Field investigations of the geometric features of wind wave breaking
- Authors: Korinenko А.Е.1, Malinovsky V.V.1
-
Affiliations:
- Marine Hydrophysical Institute, Russian Academy of Sciences
- Issue: Vol 39, No 6 (2023)
- Pages: 814-830
- Section: Experimental and field research
- URL: https://journal-vniispk.ru/0233-7584/article/view/254463
- EDN: https://elibrary.ru/WBNQUS
- ID: 254463
Cite item
Full Text
Abstract
Purpose. The paper is purposed at studying temporal variability of the geometric dimensions of wind wave breaking under natural conditions, and at assessing the fraction of the sea surface covered with foam using the distribution of the breaking wave crest lengths.
Methods and Results. Field studies of the wave breaking characteristics were carried out from the stationary oceanographic platform located at 500 m off the Katsiveli coast (Black Sea hydrophysical subsatellite polygon). The geometric dimensions of wave breaking in the active phase and the velocity of wave movement were determined using the video records of sea surface. Processing of video frame sequences has resulted in formation of the array of crest lengths, and the array of widths and areas of the varying in time foam structures. Meteorological information was obtained simultaneously with video records.
Conclusions. The connection independent of wind and wave conditions was established experimentally between the wave breaking geometric dimensions and the breaking wave length: the average width of breaking is proportional to the length of a breaking wave, the average area – to the squared length of a carrier wave. The values of these ratios are 0.03 and 0.002, respectively, that confirms the geometric similarity of wave breaking. It is shown that the length and width of an individual wave breaking increase at a constant rate, the value of which is conditioned by the scale of a breaking wave. The geometric characteristics of wave breaking normalized to the length of a breaking wave are linearly dependent on dimensionless time and independent of the scales and velocities of breaking waves. To calculate the fraction of sea surface covered with foam, the distributions of the wave breaking lengths were used. The field data values are shown to be adequately corresponding to the calculations by the model proposed by O. M. Phillips.
Full Text
Введение
Обрушение волн на морской поверхности представляет собой сложное гидродинамическое явление. За время эволюции пенная структура проходит целую гамму промежуточных состояний – от вскипающего буруна до распадающегося эмульсионного слоя. Согласно [1, 2], на оптических изображениях морской поверхности можно достаточно уверенно идентифицировать два класса пенных образований – гребни (барашки, активная фаза) и пятнистые структуры (остаточная пена, пассивная фаза,).
Исследование различных свойств пенных структур позволяет провести определенные упрощения в численных моделях или сделать выводы о возможных причинах тех или иных физических процессов. Например, в явлениях газообмена и собственного микроволнового излучения морской поверхности наиболее важна пассивная фаза [3]. Детальное описание статистических и геометрических характеристик пенных структур в активной фазе необходимо для расчета диссипации волновой энергии гравитационных волн при их обрушении [4, 5], развития дистанционных методов исследований морской поверхности [3, 6, 7].
В данной работе, основанной на оптической регистрации морской поверхности, акцент сделан на исследовании эволюции размеров барашка.
В одной из первых лабораторных работ [4], посвященной изучению кинематических характеристик квазистационарных обрушений, получено, что данный тип обрушений геометрически подобен. В [4] установлена линейная связь геометрических размеров обрушения с длиной обрушивающейся волны . Исследования этой работы показали, что скорость диссипации энергии волны в результате обрушения пропорциональна пятой степени скорости барашка и зависит от его геометрии. Эксперименты в условиях открытого моря [8, 9] подтвердили, что барашки геометрически подобны. Отношение средней длины гребня L барашка к длине обрушивающейся волны и отношение времени жизни барашка к периоду несущей волны не зависят от гидрометеорологических условий наблюдения и масштабов обрушения. В работах [10, 11] выполнен анализ геометрических размеров единичных пенных структур и показано, что барашки обладают устойчивой геометрической эллипсоидальной формой с эксцентриситетом, равным 0,98 [11], практически не зависящим от ветровых условий.
Однако при использовании средних характеристик барашков, полученных в натурных условиях, затруднена прямая оценка константы, связывающей диссипацию волновой энергии с распределением длин обрушений [4].
В работе [12] предложена модель расчета диссипации волновой энергии за счет обрушения, в которой используется временная эволюция площади пенной структуры. Информация об изменении геометрических характеристик обрушений во времени требуется для развития моделей небрегговской компоненты радиолокационного рассеяния [13, 14].
Несмотря на очевидную необходимость исследований эволюции размеров индивидуальных барашков, их изменчивости при различных гидрометеорологических параметрах, работ в этой области недостаточно.
Целью работы является изучение связи параметров обрушивающейся волны с меняющимися во времени геометрическими характеристиками барашков для развития волновых моделей и совершенствования дистанционных методов диагностики морской среды.
Эксперимент
В настоящей работе использовалась база архивных данных, полученных в осенние периоды в 2015, 2018, и 2019 гг. при проведении натурных экспериментов на стационарной океанографической платформе в Голубом заливе в районе пгт Кацивели (Черноморский гидрофизический подспутниковый полигон, Южный берег Крыма). Платформа установлена примерно в 500 м от берега.
Процесс регистрация обрушений ветровых волн с помощью видеокамеры описан в [8]. Используемая видеокамера с объективом, обеспечивающим углы обзора по горизонтали 54° и по вертикали 32°, производила запись с частотой 25 кадров в секунду и разрешением 1920 ´ 1080 пикселей. Камера устанавливалась на палубе платформы на высоте 11,4 м над уровнем моря с направлением визирования 30°–40° к горизонту и 50°–60° к направлению «на ветер».
Измерения скорости и направления ветра проводились комплексом Davis 6152EU, в состав которого входят измеритель указанных параметров, датчик температуры воздуха и датчик температура воды, установленный на глубине 3 м. На высоте 23 м над уровнем моря на мачте океанографической платформы располагался анемометр, данные с которого пересчитывались в эффективную нейтрально стратифицированную скорость ветра U на высоте 10 м по методике [15].
Натурные данные были получены при нейтральной стратификации атмосферы и скоростях ветра 8–21 м/с.
Методика обработки данных. Для определения различных характеристик активной фазы обрушения использовалась методика [16]. Перечислим основные стадии обработки, необходимые в настоящей работе. Алгоритм идентификации обрушений по видеозаписям морской поверхности основан на сопоставлении гауссового распределения яркости в пределах видеокадра при отсутствии обрушений и реального распределения с учетом пенных структур. Наличие обрушений существенно искажает форму гауссового распределения и увеличивает относительно при яркости, превышающей пороговое значение . При участок морской поверхности в видеокадре рассматривается как пенная структура [16].
Дальнейшая обработка данных состоит в выделение активной фазы обрушений и игнорировании растекшейся пены, оставшейся после прохождения барашка. На данном этапе используются кинематические свойства обрушений в различных фазах. При анализе кинематических характеристик обрушения принимается, что барашек в активной фазе движется с постоянной скоростью и достигает максимальных значений площади в момент времени (см., напр., [16–18]).
На заключительном этапе обработки данных с учетом геометрии наблюдений кадр изображения привязывался к координатам на горизонтальной плоскости, расположенной на среднем уровне моря. В зависимости от геометрии съемки пространственное разрешение составляло ~1 … ~2,5 см. В каждом кадре определялись размеры каждого барашка: длина L и ширина l гребня, занимаемая площадь S, координаты геометрического центра (xc, yc) белого барашка. Для определения L и l находились координаты внешней границы барашка. Длина L рассчитывалась как максимальное расстояние между точками полученного контура. Ширина гребня l определялась как отрезок, перпендикулярный L, проходящий через геометрический центр барашка.
Для каждого индивидуального обрушения за время его жизни в активной фазе формировалась группа последовательных видеокадров с интервалом времени между ними с, при этом для первого кадра в выделенной группе время задавалось как . Это позволило исследовать закономерности временной эволюции характеристик индивидуальных обрушений.
Пример определения основных геометрических размеров обрушения показан на рис. 1. Модуль скорости обрушений определялся как , а направление движения как , где и – компоненты скорости.
Рис. 1. Фрагмент изображения, привязанного к координатам на горизонтальной плоскости (L – длина барашка, l – его ширина)
Fig. 1. Fragment of the image linked to the coordinates on the horizontal plane (L is the wave breaking length, l is its width)
В настоящей работе в соответствии с [5] принимается, что скорость обрушений равна фазовой скорости обрушивающейся волны. Тогда с учетом дисперсионного отношения длину обрушивающейся волны можно определить как , где ускорение свободного падения.
Некоторые элементы процедуры обработки данных показаны на рис. 2 и рис. 3. На рис. 2 иллюстрируется серия из 6 снимков морской поверхности, на которых можно проследить за основными этапами эволюции отдельного пенного образования (выделено пунктирной линией). Красным цветом показаны участки морской поверхности, которые алгоритм [16] идентифицирует как активную фазу обрушения, желтым цветом отмечена остаточная пена. На начальном этапе эволюции пенной структуры барашек жестко связан с обрушивающейся волной и потому движется с ее фазовой скоростью [5]. Как видно из рис. 2, a – d, пенная область значительно увеличивается в размерах и удаляется от начального участка морской поверхности, где она была сформирована.
Со временем от движущейся как единое целое пенной структуры начинают отделяться пятна остаточной пены. На этом этапе пенная область имеет смешанный вид, т. е. заканчивающуюся активную фазу и формирующуюся остаточную пену (рис. 2, d). Здесь активная фаза и остаточная пена неразличимы на изображениях видимого диапазона. Затем наблюдается спад площади пенной зоны и пассивная фаза приобретает явно выраженную разрозненную пятнистую структуру. На последних двух кадрах рис. 2, e, f отчетливо видна структура остаточной пены, которая расположена вблизи нижней границы изображения.
Рис. 2. Эволюция пенной структуры: a – момент зарождения барашка; b – d – движение и рост размеров пенной структуры; e, f – пятно растекшейся пены после исчезновения барашка. Зеленой точкой отмечен участок на морской поверхности, где впервые был идентифицирован барашек
Fig. 2. Evolution of foam structure: a – the moment of wave breaking formation;
b – d – the movement and growth of foam structure dimensions; e, f – the spot of spreading foam after a wave breaking disappears. Green dot marks the sea surface area where a wave breaking was first identified
На рис. 3 демонстрируется характерный временной цикл площади, длины гребня и координат геометрического центра обрушения. Вертикальные прямые линии последовательно соответствуют кадрам, приведенным на рис. 2. Как следует из рис. 3, а, на начальном этапе площадь пенной области увеличивается и в момент начинает уменьшаться, что указывает на окончание активной фазы, и при преимущественный вклад в формирование пенной структуры начинает вносить остаточная пена.
Рис. 3. Эволюция геометрических размеров обрушения (выделенного пунктирной линией на рис. 2): a – площади; b – длины гребня; c – координат геометрического центра барашка и . Красным цветом показана активная фаза обрушения
Fig. 3. Evolution of wave breaking geometric dimensions (highlighted by a dotted line in Fig. 2): a– area; b – crest length; c – coordinates of geometric center of wave breaking and . Active phase of wave breaking is shown in red
Отличие динамики остаточной пены от активной фазы также можно увидеть по временной эволюции положения координат центроида на рис. 3, c. Барашек движется с постоянной скоростью (красные символы (+) и (○) для и соответственно), в то время как движение геометрического центра остаточной пены начинает принимать колебательный характер, отражая орбитальные движения доминантных волн. Таким образом, определение активной фазы обрушения основывалось на постоянстве модуля скорости геометрического центра и росте площади барашка. После достижения максимальной площади обрушения полагаем, что пенная структура переходит из активной фазы в пассивную.
Дополнительная информация об алгоритме и расчете различных характеристик обрушений ветровых волн приведена в [8, 16]. В данной работе рассматривались только те барашки, которые возникли и распались внутри наблюдаемой области.
Результаты и анализ данных
Связь геометрических размеров обрушений с параметрами обрушивающихся волн. Полученная база данных, которая содержит информацию о размерах обрушения, масштабах обрушивающейся волны, позволяет связать средние размеры барашка с .
Рассмотрим зависимость малой оси барашка и его площади от . Диапазон длин обрушивающихся волн 3,7–18,7 м разбивался на 5 интервалов с шагом = 3 м. В каждом из диапазонов определялось среднее значение и , а значение длины обрушивающейся волны соответствовало середине интервала .
На рис. 4 демонстрируется зависимость и от . Здесь линии соответствуют зависимостям и , где коэффициенты получены методом наименьших квадратов. Вертикальными отрезками показаны среднеквадратические отклонения и для величин и , находящихся в соответствующем интервале (.
Рис. 4. Зависимость малой оси (a) и площади (b) барашка в активной фазе от длины обрушивающейся волны
Fig. 4. Dependence of the minor axis (a) and the area (b) of a wave breaking in the active phase upon the breaking wave length
Полученные выражения, связывающие средние значения ширины и площадей обрушений с длиной обрушивающейся волны, представляют несомненный интерес, поскольку из их зависимостей следует и . Учитывая, что в активной фазе отношения [8] и [9] также являются постоянными, не зависящими от гидрометеорологических условий наблюдения и масштабов обрушения, можно говорить об автомодельности линейных размеров обрушений, их площадей и времени жизни.
Оценка скорости роста геометрических размеров барашка. При анализе экспериментальных данных об обрушениях в основном оцениваются их максимальные и средние длины, площади, время жизни. Остается практически неизученной временная изменчивость геометрических размеров L, l, S индивидуальных барашков. В то же время вид зависимостей , и может представлять несомненный интерес в задачах изучения волновой динамики и развития радиолокационных моделей рассеяния [12–14].
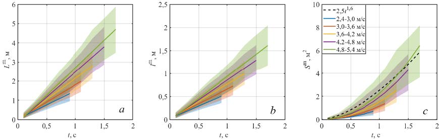
Ниже рассматривается эволюция геометрических размеров пенной области в активной фазе. Разобьем диапазон скоростей движения барашка (2,4–5,4 м/с) на 5 интервалов с шагом ∆c = 0,6 м/с и найдем среднее значение , и в каждом рассматриваемом диапазоне скоростей. Отметим, что момент t определялся относительно начала формирования каждого обрушения и для фиксированного t значения длин и площадей всех барашков усреднялись в заданном интервале скоростей.
Временная эволюция кинематических характеристик барашка , и для каждого из выбранных диапазонов скоростей представлена на рис. 5. Для лучшей визуализации интервалы изменения значений длин и площадей обрушений для каждого диапазона показаны цветными областями. Верхние и нижние границы областей определены как , и , где , , – среднеквадратические отклонения случайных значений длин и площадей обрушений в момент . Зависимости и от времени на рис. 5, a, b близки к линейным, в то время как близка к степенной. Из рис. 5 следует, что чем больше скорость обрушивающейся волны и, следовательно, ее масштаб, тем быстрее увеличиваются геометрические размеры барашка.
Рис. 5. Временная зависимость геометрических размеров барашка: a – длины вдоль гребня; b – ширины; c – площади (сплошные цветные линии – параметризации , и ; цветом показан диапазон скоростей )
Fig. 5. Temporal dependence of the wave breaking geometric dimensions: a – the along crest length; b – the width; c – the area (solid colored lines denote the parameterizations , and ; the velocity range ) is shown in color
Аппроксимируем изменение длины и ширины обрушения линейными зависимостями
(1)
где коэффициенты получены методом наименьших квадратов и обозначают скорости роста длины и ширины барашка в активной фазе.
Отдельного обсуждения заслуживает временная изменчивость . Для всех интервалов зависимость площадей обрушений от хорошо описывается степенной функцией , где q изменяется от минимального значения 1,4 до максимального 1,6 в первом и пятом диапазоне скоростей обрушений соответственно. На рис. 5, c для примера штриховой линией показана аппроксимация , полученная для (4,8–5,4 м/с).
В то же время можно было бы ожидать, что площадь фигуры, описывающей обрушение, определяется произведением осей (уравнение (1)). В этом случае изменение площади барашка во времени должно иметь квадратическую зависимость . В ряде исследований при определении характеристик обрушений по оптическим изображениям границы барашков аппроксимируются эллипсом [10, 11, 19, 20]. Если принять, что форма пенной структуры в активной фазе близка к эллипсу, тогда, согласно уравнению (1), площадь единичного обрушения запишется как
, (2)
где .
Отличие полученных нами значений степени q от 2 во временных зависимостях требует отдельного обсуждения. С нашей точки зрения такое отличие степеней может быть связано с тем, что момент окончания активной фазы обрушения определяется при (рис. 3, а), когда значение площади барашка достигает максимума. В то же время в интервале появляется смешанная фаза, в этот промежуток времени от барашка начинает отделяться остаточная пена (рис. 2, d). В результате скорость роста площади обрушения уменьшается и при становится равной нулю, . Заниженные значения степеней q в нашем случае вызваны тем, что зависимости аппроксимировались во всем интервале активной фазы обрушения , включая область окрестности максимума площади, где скорость ее изменения существенно меньше и достигает нулевого значения.
Анализ полученных нами данных показывает, что при отсутствии смешанной фазы в интервале изменение площади обрушения во времени удовлетворительно описывается квадратической зависимостью (1). Изучение временной изменчивости параметров барашка в переходной фазе требует более подробных дополнительных исследований и выходит за рамки данной работы.
Временную зависимость площади барашка будем описывать здесь выражением (2). На рис. 5, c сплошными линиями показаны функции для выбранных диапазонов скоростей.
Зависимость полученных коэффициентов и от средней скорости обрушения в интервалах демонстрируется на рис. 6, где вертикальные отрезки соответствуют значениям среднеквадратических отклонений . Линиями показаны рассчитанные методом наименьших квадратов зависимости
Рис. 6. Зависимости (a) и (b) от скорости обрушивающейся волны
Fig. 6. Dependences (a) and (b) on the breaking wave velocity
Зависимость полученных коэффициентов и от средней скорости обрушения в интервалах демонстрируется на рис. 6, где вертикальные отрезки соответствуют значениям среднеквадратических отклонений . Линиями показаны рассчитанные методом наименьших квадратов зависимости
С учетом полученных функциональных зависимостей коэффициентов , выражения (1) и (2) запишутся в следующем виде:
(3а)
(3б)
Как показал анализ натурных данных, линейные размеры барашка увеличиваются с постоянной скоростью, значение которой определяется масштабом обрушивающейся волны. В то же время площадь барашка увеличивается со временем по квадратическому закону, а скорость роста S пропорциональна c2.
Введем безразмерные величины . Тогда выражения (3а) и (3б), учитывая очевидное соотношение , можно записать как
(4а)
(4б)
Из выражений (4) следует, что эволюция безразмерных геометрических размеров барашка в активной фазе не зависит от масштабов обрушивающихся волн.
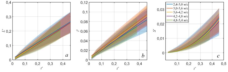
Интерес представляет верификация последнего утверждения. Действительно, полуэмпирические зависимости (4) получены для всех значений c. Рассмотрим, насколько существенными окажутся отличия функций в формулах (4) при различных скоростях движения обрушений. На рис. 7 показаны изменения по безразмерной длины, ширины гребня и безразмерной площади барашков, лежащих в вышеуказанных интервалах . Сплошными линиями на рис. 7, a – c демонстрируются зависимости соответственно, где значения коэффициентов получены методом наименьших квадратов. Цвет линий соответствует диапазону скоростей (см. легенду). Цветными участками на рис. 7 показаны области, в которых находятся значения соответственно.
Как следует из рис. 7, a, b, данные и группируются в зависимости, близкие к линейным, с наклонами ~ 0,6 и ~ 0,2 соответственно для всех значений скорости обрушивающейся волны, что согласуется с коэффициентами в формуле (4а). Зависимости площадей обрушений от безразмерного времени для выбранных c, показанные на рис. 7, c, также близки и группируются вокруг , что совпадает с выражением (4б).
Рис. 7. Зависимость безразмерных длины (a), ширины (b) и площади (c) от безразмерного времени. Сплошные линии соответствуют зависимостям, полученным в интервалах скоростей, указанных в легенде
Fig. 7. Dependence of the dimensionless length (a), width (b) and area (c) on the dimensionless time. Solid lines correspond to the dependences obtained in the velocity intervals indicated in the legend
Доля морской поверхности, покрытая пеной, как функция распределения длин обрушений. Доля морской поверхности, покрытая пеной обрушивающихся волн, W – один из основных индикаторов динамических процессов взаимодействия атмосферы и океана. В качестве статистической меры обрушений волн в работе [5] предложено использовать распределение длин гребней обрушивающихся волн . Интеграл равен полной длине обрушивающихся гребней на единице площади морской поверхности. Согласно [5], в момент генерации барашка возникает пенная область, формируемая движущимся фронтом обрушения и сохраняющаяся в течение всего времени жизни ; в этом случае общая доля морской поверхности, покрытая пеной, записывается как
(5)
С другой стороны, при проведении натурных исследований регистрируется площадь обрушения S. При движении, увеличиваясь в размере, барашек не оставляет за собой видимых пузырьков и, как следует из рис. 2, a – d, поверхность позади обрушения за время активной фазы свободна от остаточной пены. Тогда следует ожидать, что измеряемая в нашем эксперименте доля морской поверхности WE занятая барашками, будет меньше W, рассчитываемой по уравнению (5). Запишем это уравнение для доли морской поверхности, покрытой пеной, в активной фазе в виде
(6)
где ca – коэффициент, обозначающий, что площадь пенной области в активной фазе меньше общей запенённости морской поверхности ( для активной фазы). Обоснование расчета WA по выражению (6) представлено в Приложении. В работах [7, 13] при расчете небрегговской компоненты рассеяния использовалось выражение, аналогичное формуле (6); коэффициент ca в этих работах оценивался по соответствию модельных расчетов небрегговской компоненты рассеяния натурным данным.
Сопоставим значения WE, измеренные в эксперименте, и WA, рассчитанные по формуле (6) на основе одной и той же базы данных. Значения WE определялись как средняя площадь регистрируемых обрушений на единице морской поверхности, что является традиционным методом, применяемым в многочисленных экспериментальных исследованиях:
Где A – площадь обзора морской поверхности; Nfr – количество видеокадров. Длительность видеозаписей, по которым рассчитывались WE, изменялась в диапазоне 20–30 мин.
Расчет значений WA с использованием натурных данных выполнялся следующим образом. Одномерное распределение по результатам наших измерений оценивалось как , где – интервал скорости, в нашем случае равный 0,5 м/с; Lk – длина k-го гребня обрушивающейся волны, движущейся со скоростью ck в интервале .
Согласно [9, 21], , где – коэффициент пропорциональности; – период обрушивающейся волны. Учитывая вышесказанное, выражение (6) для WA запишем в следующем виде:
(7)
Рис. 8. Доля морской поверхности, покрытая пеной обрушивающихся волн, по сравнению с (сплошная линия – аппроксимация данных линейной зависимостью; штриховые линии – 95%-ные доверительные интервалы)
Fig. 8. Fraction of the sea surface covered with foam of breaking waves as compared to (solid line is the data approximation by linear dependence, dashed ones are the 95 % confidence intervals)
Оценим значение коэффициента ca. На рис. 8 приведено сопоставление и , где в соответствии с [9] ; сплошной линией показана зависимость , где значение получено методом наименьших квадратов.
Таким образом, в моделях при расчете доли морской поверхности, покрытой обрушениями в активной фазе, можно использовать выражение (5) с учетом поправочного коэффициента ca.
Заключение
В работе представлены результаты натурных исследований закономерностей временной эволюции геометрических характеристик обрушений гравитационных волн. Определение размеров обрушений в активной фазе и скоростей их движения осуществлялось по видеозаписям морской поверхности.
Экспериментально показано, что средние значения ширины барашка связаны линейно с длиной обрушивающейся волны , а средние площади обрушений пропорциональны квадрату длины обрушивающейся волны . Найденные соотношения дополняют результаты, полученные ранее авторами ( и ). На основании экспериментально полученных отношений для длин гребней, малых осей, площадей и времени жизни в активной фазе обрушений, являющихся константами, сделан вывод о геометрическом и кинематическом подобии обрушений.
Экспериментально показано, что геометрические размеры индивидуального барашка (длина и ширина) растут с постоянными скоростями, значения которых определяются c: , . Установлена квадратическая зависимость роста площади единичного обрушения от времени, а значение старшего коэффициента определяется как .
Значения длин гребней и ширины обрушений, нормированные на длину обрушивающейся волны, линейно зависят от безразмерного времени , практически совпадают и группируются вокруг универсальных зависимостей и . Зависимости от нормированных на площадей также близки и группируются вокруг . Полученные результаты позволяют говорить о независимости безразмерных геометрических характеристиках обрушений от масштабов и скоростей обрушивающихся волн.
Выполнены расчеты доли морской поверхности, покрытой пеной обрушивающихся волн, как традиционным способом (рассчитывалась средняя площадь регистрируемых обрушений на единице морской поверхности), так и с использованием статистики распределения длин гребней обрушений.
Сопоставление WE со значениями W, рассчитанными по выражению (7), показало линейную зависимость , где . Таким образом, в разрабатываемых моделях описания морской поверхности можно использовать выражение для W, предложенное О. М. Филлипсом, . С учетом полученных в настоящей работе экспериментальных оценок параметров и предложено объяснение значения коэффициента ca.
Приложение
Для оценки модельных значений доли морской поверхности, покрытой обрушениями в активной фазе, используем концепцию Λ(с)-функции, предложенную в [5]. Перейдем в систему координат с началом в центре пенной структуры. Изменение площади единичного барашка за время dt запишем как
. (A1)
где – приращения размеров обрушения. Учитывая, что, согласно выражениям (1) и (2), , и интегрируя уравнение (A1) по времени жизни обрушения, получим выражение для максимальной площади барашка
, (A2)
где – максимальная длина гребня обрушения. Поскольку, как показано выше, L(t) увеличивается линейно от 0 до , средняя длина гребня равна . Согласно данным рис. 5, c, S(t) описывается квадратической зависимостью от времени, и в результате отношение максимальной площади к ее среднему значению составит . Используя приведенные здесь соотношения для длин и площадей обрушения, выражение (A2) перепишем для средней площади единичного барашка:
. (А3)
Суммируя выражения (А3) по всем обрушениям, наблюдаемым на площади A, получим
. (А4)
Учитывая, что полная длина обрушений на единице поверхности составляет , а левая часть в выражении (А4) является долей морской поверхности WA, покрытой активной фазой обрушивающихся волн, перепишем выражение (А4) в следующем виде:
(A5)
Основное отличие формулы (А5) от уравнения (5) состоит в том, что в подынтегральном выражении (А5) сомножителем является не скорость движения барашка, а скорость роста его малой оси . Согласно результатам, представленным выше, . Тогда
,
где . Выражение в точности совпадает с формулой (7), при этом значения и близки.
About the authors
А. Е. Korinenko
Marine Hydrophysical Institute, Russian Academy of Sciences
Author for correspondence.
Email: korinenko.alex@mhi-ras.ru
ORCID iD: 0000-0001-7452-8703
SPIN-code: 7288-8023
Scopus Author ID: 23492523000
научный сотрудник, отдел дистанционных методов исследований, кандидат физико-математических наук
Russian Federation, SevastopolV. V. Malinovsky
Marine Hydrophysical Institute, Russian Academy of Sciences
Email: vladimir.malinovsky@mhi-ras.ru
ORCID iD: 0000-0002-5799-454X
SPIN-code: 9206-3020
Scopus Author ID: 23012976200
ResearcherId: F-8709-2014
старший научный сотрудник, отдел дистанционных методов исследований, лаборатория прикладной физики моря, кандидат физико-математических наук
Russian Federation, SevastopolReferences
- Бондур В. Г., Шарков Е. А. Статистические характеристики пенных образований на взволнованной морской поверхности // Океанология. 1982. Т. 22, № 3. С. 372–378. EDN TRTLBH.
- Monahan E. C., Woolf D. K. Comments on "Variations of whitecap coverage with wind stress and water temperature" // Journal of Physical Oceanography. 1989. Vol. 19, iss. 5. P. 706–709. doi: 10.1175/1520-0485(1989)019<0706:COOWCW>2.0.CO;2
- Шарков Е. А. Обрушающиеся морские волны: структура, геометрия, электродинамика. Москва : Научный мир, 2009. 303 c. EDN QKILDL.
- Duncan J. H. An experimental investigation of breaking waves produced by a towed hydrofoil // Proceedings of the Royal Society A: Mathematical, Physical and Engineering Sciences. 1981. Vol. 377, iss. 1770. P. 331–348. doi: 10.1098/rspa.1981.0127
- Phillips O. M. Spectral and statistical properties of the equilibrium range in wind-generated gravity waves // Journal of Fluid Mechanics. 1985. Vol. 156. P. 505–531. doi: 10.1017/S0022112085002221
- Phillips O. M. Radar returns from the sea surface–bragg scattering and breaking waves // Journal of Physical Oceanography. 1988. Vol. 18, iss. 8. P. 1065–1074. doi: 10.1175/1520-0485(1988)018<1065:RRFTSS>2.0.CO;2
- A semiempirical model of the normalized radar cross-section of the sea surface. 1. Background model / V. N. Kudryavtsev [et al.] // Journal of Geophysical Research: Oceans. 2003. Vol. 108, iss. C3. 8054. doi: 10.1029/2001JC001003
- Статистические характеристики обрушений и их связь с диссипацией энергии ветровых волн по данным натурных измерений / A. E. Кориненко [и др.] // Морской гидрофизический журнал. 2020. Т. 36, № 5. С. 514–531. doi: 10.22449/0233-7584-2020-5-514-531
- Estimation of the “whitecap” lifetime of breaking wave / A. E. Korinenko [et al.] // Fundamental and Applied Hydrophysics. 2022. Vol. 15, iss. 1. P. 61–72. doi: 10.48612/fpg/5g5t-4mzd-94ab
- Шарков Е. А. Экспериментальные исследования времени жизни дисперсной фазы обрушивающейся гравитационной волны // Известия Академии наук. Физика атмосферы и океана. 1994. T. 30, № 6. C. 844–847.
- Бондур В. Г., Шарков Е. А. Статистические характеристики элементов линейной геометрии пенных структур на поверхности моря по данным оптического зондирования // Исследование Земли из космоса. 1986. № 4. С. 21–31. EDN TOYRTB.
- Callaghan A. H., Deane G. B., Stokes M. D. Laboratory air-entraining breaking waves: Imaging visible foam signatures to estimate energy dissipation // Geophysical Research Letters. 2016. Vol. 43, iss. 21. P. 11320–11328. doi: 10.1002/2016GL071226
- Ka-band radar cross-section of breaking wind waves / Y. Y. Yurovsky [et al.] // Remote Sensing. 2021. Vol. 13, iss. 10. 1929. doi: 10.3390/rs13101929
- On Doppler shifts of breaking waves / Y. Y. Yurovsky [et al.] // Remote Sensing. 2023. Vol. 15, iss. 7. 1824. doi: 10.3390/rs15071824
- Bulk parameterization of air–sea fluxes: updates and verification for the COARE algorithm / C. W. Fairall [et al.] // Journal of Climate. 2003. Vol. 16, iss. 4. P. 571–591. doi: 10.1175/1520-0442(2003)016<0571:BPOASF>2.0.CO;2
- Mironov A. S., Dulov V. A. Detection of wave breaking using sea surface video records // Measurement Science and Technology. 2008. Vol. 19, iss. 1. 015405. doi: 10.1088/0957-0233/19/1/015405
- Kleiss J. M., Melville W. K. Observations of Wave Breaking Kinematics in Fetch-Limited Seas // Journal of Physical Oceanography. 2010. Vol. 40, iss. 12. P. 2575–2604. doi: 10.1175/2010JPO4383.1
- Kleiss J. M., Melville W. K. The analysis of sea surface imagery for whitecap kinematics // Journal of Atmospheric and Oceanic Technology. 2011. Vol. 28, iss. 2. P. 219–243. doi: 10.1175/2010JTECHO744.1
- Gemmrich J. R., Banner M. L., Garrett C. Spectrally resolved energy dissipation rate and momentum flux of breaking waves // Journal of Physical Oceanography. 2008. Vol. 38, iss. 6. P. 1296–1312. doi: 10.1175/2007JPO3762.1
- Schwendeman M. S., Thomson J. Sharp-crested breaking surface waves observed from a ship-based stereo video system // Journal of Physical Oceanography. 2017. Vol. 47, iss 4. P. 775–792. doi: 10.1175/JPO-D-16-0187.1
- Phillips O. M., Posner F. L., Hansen J. P. High range resolution radar measurements of the speed distribution of breaking events in wind-generated ocean waves: surface impulse and wave energy dissipation rates // Journal of Physical Oceanography. 2001. Vol. 31, iss. 2. P. 450–460. doi: 10.1175/1520-0485(2001)031<0450:HRRRMO>2.0.CO;2
Supplementary files










