Generation of Vertical Fine Structure by Internal Waves on a Shear Flow
- 作者: Slepyshev A.A.1, Ankudinov N.O.1
- 
							隶属关系: 
							- Marine Hydrophysical Institute, Russian Academy of Sciences
 
- 期: 卷 40, 编号 2 (2024)
- 页面: 180-197
- 栏目: Thermohydrodynamics of the ocean and the atmosphere
- URL: https://journal-vniispk.ru/0233-7584/article/view/255605
- EDN: https://elibrary.ru/HTYLSO
- ID: 255605
如何引用文章
全文:
详细
Purpose. The work is purposed at studying the wave mechanism of fine structure generation as well as at determining the vertical wave fluxes of mass.
Methods and Results. In contrast to the previously used mechanism of forming a fine structure by internal waves due to breaking, a new approach based on determining the vertical wave fluxes of mass in the field of an inertia-gravity internal wave without breaking is proposed. The inertia-gravity internal waves on the Black Sea northwestern shelf are considered on a current with a vertical velocity shift. The flow is assumed to be geostrophically balanced, with the vertical velocity shifts compensated by a horizontal density gradient. The f-plane approximation is used. Thus, the classical scheme for describing a wave field by the hydrodynamic equations is applicable with the regard for the nonlinear effects. A weakly nonlinear approach is used. In the linear approximation, the eigenfunction and the dispersion relation are found by solving numerically the boundary value problem which determines the vertical structure of a mode in the presence of an average flow. In this case, the wave frequency is of a complex character since the coefficients in the differential equation of the specified boundary value problem are complex. Depending on the wave period and the mode number, either weak attenuation of a wave or its weak amplification is possible. The eigenfunction of internal waves is also complex. Therefore, the vertical wave fluxes of mass and the vertical component of the Stokes drift velocity are nonzero and lead to the generation of vertical fine structure which is irreversible.
Conclusions. In the presence of a two-dimensional shear flow, taking into account the horizontal inhomogeneity of the average density field enhances the effect of generation of a vertical fine structure by the inertia-gravity internal waves. The vertical wave fluxes of mass also increase. The indicated fluxes and the generated fine structure for the waves of different frequencies are close, and the effect is enhanced in the presence of the waves of different frequencies.
全文:
Введение
Тонкая структура в жидкой среде – весьма интересный объект, который изучается как теоретически, так и экспериментально в лабораторных экспериментах. При движении твердых тел в жидкости возникают структуры, которые поддаются детальному экспериментальному изучению и теоретическому анализу [1, 2]. При падении жидкой капли на жидкость появляются не менее интересные структуры [3], которые могут объяснять процессы в приповерхностном слое моря при выпадении осадков.
Тонкая структура гидрофизических полей была открыта почти полвека назад благодаря созданию высокоразрешающей зондирующей аппаратуры. Действительно, до ее открытия никто и не предполагал, что вертикальные профили температуры, солености на малых пространственных масштабах очень изменчивы. Эта изменчивость, как первоначально предполагалось 1 [4], обусловлена мелкомасштабной турбулентностью – тоже до конца не понятым объектом. Но потом оказалось, что не только турбулентность ответственна за генерацию тонкой структуры, кинематический эффект внутренних волн тоже давал в измерениях тонкую структуру [5, 6]. Но это была не долгоживущая структура, так как после прохождения волнового пакета кинематический эффект исчезал.
Двойная диффузия давала механизм вертикального расслоения профилей температуры и солености океана 2 [7–10]. Если температура и соленость уменьшаются с глубиной, возможно формирование конвективных ячеек в виде солевых пальцев [11–14], которые по градиентам характеристик заметно отличаются от окружающих слоев жидкости, т. е. возникает структура с чередованием тонких стратифицированных прослоек и квазиоднородных слоев. Это и есть тонкая структура. Такие условия весьма типичны для Мирового океана, и примерно 70% его толщи подвержены такому расслоению 2. Двойная диффузия работает, когда температура и соленость растут с глубиной [15, 16]. Наличие геотермальных источников тепла у дна способствует этому процессу. Двойная диффузия может приводить к формированию ступенчатых структур, которые неоднократно наблюдались в натурных экспериментах [17, 18]. В области фронтов возможно интрузионное расслоение с взаимным проникновением вод с различными -характеристиками [19–21]. Интрузии возможны при разрушении внутренних волн на кромке шельфа в области свала глубин [22].
Следует заметить, что все-таки такие условия реализуются не всегда и во внутренних морях вдали от фронтов скорее являются экзотикой, чем повсеместным явлением. А тонкая структура все равно существует, и ее объяснение требует подключения других механизмов, которые, конечно же, работают и в открытом океане. Обрушение внутренних волн и гидродинамическая неустойчивость течений – вот механизм, который был предложен для объяснения формирования тонкой структуры [23–26]. Однако оказалось, что внутренним волнам вовсе не обязательно обрушаться, чтобы формировать тонкую структуру. Волновое поле перемежаемо, и внутренние волны нередко распространяются в виде волновых пакетов [27]. Пакеты внутренних волн за счет нелинейности продуцируют малые поправки к плотности и скорости течения [28] с горизонтальным масштабом, равным масштабу огибающей пакета, а вертикальный масштаб определяется отношением , где – групповая скорость пакета, – частота Брента – Вяйсяля. Однако эти поправки пропорциональны квадрату текущей амплитуды волны и исчезают после прохождения волнового пакета.
В диссипативной среде при учете вязкости и диффузии волны затухают и формируют пограничные слои в окрестности границ [29, 30]. Пучок трехмерных внутренних волн отражается от слоя совпадения частоты волны и частоты плавучести, причем отражение происходит с энергетическими потерями [31]. Потери могут составлять несколько процентов. На разрывах частоты плавучести или ее производных в пучке внутренних волн формируются внутренние пограничные слои, отраженный пучок также присутствует [31]. Пограничные слои имеют расщепленные масштабы по плотности и скорости. Эти пограничные течения и создают уже тонкую структуру периодического течения.
Внутренние волны при учете турбулентной вязкости и диффузии затухают [32, 33]. Вертикальные волновые потоки тепла, соли и импульса отличны от нуля и приводят к формированию уже необратимой тонкой структуры [34–38]. Но не только учет турбулентной вязкости и диффузии приводит к генерации вертикальной тонкой структуры. При учете вращения Земли и неоднородных средних течений вертикальные волновые потоки тепла, соли, массы отличны от нуля даже при неучете турбулентной вязкости и диффузии и приводят к формированию вертикальной тонкой структуры [39]. Вертикальные волновые потоки импульса также не равны нулю [40–44]. Однако в [39] не учитывался горизонтальный градиент средней плотности, который всегда присутствует в геострофически сбалансированном течении. Предполагалось, что горизонтальный масштаб волны много меньше масштаба неоднородности поля средней плотности. В настоящей работе горизонтальный градиент средней плотности учитывается, при этом проводится сравнение с результатами для однородного случая. В [39] краевая задача для амплитуды вертикальной скорости решается методом возмущений с введением малого параметра , где – характерная скорость течения, – глубина, – частота волны. Однако этот параметр не всегда мал, и в настоящей работе краевая задача для амплитуды вертикальной скорости внутренних волн решается численно по неявной схеме Адамса третьего порядка точности [40, 42].
Постановка задачи
В приближении Буссинеска рассматриваются свободные внутренние волны при учете вращения Земли и среднего двумерного вертикально-неоднородного течения в горизонтальном безграничном бассейне постоянной глубины [34–44]. Используется приближение f-плоскости. Горизонтальные градиенты средней плотности находятся из геострофических соотношений 3 и выражаются через вертикальные сдвиги компонент скорости течения, как это сделано в [45]. Система уравнений гидродинамики для волновых возмущений в приближении Буссинеска имеет следующий вид:
, (1)
, (2)
, (3)
где – вектор волновых возмущений скорости течения; , – волновые возмущения плотности и давления; – невозмущенная средняя плотность; ось направлена противоположно вектору ускорения свободного падения ; – вектор проекции угловой скорости вращения Земли на ось ; – вектор скорости среднего течения; оператор имеет вид .
Из соотношений «термического ветра» 3 [45] компоненты горизонтального градиента средней плотности выражаются через вертикальные сдвиги скорости течения следующим образом:
, (4)
, (5)
где – параметр Кориолиса, – орт оси , – угловая скорость вращения Земли, φ – широта.
После подстановки соотношений (4), (5) в уравнение (2) последнее преобразуется к виду
. (6)
Граничное условие на поверхности моря – условие «твердой крышки», которое отфильтровывает внутренние волны от поверхностных, на дне – условие непротекания 4:
при , (7)
при , (8)
где – глубина моря.
Линейное приближение. Решения уравнений (1), (3), (6) в линейном приближении при условии горизонтальной однородности частоты Брента – Вяйсяля на масштабе волны ищем в следующем виде [34–45]:
, , (9)
, , (10)
где – комплексно сопряженные слагаемые; – амплитудный множитель; – фаза волны, – горизонтальное волновое число, – частота волны. Предполагается, что волна распространяется вдоль оси .
Из системы (1), (3), (6) следуют выражения для амплитудных функций через :
(11)
,
, (12)
(13)
где – частота со сдвигом Доплера.
Амплитудная функция вертикальной компоненты скорости удовлетворяет уравнению
(14)
где – квадрат частоты Брента – Вяйсяля.
Граничные условия для :
. (15)
Уравнение (14) имеет комплексные коэффициенты, поэтому его решение, вообще говоря, – комплексная функция, и краевая задача (14) – (15) должна иметь и комплексные значения собственных частот при фиксированном волновом числе [34–43]. Последующие расчеты действительно показывают, что частота волны имеет малую мнимую часть. Краевая задача (14) – (15) без учета вращения Земли при решалась аналитически в работах [46, 47] на течении с постоянным вертикальным градиентом скорости при постоянной частоте Брента – Вяйсяля. Получено решение в виде модифицированных функций Бесселя мнимого порядка. Дисперсионное уравнение решалось как асимптотическими, так и численными методами. Показано, что течение приводит к заметной анизотропии дисперсионных кривых, в частности, изолинии частоты в плоскости горизонтальных волновых чисел могут размыкаться. При уравнение (14) имеет действительные коэффициенты, поэтому частота волны и собственная функция внутренних волн – действительные, когда число Ричардсона больше [46, 47].
Нелинейные эффекты. Скорости течения в представлении Эйлера и Лагранжа с точностью до членов второго порядка по крутизне волны связаны соотношением 5 [36, 43]
. (16)
Решая данное уравнение методом итераций с точностью до членов, квадратичных по амплитуде волны, после осреднения по периоду волны получаем выражение для средней лагранжевой скорости
, (17)
где вектор – скорость среднего течения; – поле волновых эйлеровых скоростей; черта сверху означает осреднение по периоду волны. Второе слагаемое в (17) и есть скорость стоксова дрейфа, которая определяется по следующей формуле [34, 36, 38, 39, 41–43, 48]:
. (18)
Вертикальная составляющая скорости стоксова дрейфа отлична от нуля для комплексной частоты [39, 42]:
, (19)
где , – мнимая часть частоты волны. Две горизонтальные компоненты скорости стоксова дрейфа определяются по следующим формулам:
, (20)
(21)
Вертикальный волновой поток массы находим, учитывая формулы (10), (13) [37, 39]:
(22)
Уравнение для неосциллирующей на временном масштабе волны поправки к средней плотности с точностью до членов, квадратичных по амплитуде волны, имеет вид
. (23)
С учетом соотношений (4), (5) уравнение (23) преобразуется к виду
(24)
В горизонтально-однородном случае уравнение (24) принимает вид
. (25)
Интегрируя уравнение (25) по времени, получаем
. (26)
Подставляя из формулы (22) и три компоненты скорости стоксова дрейфа из формул (19) – (21) в выражение (26), получим после интегрирования
, (27)
где
, ,
Поправка к плотности , определяемая по формуле (27), представляет собой вертикальную тонкую структуру, которая порождается внутренней волной и имеет необратимый характер [37, 39]. После прохождения волнового пакета указанная поправка сохраняется.
Результаты расчетов
Расчет вертикальной тонкой структуры, генерируемой внутренней волной, проведем по данным, полученным в третьем этапе 44-го рейса НИС «Михаил Ломоносов» на северо-западном шельфе Черного моря 6 [34, 35, 39–43].
На рис. 1 показан временной ход изолиний температуры, полученный четырьмя градиентно-распределенными датчиками температуры.
Р и с. 1. Зависимость вертикальных смещений изолиний температуры от времени
F i g. 1. Dependence of vertical displacements of temperature isolines on time
Приборы свешивались с борта судна и располагались на следующих глубинах: 5 – 15 м – первый прибор; 15 – 25 м – второй прибор; 25 – 35 м – третий прибор; 35 – 60 м – четвертый прибор (обозначены на рис. 1 римскими цифрами I – IV соответственно).
На рис. 1 четко просматривается мощный волновой пакет 15-минутных внутренних волн второй моды. Максимальная амплитуда по возвышениям составляет 0,5 м.
Зависимость частоты Брента – Вяйсяля от вертикальной координаты показана на рис. 2, а, двух компонент скорости течения – на рис. 2, b.
Р и с. 2. Зависимость от вертикальной координаты частоты Брента – Вяйсяля (а) и компонент скорости течения (b)
F i g. 2. Dependence of the Brunt – Väisälä frequency (a) and current velocity components (b) on the vertical coordinate
Р и с. 3. Дисперсионные кривые (а) и графики мнимой части частоты (b) первой (1) и второй (2) мод
F i g. 3. Dispersion curves (a) and graphs of the frequency imaginary part (b) of the first (1) and the second (2) modes
Решение краевой задачи (14), (15) находится численно по неявной схеме Адамса третьего порядка точности [34–43]. Используется метод пристрелки для определения волнового числа и мнимой части частоты при фиксированном периоде волны для данной моды внутренних волн. Полученное решение – комплексное, и частота волны – комплексная, имеет малую мнимую часть. На рис. 3, а представлена зависимость действительной части частоты от волнового числа для первых двух мод. На рис. 3, b показана зависимость мнимой части частоты от волнового числа. Мнимая часть частоты у первой моды отрицательная, т. е. волна слабо затухает.
У второй моды мнимая часть частоты отрицательная, когда частота менее 12 цикл/ч; если частота больше, то ее мнимая часть положительная, т. е. слабое затухание в низкочастотной области сменяется слабым усилением в высокочастотной области. Декремент затухания у первой моды по модулю больше декремента затухания второй моды для фиксированного волнового числа. У 15-минутных внутренних волн второй моды декремент затухания равен рад/с, длина волны 197 м.
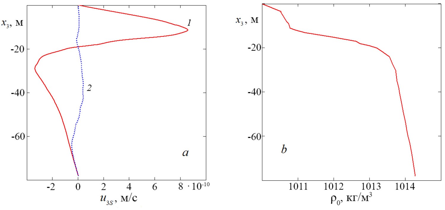
Вертикальную составляющую скорости стоксова дрейфа рассчитаем по формуле (19). Нормирующий множитель находится по известной максимальной амплитуде вертикальных смещений 0,5 м. Зависимость вертикальной составляющей скорости стоксова дрейфа от вертикальной координаты для первых двух мод показана на рис. 4, а, частота волны составила 4 цикл/ч.
Вертикальный профиль средней плотности приведен на рис 4, b.
Р и с. 4. Зависимость вертикальной составляющей скорости стоксова дрейфа от вертикальной координаты у внутренних волн первой (1) и второй (2) мод – а; профиль средней плотности – b
F i g. 4. Dependence of vertical component of the Stokes drift velocity on the vertical coordinate of internal waves of the first (1) and the second (2) modes – a; average density profile – b
Профили вертикального потока массы, определенного по формуле (22), и неосциллирующей поправки к плотности (формула (27)) при ч у первых двух мод внутренних волн с частотой 4 цикл/ч при одной и той же максимальной амплитуде 0,5 м показаны на рис. 5.
Р и с. 5. Профили вертикального волнового потока массы (а) и тонкой структуры поля плотности (b) для первой (1) и второй (2) мод внутренних волн
F i g. 5. Profiles of the vertical wave flux of mass (a) and the fine structure of density field (b) for the first (1) and the second (2) modes of internal waves
Вертикальный волновой поток массы у первой моды значительно преобладает в верхнем 40-метровом слое, в то время как на больших глубинах волновые потоки первой и второй мод сопоставимы по абсолютной величине. Интенсивность генерируемой вертикальной тонкой структуры поля плотности у первой моды больше, чем у второй при той же максимальной амплитуде волны.
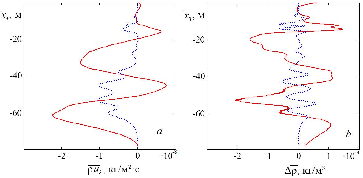
Далее сравним волновые потоки и генерируемую тонкую структуру у инерционно-гравитационных внутренних волн разных частот. Для этого рассмотрим вторую моду с частотами 4, 1 и 12 цикл/ч при той же максимальной амплитуде волны 0,5 м.
Вертикальные волновые потоки массы у волн указанных частот показаны на рис. 6, а, профили генерируемой тонкой структуры поля плотности – на рис. 6, b.
Р и с. 6. Профили вертикального волнового потока массы (а) и тонкой структуры поля плотности (b) у второй моды для 15-минутных внутренних волн (красная кривая), одночасовых внутренних волн (синяя кривая) и 5-минутных внутренних волн (зеленая кривая)
F i g. 6. Profiles of the vertical wave flux of mass (a) and the fine structure of density field (b) of the second mode for 15-minute internal waves (red curve), one-hour internal waves (blue curve) and 5-minute internal waves (green curve)
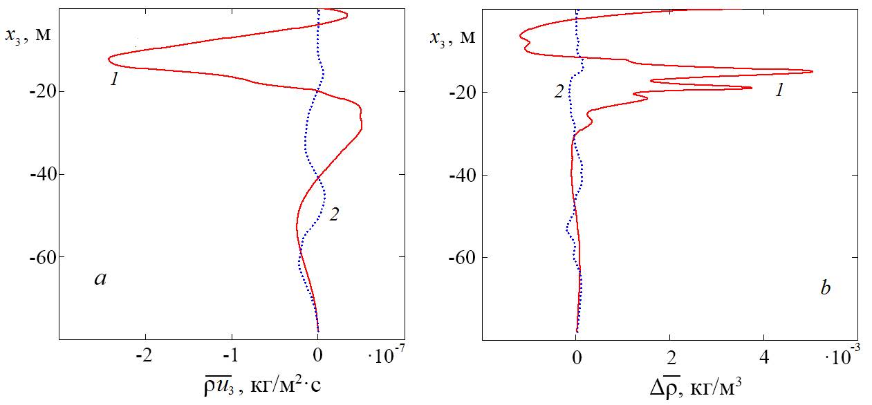
Вертикальные волновые потоки массы у второй моды 15-минутных, одночасовых и 5-минутных внутренних волн сонаправлены и уменьшаются по абсолютной величине с уменьшением периода волны. Тонкоструктурные поправки к плотности для волн с периодами 15 мин и 1 ч близки и, суммируясь, только усиливают эффект. Указанные поправки не вносят инверсий в вертикальное распределение плотности. Аналогичный расчет сделан и для первой моды внутренних волн. На рис. 7 показаны графики вертикального волнового потока массы и генерируемой тонкой структуры плотности у внутренних волн первой моды для частот 4, 1 и 12 цикл/ч.
Р и с. 7. Профили вертикального волнового потока массы (а) и тонкой структуры поля плотности (b) у первой моды для 15-минутных внутренних волн (красная кривая), одночасовых внутренних волн (синяя кривая) и 5-минутных внутренних волн (зеленая кривая)
F i g. 7. Profiles of the vertical wave flux of mass (a) and the fine structure of density field (b) of the first mode for 15-minute internal waves (red curve), one-hour internal waves (blue curve) and 5-minute internal
waves (green curve)
У первой моды вертикальные волновые потоки массы и тонкоструктурные поправки почти совпадают для волн с частотами 1 и 4 цикл/ч, у волн с частотой 12 цикл/ч они отличаются наиболее заметно в пикноклине.
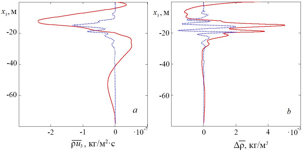
Представляет интерес исследовать влияние горизонтальной неоднородности поля средней плотности на вертикальные волновые потоки массы и генерируемую тонкую структуру. В горизонтально-однородном случае в уравнении (4) пренебрегаются слагаемые, содержащие горизонтальные градиенты средней плотности и . На рис. 8 представлена зависимость вертикальных волновых потоков массы и генерируемой тонкой структуры от вертикальной координаты для внутренних волн с частотой 4 цикл/ч второй моды в горизонтально-однородном и неоднородном случае при одинаковой максимальной амплитуде волны 0,5 м.
Р и с. 8. Вертикальное распределение волновых потоков массы (а) и генерируемой тонкой структуры (b) для внутренней волны второй моды в горизонтально-неоднородном (красная кривая) и однородном (синяя кривая) случае
F i g. 8. Vertical distribution of the wave fluxes of mass (a) and the generated fine structure (b) for the internal wave of the second mode in the horizontally inhomogeneous (red curve) and homogene-ous (blue curve) cases
Таким образом, амплитуда тонкоструктурных осцилляций и вертикальные волновые потоки массы в горизонтально-неоднородном случае выше, чем в однородном.
Аналогичные расчеты сделаны и для первой моды внутренних волн. На рис. 9 приведены профили вертикального потока массы и генерируемой тонкой структуры для первой моды внутренних волн с частотой 4 цикл/ч в горизонтально-неоднородном и однородном случае.
Р и с. 9. Зависимость от вертикальной координаты волнового потока массы (а) и генерируемой тонкой структуры (b) для внутренней волны второй моды в горизонтально-неоднородном (красная кривая) и однородном (синяя кривая) случае
F i g. 9. Dependence of the wave flux of mass (a) and the generated fine structure (b) for the internal wave of the second mode in the horizontally inhomogeneous (red curve) and homogeneous (blue curve) cases upon the vertical coordinate
Аналогично у первой моды в горизонтально-неоднородном по средней плотности случае вертикальные волновые потоки массы и тонкоструктурная поправка к плотности выше.
Заключение
В работе представлен механизм генерации вертикальной тонкой структуры за счет вертикальных волновых потоков массы. Эти потоки отличны от нуля у инерционно-гравитационных внутренних волн при наличии течения, у которого компонента скорости, нормальная направлению распространения волны, зависит от вертикальной координаты. В отличие от предшествующих работ нами не предполагается горизонтальная однородность поля средней плотности. Напротив, течение предполагается геострофически сбалансированным, т. е. вертикальные сдвиги скорости сбалансированы горизонтальным градиентом поля средней плотности. Этот градиент находится из соотношений «термического ветра». Показано, что учет горизонтальной неоднородности поля средней плотности увеличивает как вертикальные волновые потоки массы, так и генерируемую тонкую структуру, амплитуду тонкоструктурных осцилляций. Для волн с частотами 1 и 4 цикл/ч волновые потоки массы и тонкоструктурные поправки к плотности очень близки, т. е. для волн разных частот суммарный эффект только усиливается.
1 Gibson C. H. Fossil temperature, salinity, and vorticity turbulence in the ocean // Marine Turbulence / Ed. J. Nihoul. Amsterdam : Elsevier Publising Co., 1980. P. 221–257. (Elsevier Oceanography Series ; vol. 28). https://doi.org/10.1016/S0422-9894(08)71223-6
2 Федоров К. Н. Тонкая термохалинная структура вод океана Л. : Гидрометеоиздат, 1976. 184 с.
3 Каменкович В. М. Основы динамики океана. Ленинград : Гидрометеоиздат, 1973. С 128.
4 Миропольский Ю. З. Динамика внутренних гравитационных волн в океане. Ленинград : Гидрометеоиздат, 1981. 302 с.
5 Дворянинов Г. С. Эффекты волн в пограничных слоях атмосферы и океана. Киев : Наукова думка, 1982. 176 с.
6 Отчет о работах в 44-м рейсе (3-й этап) НИС «Михаил Ломоносов» 7 августа – 15 сентября 1985 г. Севастополь : МГИ АН УССР, 1985. Т. 1. 135 с.
作者简介
A. Slepyshev
Marine Hydrophysical Institute, Russian Academy of Sciences
							编辑信件的主要联系方式.
							Email: slep55@mail.ru
				                	ORCID iD: 0000-0002-9259-7558
				                	SPIN 代码: 8742-9970
																		                								
ведущий научный сотрудник, отдел турбулентности, доктор физико-математических наук
俄罗斯联邦, SevastopolN. Ankudinov
Marine Hydrophysical Institute, Russian Academy of Sciences
														Email: ankudinff@gmail.ru
				                					                	SPIN 代码: 2814-9748
																		                								
ведущий инженер-исследователь, отдел турбулентности
俄罗斯联邦, Sevastopol参考
- Chashechkin Yu. D. Discrete and continuous symmetries of stratified flows past a sphere // Symmetry. 2022. Vol. 14, iss. 6. 1278. https://doi.org/10.3390/sym14061278
- Chashechkin Yu. D. Foundations of engineering mathematics applied for fluid flows // Axioms. 2021. Vol. 10, iss. 4. 286. https://doi.org/10.3390/axioms10040286
- Чашечкин Ю. Д., Ильиных А. Ю. Тонкая структура картины распределения вещества свобод-но падающей капли на поверхности и в толще принимающей жидкости в импактном режиме слияния // Физико-химическая кинетика в газовой динамике. 2023. Т. 24, № 2. С. 79–106. EDN SKVCQA. https://doi.org/10.33257/PhChGD.24.2.1043
- Gargett A. E. An investigation of the occurrences of oceanic turbulence with respect to finestructure // Journal of Physical Oceanography. 1976. Vol. 6, iss. 2. P. 139–156. https://doi.org/10.1175/1520-0485(1976)006<0139:AIOTOO>2.0.CO;2
- Bell Jr. T. H. Internal wave-turbulence interpretation of ocean fine structure // Geophysical Research Letters. 1974. Vol. 1, iss. 6. P. 253–255. https://doi.org/10.1029/GL001i006p00253
- Экспериментальные исследования тонкой структуры поля температуры в сезонном термоклине / И. С. Багимов [и др.] // Морские гидрофизические исследования. Севастополь : МГИ АН УССР, 1978. № 3.С. 75–90.
- Turner J. S. Buoyancy effects in fluids. Cambridge, Great Britain : Cambridge University Press, 1973. 367 p. (Cambridge Monographs on Mechanics). https://doi.org/10.1017/CBO9780511608827
- Shmitt R. W. Form of the temperature-salinity relationship in the central water: Evidence for double diffusive mixing // Journal of Physical Oceanography. 1981. Vol. 11, iss. 7. P. 1015–1026. https://doi.org/10.1175/1520-0485(1981)011<1015:FOTTSR>2.0.CO;2
- Double-diffusive layering in the Eurasian Basin of the Arctic Ocean / B. Rudels [et al.] // Journal of Marine Systems. 1999. Vol. 21, iss. 1–4. P. 3–27. https://doi.org/10.1016/S0924-7963(99)00003-2
- Журбас В. М., Липс У. К. О выделении основных типов тонкой термохалинной структуры океана // Океанология. 1987. Т. XXVII, вып. 4. С. 562–567.
- Williams A. J. 3rd. Salt fingers observed in the Mediterranean outflow // Science. 1974. Vol. 185, iss. 4155. p. 941–943. https://doi.org/10.1126/science.185.4155.941
- Перескоков А. И., Федоров К. Н. Вентиляция вод термоклина океана конвекцией типа солевых пальцев // Доклады Академии наук СССР. 1989. Т. 309, № 1. С. 192–196.
- Погребной А. Е., Пантелеев Н. А. Конвекция солевых пальцев в районе C–SALT // Морской гидрофизический журнал. 1998. № 3. С. 21–36.
- Журбас В. М., Кузьмина Н. П., Кульша О. Е. Ступенчатое расслоение океанского термо-клина при трансформации термохалинных интрузий солевыми пальцами (численный экспе-римент) // Океанология. 1987. Т. XXVII, вып. 3. С. 377–383.
- Фалина А. С., Волков И. И. О тонкой структуре и термохалинной устойчивости глубинных вод Черного моря // Океанология. 2003. Т. 43, № 4. С. 516–523. EDN OOGPSR.
- Фалина А. С., Волков И. И. Влияние процесса двойной диффузии на общую гидрологическую структуру глубинных вод Черного моря // Океанология. 2005. Т. 45, № 1. С. 21–31. EDN HRVYSH.
- Журбас В. М., Озмидов Р. В. О внутреннем строении тонкой ступенчатой структуры главного термоклина океана // Океанология. 1983. Т. XXIII, вып. 6. С. 938–943.
- Double-diffusive convection and interleaving in the Arctic Ocean – distribution and importance / B. Rudels [et al.] // Geophysica. 2009. Vol. 45, iss. 1–2. P. 199–213.
- Пантелеев Н. А., Охотников И. Н. Интрузионное расслоение фронтальной зоны Гольфстрима по материалам исследований 43-го рейса НИС «Академик Вернадский» // Морской гидрофизический журнал. 2003. № 2. С. 41–53. EDN YWWVGH.
- Головин П. Н., Антипов Н. Н., Клепиков А. В. Интрузионное расслоение Антаркти-ческого склонового фронта // Океанология. 2016. Т. 56, № 4. С. 514–528. EDN WFAKCF. https://doi.org/10.7868/S0030157416030084
- On the structure and dynamical features of intrusive layering in the Eurasian Basin in the Arctic Ocean / N. Kuzmina [et al.] // Journal of Geophysical Research: Oceans. 2011. Vol. 116, iss. C8. C00D11. https://doi.org/10.1029/2010JC006920
- Самодуров А. C. Интрузионное расслоение и вертикальная диффузия в океане за счет приливного перемешивания у наклонного дна // Морской гидрофизический журнал. 1992. № 3. С. 39–46.
- Самодуров А. С., Любицкий А. А., Пантелеев Н. А. Вклад опрокидывающихся внутренних волн в структурообразование, диссипацию энергии и вертикальную диффузию в океане // Морской гидрофизический журнал. 1994. № 3. С. 14–27.
- Влияние динамики течений на гидрофизическую структуру вод и вертикальный обмен в деятельном слое Черного моря / А. Г. Зацепин [и др.] // Океанология. 2007. T. 47, № 3. C. 327–339. EDN IAFSJJ.
- Подымов О. И., Зацепин А. Г., Островский А. Г. Вертикальный турбулентный обмен в черноморском пикноклине и его связь с динамикой вод // Океанология. 2017. Т. 57, № 4. С. 546–559. EDN ZCRXXJ. https://doi.org/10.7868/S0030157417040049
- Навроцкий В. В., Изергин В. Л., Лозовацкий В. В. Внутренние волны и тонкая структура гидрофизических полей в шельфовой зоне моря // Дальневосточные моря России. Москва, 2007. Т. 1. С. 507–527. EDN VYTEAW.
- Внутренние волны на шельфе Черного моря в районе Гераклейского полуострова: моделирование и наблюдение / В. А. Иванов [и др.] // Морской гидрофизический журнал. 2019. Т. 35, № 4. С. 322–340. EDN SOBBLG. https://doi.org/10.22449/0233-7584-2019-4-322-340
- Леонов А. И., Миропольский Ю. З., Тамсалу Р. Э. О расчете тонкой структуры полей плотности и скорости (на примере Балтийского моря) // Океанология. 1977. Т. XVII, вып. 3. С. 389–393.
- Kistovich A. V., Chashechkin Yu. D. Regular and singular components of periodic flows in the fluid interior // Journal of Applied Mathematics and Mechanics. 2007. Vol. 71, iss. 5. P. 762–771. https://doi.org/10.1016/j.jappmathmech.2007.11.009
- Chashechkin Yu. D., Ochirov A. A. Periodic waves and ligaments on the surface of a viscous exponen-tially stratified fluid in a uniform gravity field // Axioms. 2022. Vol. 11, iss. 8. 402. https://doi.org/10.3390/axioms11080402
- Kistovich Yu. V., Chashechkin Yu. D. Linear theory of the propagation of internal wave beams in an arbitrarily stratified liquid // Journal of Applied Mechanics and Technical Physics. 1998. Vol. 39, iss. 5. P. 729–737. EDN YVIXCN. https://doi.org/10.1007/bf02468043
- LeBlond P. H., Mysak L. A. Waves in the ocean. Amsterdam: Elsevier Scientific Publishing Company, 1978. 602 p. (Elsevier oceanography series ; vol. 20).
- LeBlond P. H. On the damping of internal gravity waves in a continuously stratified ocean // Journal of Fluid Mechanics. 1966. Vol. 25, iss. 1. Р. 121–142. https://doi.org/10.1017/S0022112066000089
- Слепышев А. А. Вертикальный перенос импульса внутренними волнами при учете турбулентной вязкости и диффузии // Известия Российской академии наук. Физика атмосферы и океана. 2016. Т. 52, № 3. С. 342–349. EDN WALSFX. https://doi.org/10.7868/S0002351516030111
- Слепышев А. А. Вертикальный перенос импульса инерционно-гравитационными внутренними волнами на течении при учете турбулентной вязкости и диффузии // Известия Российской академии наук. Механика жидкости и газа. 2022. № 2. С. 77–86. EDN OYOVJK. https://doi.org/10.31857/S0568528122020098
- Слепышев А. А., Носова А. В. Вертикальный перенос импульса внутренними волнами в западной части Средиземного моря // Морской гидрофизический журнал. 2022. Т. 38, № 4. С. 358–371. EDN XJNRJF. https://doi.org/10.22449/0233-7584-2022-4-358-371
- Слепышев А. А., Носова А. В. Генерация вертикальной тонкой структуры внутренними волнами при учете турбулентной вязкости и диффузии // Морской гидрофизический журнал. 2020. Т. 36, № 1. С. 5–19. EDN IZIVIK. https://doi.org/10.22449/0233-7584-2020-1-5-19
- Слепышев А. А. Вертикальный перенос импульса внутренними волнами в сдвиговом потоке при учете турбулентной вязкости и диффузии // Известия Российской академии наук. Физика атмо-сферы и океана. 2022. Т. 58, № 5. С. 504–511. EDN OSUVED. https://doi.org/10.31857/S000235152205011X
- Slepyshev A. A., Vorotnikov D. I. Generation of vertical fine structure by internal waves in a shear flow // Open Journal of Fluid Dynamics. 2019. Vol. 9, no. 2. P. 140–157. https://doi.org/10.4236/ojfd.2019.92010
- Анкудинов Н. О., Слепышев А. А. Вертикальный перенос импульса внутренними волнами в дву-мерном потоке // Известия Российской академии наук. Механика жидкости и газа. 2021. № 3. С. 39–47. EDN UADMVN. https://doi.org/10.31857/S0568528121030026
- Слепышев А. А., Воротников Д. И. Вертикальный перенос импульса инерционно-гравитационными внутренними волнами в бароклинном потоке // Морской гидрофизический журнал. 2017. Т. 33, № 4. С. 3–15. EDN ZMNTTB. https://doi.org/10.22449/0233-7584-2017-4-3-15
- Слепышев А. А. Вертикальный перенос импульса инерционно-гравитационными внутренними волнами на двумерном сдвиговом течении // Морской гидрофизический журнал. 2021. Т. 37, № 4. С. 391–404. EDN JHMMWL. https://doi.org/10.22449/0233-7584-2021-4-391-404
- Воротников Д. И., Слепышев А. А. Вертикальные потоки импульса, обусловленные слабонели-нейными внутренними волнами на шельфе // Известия Российской академии наук. Механика жидкости и газа. 2018. № 1. С. 23–35. EDN YLAPWK. https://doi.org/10.7868/S0568528118010036
- Слепышев А. А., Лактионова Н. В. Вертикальный перенос импульса внутренними волнами в сдвиговом потоке // Известия Российской академии наук. Физика атмосферы и океана. 2019. Т. 55, № 6. С. 194–200. EDN ZDIYNQ. https://doi.org/10.31857/S0002-3515556194-200
- Jones W. L. Propagation of internal gravity waves in fluids with shear flow and rotation // Journal of Fluid Mechanics. 1967. Vol. 30, iss. 3. P. 439–448. https://doi.org/10.1017/S0022112067001521
- Bulatov V. V., Vladimirov Yu. V. Dynamics of internal gravity waves in the ocean with shear flows // Russian Journal of Earth Sciences. 2020. Vol. 20, no. 4. ES4004. https://doi.org/10.2205/2020ES000732
- Булатов В. В., Владимиров И. Ю. Внутренние гравитационные волны от осциллирующего источника возмущений в стратифицированной среде с двухмерными сдвиговыми течениями // Известия Российской академии наук. Механика жидкости и газа. 2022. № 4. С. 60–68. EDN HVSDBS. https://doi.org/10.31857/S0568528122040016
- Longuet-Higgins M. S. On the transport of mass by time-varying ocean current // Deep Sea Research and Oceanographic Abstracts. 1969. Vol. 16, iss. 5. P. 431–447. https://doi.org/10.1016/0011-7471(69)90031-X
补充文件
 
				
			 
						 
						 
						 
						 
					 
				










