адгезии (рис. 5а). Тогда как тирозиновые протеинкиназы слабо вовлечены в этот процесс. При остром воспалении отрицательная роль PI3K и ROCK в регуляции адгезии значительно ослабляется (рис. 5а). Никотин не действовал в присутствии PTX (рис. 4в), что указывает на участие гетеротриметных G-белков в сигнализации нАХР, активируемых никотином. С учетом действия самих ингибиторов на адгезию, получено, что потенцирование адгезионных свойств КМ-гранулоцитов никотином происходит при положительной регуляции со стороны PKC, PI3K и ROCK (рис. 5б). Роль PKC и PI3K в сигнализации β2-интегринов нейтрофилов документирована [12], показано их участие в регуляции ацетилхолином адгезии кератиноцитов через α3, α7 и α9 нАХР [31–33]. Ранее не было описано участие указанных сигнальных компонентов в регуляции адгезии нейтрофилов лигандами нАХР, в том числе никотином.
Авторы благодарят А.А. Гриневича за помощь в анализе результатов, М.В. Васильчикову за техническую поддержку в работе с животными.
Конфликт интересов. Авторы заявляют, что у них нет конфликта интересов.
Источники финансирования. Работа выполнена при поддержке Российского фонда фундаментальных исследований (проект № 17–00–00058) в рамках комплексного междисциплинарного проекта КОМФИ № 17–00–00064.
Соответствие принципам этики. Настоящая статья не содержит описания каких-либо исследований с участием людей. Все применимые международные, национальные и/или институциональные принципы ухода и использования животных были соблюдены.
About the authors
E. A. Jirova
Institute of Cell Biophysics of the Russian Academy of Sciences
Email: safronova@icb.psn.ru
Russian Federation, Pushchino, Moscow oblast, 142290
D. A. Serov
Institute of Cell Biophysics of the Russian Academy of Sciences; Prokhorov General Physics Institute of the Russian Academy of Sciences
Email: safronova@icb.psn.ru
Russian Federation, Pushchino, Moscow oblast, 142290; Moscow, 119991
E. V. Fedorova
Institute of Theoretical and Experimental Biophysics, Russian Academy of Sciences
Email: safronova@icb.psn.ru
Russian Federation, Pushchino, Moscow oblast, 142290
V. G. Safronova
Institute of Cell Biophysics of the Russian Academy of Sciences
Author for correspondence.
Email: safronova@icb.psn.ru
Russian Federation, Pushchino, Moscow oblast, 142290
References
- Itou T., Collins L.V., Thoren F.B., Dahlgren C., Karlsson A. 2006. Changes in activation states of murine polymorphonuclear leukocytes (PMN) during inflammation: A comparison of bone marrow and peritoneal exudate PMN. Clin. Vaccine Immunol. 13, 575–583. doi: 10.1128/CVI.13.5.575–583.2006
- Liew P.X., Kubes P. 2019. The neutrophil’s role during health and disease. Physiol. Rev. 99, 1223–1248. doi: 10.1152/physrev.00012.2018
- Rosales C. 2020. Neutrophils at the crossroads of innate and adaptive immunity. J. Leukoc. Biol. 108, 377–396. doi: 10.1002/JLB.4MIR0220–574RR
- Nauseef W.M., Borregaard N. 2014. Neutrophils at work. Nat. Immunol. 15, 602–611. doi: 10.1038/ni.2921
- Hajishengallis G., Moutsopoulos N.M., Hajishengallis E., Chavakis T. 2016. Immune and regulatory functions of neutrophils in inflammatory bone loss. Semin. Immunol. 28, 146–158. doi: 10.1016/j.smim.2016.02.002
- Tan S.-Y., Weninger W. 2017. Neutrophil migration in inflammation: intercellular signal relay and crosstalk. Current Opinion Immunol. 44, 34–42. doi: 10.1016/j.coi.2016.11.002
- Richardson I.M., Calo C.J., Hind L.E. 2021. Microphysiological systems for studying cellular crosstalk during the neutrophil response to infection. Front. Immunol. 27, 12:661537. doi: 10.3389/fimmu.2021.661537
- Root R.K. 1990. Leukocyte adhesion proteins: Their role in neutrophil function. Trans Am. Clin. Climatol. Assoc. 101, 207–224.
- Kolaczkowska E., Kubes P. 2013. Neutrophil recruitment and function in health and inflammation. Nat. Rev. Immunol. 13, 159–175. doi: 10.1038/nri3399
- Nourshargh S., Alon R. 2014. Leukocyte migration into inflamed tissues. Immunity. 41, 694–707. doi.org/10.1016/j.immuni.2014.10.008
- Filippi M.-D. 2019. Neutrophil transendothelial migration: Updates and new perspectives. Blood. 133, 2149–2158. doi: 10.1182/blood-2018–12–844605
- Bouti P., Webbers S.D.S., Fagerholm S.C., Alon R., Moser M., Matlung H.L., Kuijpers T.W. 2021. b2 Integrin signaling cascade in neutrophils: More than a single function. Front. Immunol. 11, 619925. doi: 10.3389/fimmu.2020.619925
- Margraf A., Lowell C.A., Zarbock A. 2022. Neutrophils in acute inflammation: Current concepts and translational implications. Blood. 139, 2130–2144. doi: 10.1182/blood.2021012295
- Ley K., Laudanna C., Cybulsky M.I., Nourshargh S. 2007. Getting to the site of inflammation: The leukocyte adhesion cascade updated. Nat. Rev. Immunol. 7, 678–689. doi: 10.1038/nri2156
- Futosi K., Fodor S., Mócsai A. 2013. Neutrophil cell surface receptors and their intracellular signal transduction pathways. Int. Immunopharmacol. 17, 638–650. doi: 10.1016/j.intimp.2013.06.034
- Qiu D., Zhang L., Zhan J., Yang Q., Xiong H., Hu W., Ji Q., Huang J. 2020. Hyperglycemia decreases epithelial cell proliferation and attenuates neutrophil activi-ty by reducing ICAM-1 and LFA-1 expression levels. Front. Genet. 11, 616988. doi: 10.3389/fgene.2020.616988
- Conley H.E., Sheats M.K. 2023. Targeting neutrophil β2-integrins: A review of relevant resources, tools, and methods. Biomolecules. 13, 892.
- González-Amaro R. 2011. Cell adhesion, inflammation and therapy: Old ideas and a significant step forward. Acta Pharmacol. Sinica. 32, 1431–1432. doi: 10.1038/aps.2011.154
- Ren C., Tong Y.L., Li J.C., Lu Z.Q., Yao Y.M. 2017. The protective effect of alpha 7 nicotinic acetylcholine receptor activation on critical illness and its mechanism. Int. J. Biol. Sci. 13, 46–56. doi: 10.7150/ijbs.16404
- Belchamber K.B.R., Hughes M.J., Spittle D.A., Walker E.M., Sapey E. 2021. New pharmacological tools to target leukocyte trafficking in lung disease. Front. Immunol. 12, 704173. doi: 10.3389/fimmu.2021.704173
- Safronova V.G., Vulfius K.A., Astashev M.E., Tikho-nova I.V., Serov D.A., Jirova E.A., Pershina E.V., Senko D.A., Zhmak M.N., Kasheverov I.E., Tsetlin V.I. 2021. α9α10 nicotinic acetylcholine receptors regulate murine bone marrow granulocyte functions. Immunobiology. 226, 152047. doi: 10.1016/j.imbio.2020.152047
- Fujii T., Mashimo M., Moriwaki Y., Misawa H., Ono S., Horiguchi K., Kawashima K. 2017. Expression and function of the cholinergic system in immune cells. Front. Immunol. 8, 1085. doi: 10.3389/fimmu.2017.01085
- Herman M., Robert Tarran R. 2020. E-cigarettes, ni-cotine, the lung and the brain: Multi-level cascading pathophysiology. J. Physiol. 598, 5063–5071. doi: 10.1113/JP278388
- Shelukhina I., Siniavin A., Kasheverov I., Ojomoko L., Tsetlin V., Utkin Y. 2023. α7- and α9-containing nicotinic acetylcholine receptors in the functioning of immune system and in pain. Int. J. Mol. Sci. 24, 6524. doi: 10.3390/ijms24076524
- Slevin M., Iemma R.S., Zeinolabediny Y., Liu D., Ferris G.R., Caprio V., Phillips N., Di Napoli M., Guo B., Zeng X., Al Baradie R., Binsaleh N.K., McDowell G., Fang W.H. 2018. Acetylcholine inhibits monomeric С-reactive protein induced inflammation, endothelial cell adhesion, and platelet aggregation; A potential therapeutic? Front. Immunol. 9, 2124. doi: 10.3389/fimmu.2018.02124
- Hamano R., Takahashi H.K., Iwagaki H., Yoshino T., Nishibori M., Tanaka N. 2006. Stimulation of alpha7 nicotinic acetylcholine receptor inhibits CD14 and the toll-like receptor 4 expression in human monocytes. Shock. 26, 358–364. doi: 10.1097/01.shk.0000228168.86845.60
- Sato Y., Kosuke Maruyama K., Mikami M., Sato S. 2023. Effects of nicotine and lipopolysaccharide stimulation on adhesion molecules in human gingival endothelial cells. Odontology. 111, 428–438. doi: 10.1007/s10266–022–00753–1
- Scott D.A., Palmer R.M. 2002. The influence of tobacco smoking on adhesion molecule profiles. Tob. Induc. Dis. 1, 7–25. doi: 10.1186/1617–9625–1–1–7
- Li Z.-Z., Guo Z.-Z., Zhang Z., Cao Q.-A., Zhu Y.-J., Yao H.-L., Wu L.-L., Dai Q.-Y. 2015. Nicotine-induced upregulation of VCAM-1, MMP-2, and MMP-9 through the α7-nAChR-JNK pathway in RAW264.7 and MOVAS cells. Mol. Cell. Biochem. 399, 49–58. doi: 10.1007/s11010–014–2231-z
- Yong T., Zheng M.Q., Linthicum D.S. 1997. Nicotine induces leukocyte rolling and adhesion in the cerebral microcirculation of the mouse. J. Neuroimmunol. 80, 158–164. doi: 10.1016/s0165–5728(97)00151–3
- Grando S.A. 2006. Cholinergic control of epidermal cohesion. Exp. Dermatol. 15, 265–282. doi: 10.1111/j.0906–6705.2006.00410.x
- Chernyavsky A.I., Arredondo J., Vetter D.E., Grando S.A. 2007. Central role of alpha9 acetylcholine receptor in coordinating keratinocyte adhesion and motility at the initiation of epithelialization. Exp. Cell. Res. 313, 3542–3555. doi: 10.1016/j.yexcr.2007.07.011
- Chernyavsky A.I., Galitovskiy V., Grando S.A. 2015. Molecular mechanisms of synergy of corneal muscarinic and nicotinic acetylcholine receptors in upregulation of E-cadherin expression. Int. Immunopharmacol. 29, 15–20. doi: 10.1016/j.intimp.2015.04.036
- Mashimo M., Moriwaki Y., Misawa H., Kawashima K., Fujii T. 2021. Regulation of Immune functions by non-neuronal acetylcholine (ACh) via muscarinic and nicotinic ACh receptors. Int. J. Mol. Sci. 22, 6818. doi: 10.3390/ijms22136818
- Safronova V.G., Vulfius C.A., Shelukhina I.V, Mal’tseva V.N., Berezhnov A.V, Fedotova E.I., Miftahova R.G., Kryukova E.V., Grinevich A.A., Tsetlin V.I. 2016. Nicotinic receptor involvement in regulation of functions of mouse neutrophils from inflammatory site. Immunobiology. 221, 761–772. doi: 10.1016/j.imbio.2016.01.016
- Boxio R., Bossenmeyer-Pourie C., Steinckwich N., Dournon C., Nusse O. 2004. Mouse bone marrow contains large numbers of functionally competent neutrophils. J. Leukoc. Biol. 75, 604–611. doi: 10.1189/jlb.0703340
- Filina J.V., Gabdoulkhakova A.G., Safronova V.G. 2014. RhoA/ROCK downregulates FPR2-mediated NADPH oxidase activation in mouse bone marrow granulocytes. Cell. Signal. 26, 2138–2146. doi: 10.1016/j.cellsig.2014.05.017
- Shelukhina I.V., Kryukova E.V., Lips K.S., Tsetlin V.I., Kummer W. 2009. Presence of alpha7 nicotinic acetylcholine receptors on dorsal root ganglion neurons proved using knockout mice and selective alpha-neurotoxins in histochemistry. J. Neurochem. 109, 1087–1095. doi: 10.1111/j.1471–4159.2009.06033.x
- Lykhmus O., Voytenko L.P., Lips K.S., Bergen I., Krasteva-Christ G., Vetter D.E., Kummer W., Skok M. 2017. Nicotinic acetylcholine receptor α9 and α10 subunits are expressed in the brain of mice. Front. Cell. Neurosci. 11, 282. doi: 10.3389/fncel.2017.00282
- Russell M.A., Jarvis M., Iyer R., Feyerabend C. 1980. Relation of nicotine yield of cigarettes to blood nicotine concentrations in smokers. Br. Med. J. 280, 972–976. doi: 10.1136/bmj.280.6219.972
- Benowitz N.L., Hukkanen J., Jacob P. 3rd. 2009. Nicotine chemistry, metabolism, kinetics and biomarkers. Handb. Exp. Pharmacol. 192, 29–60. doi: 10.1007/978–3–540–69248–5_2
- Alama A., Bruzzo C., Cavalieri Z., Forlani A., Utkin Y., Casciano I., Romani M. 2011. Inhibition of the nicotinic acetylcholine receptors by cobra venom α-neurotoxins: Is there a perspective in lung cancer treatment? PLoS One. 6, e20695. doi: 10.1371/journal.pone.0020695
- McIntosh J.M., Dowell C., Watkins M., Garrett J.E., Yoshikami D., Olivera B.M. 2002. Alpha-conotoxin GIC from Conus geographus, a novel peptide antagonist of nicotinic acetylcholine receptors. J. Biol. Chem. 277, 33610–33615. doi: 10.1074/jbc.M205102200
- Chi S.W., Kim D.H., Olivera B.M., McIntosh J.M., Han K.H. 2004. Solution conformation of alpha-conotoxin GIC, a novel potent antagonist of alpha3beta2 nicotinic acetylcholine receptors. Biochem. J. 1, 347–352. doi: 10.1042/BJ20031792
- Sambasivarao S.V., Roberts J., Bharadwaj V.S., Slingsby J.G., Rohleder C., Mallory C., Groome J.R., McDougal O.M., Maupin M.C. 2014. Acetylcholine promotes binding of α-conotoxin MII for α3β2 nicotinic acetylcholine. Chembiochem. 15, 413–424. doi: 10.1002/cbic.201300577
- Kasheverov I., Kudryavtsev D., Shelukhina I., Nikolaev G., Utkin Y., Tsetlin V. 2022. Marine origin ligands of nicotinic receptors: Low molecular compounds, peptides and proteins for fundamental research and practical applications. Biomolecules. 12, 189. doi: 10.3390/biom12020189
- Bouzat C., Sine S.M. 2018. Nicotinic acetylcholine receptors at the single-channel level. Br. J. Pharmacol. 175, 1789–1804. doi: 10.1111/bph.13770
- Corringer P.J., Poitevin F., Prevost M.S., Sauguet L., Delarue M., Changeux J.P. 2012. Structure and pharmacology of pentameric receptor channels: From bacteria to brain. Structure. 20, 941–956. doi: 10.1016/j.str.2012.05.003
- Papke R.L., Lindstrom J.M. 2020. Nicotinic acetylcholine receptors: Conventional and unconventional ligands and signaling. Neuropharmacology. 168, 108021. doi: 10.1016/j.neuropharm.2020.108021
- Stokes C., Treinin M., Papke R.L. 2015. Looking below the surface of nicotinic acetylcholine receptors. Trends Pharmacol. Sci. 36, 514–523. doi: 10.1016/j.tips.2015.05.002
- King J.R., Kabbani N. 2016. Alpha 7 nicotinic receptor coupling to heterotrimeric G proteins modulates RhoA activation, cytoskeletal motility, and structural growth. J. Neurochem. 138, 532–545. doi: 10.1111/jnc.13660
- Oz M., King J.R., Yang K.-H.S., Khushaish S., Tchugunova Y., Khajah M.A., Luqmani Y.A., Kabbani N. 2023. α7 nicotinic acetylcholine receptor interaction with G proteins in breast cancer cell proliferation, motility, and calcium signaling. PLoS One. 18, e0289098. doi: 10.1371/journal.pone.0289098
- Brown E.J., Frazier W.A. 2001. Integrin-associated protein (CD47) and its ligands. Trends Cell. Biol. 11, 130–135. doi: 10.1016/s0962–8924(00)01906–1
- Locht C., Antoine R. 2021. The history of pertussis toxin. Toxins (Basel). 13, 623. doi: 10.3390/toxins13090623
- St-Pierre S., Jiang W., Roy P., Champigny C., Le-Blanc E., Morley B.J., Hao J., Simard A.R. 2016. Nicotinic acetylcholine receptors modulate bone marrow-derived pro-inflammatory monocyte production and survival. PLoS One. 11, e0150230. doi: 10.1371/journal.pone.0150230
- Tracey K.J. 2002. The inflammatory reflex. Nature. 420, 853–859. doi: 10.1038/nature01321
- Pavlov V.A., Chavan S.S., Tracey K.J. 2018.Molecular and functional neuroscience in immunity. Ann. Rev. Immunol. 36, 783–812. doi: 10.1146/annurev-immunol-042617–053158
- Caravaca A.S., Gallina A.L., Tarnawski L., Shavva V.S., Colas R.A., Dalli J., Malin S.G., Hult H., Arnardottir H., Olofsson P.S. 2022. Vagus nerve stimulation promotes resolution of inflammation by a mechanism that involves Alox15 and requires the α7nAChR subunit. Proc. Natl. Acad. Sci. USA. 119, e2023285119. doi: 10.1073/pnas.2023285119
- Grassi L., Pourfarzad F., Ullrich S., Merkel A., Were F., Carrillo-de-Santa-Pau E., Yi G., Hiemstra I.H., Tool A.T.J., Mul E., Perner J., Janssen-Megens E., Berentsen K., Kerstens H., Habibi E., Gut M., Yaspo M.L., Linser M., Lowy E., Datta A., Clarke L., Flicek P., Vingron M., Roos D., van den Berg T.K., Heath S., Rico D., Frontini M., Kostadima M., Gut I., Valencia A., Ouwehand W.H., Stunnenberg H.G., Martens J.H.A., Kuijpers T.W. 2018. Dynamics of transcription regulation in human bone marrow myeloid differentiation to mature blood neutrophils. Cell Reports. 24, 2784–2794. doi: 10.1016/j.celrep.2018.08.018
- Khoyratty T.E., Ai Z., Ballesteros I., Eames H.L., Mathie S., Martín-Salamanca S., Wang L., Hemmings A., Willemsen N., von Werz V., Zehrer A., Walzog B., van Grinsven E., Hidalgo A., Udalova I.A. 2021. Distinct transcription factor networks control neutrophil-driven inflammation. Nat. Immunol. 22, 1093–1106. doi: 10.1038/s41590–021–00968–4
- Evrard M., Kwok I.W.H., Chong S.Z., Teng K.W.W., Becht E., Chen J., Sieow J.L., Penny H.L., Ching G.C., Devi S., Adrover J.M., Li J.L.Y., Liong K.H., Tan L., Poon Z., Foo S., Chua J.W., Su I.-H., Balabanian K., Bachelerie F., Biswas S.K., Larbi A., Hwang W.Y.K., Madan V., Koeffler H.P., Wong S.C., Newell E.W., Hidalgo A., Ginhoux F., Ng L.G. 2019. Developmental analysis of bone marrow neutrophils reveals populations specialized in expansion, trafficking, and effector functions. Blood. 133, 2149–2158. doi: 10.1182/blood-2018–12–844605
- Serov D.A., Tikhonova I.V., Safronova V.G., Astashev M.E. 2021. Calcium activity in response to nAChR ligands in murine bone marrow granulocytes with different Gr-1 expression. Cell Biol. International. 45, 1533–1545. doi: 10.1002/cbin.11593
- Yvan-Charvet L., Ng L.G. 2019. Granulopoiesis and neutrophil homeostasis: A metabolic, daily balancing act. Trends Immunol. 40, 598–612. doi: 10.1016/j.it.2019.05.004
- Cormier A., Paas Y., Zini R., Tillement J.-P., Lagrue G., Changeux J.-P., Grailhe R. 2004. Long-term exposure to nicotine modulates the level and activity of acetylcholine receptors in white blood cells of smokers and model mice. Mol. Pharmacol. 66, 1712–1718. doi: 10.1124/mol.104.000463
- Cesaro L., Pinna L.A., Salvi M. 2015. A comparative analysis and review of lysyl residues affected by posttranslational modifications. Curr. Genomics. 16, 128–138. doi: 10.2174/1389202916666150216221038
- Buccitelli C., Selbach M. 2020. mRNAs, proteins and the emerging principles of gene expression control. Nat. Rev. Genet. 21, 630–644. doi: 10.1038/s41576–020–0258–4
Supplementary files








