Comparison analysis of heat and mass transport through Fram Strait calculated using the mooring and ocean reanalysis data
- Authors: Smirnov A.V.1, Ivanov V.V.1,2, Sokolov A.A.1
-
Affiliations:
- Arctic and Antarctic Research Institute
- M. V. Lomonosov Moscow State University
- Issue: Vol 40, No 3 (2024)
- Pages: 402-425
- Section: Analysis of observations and methods of calculating Hydrophysical fields in the ocean
- URL: https://journal-vniispk.ru/0233-7584/article/view/260053
- EDN: https://elibrary.ru/GCHFLC
- ID: 260053
Cite item
Full Text
Abstract
Purpose. The paper represents a comparison analysis of water, heat and salt flows transported through Fram Strait and calculated using the data both of moorings in the strait and the GLORYS2v4, ORAS5, GloSea5 and C-GLORSv7 reanalysis.
Methods and Results. The data obtained at the autonomous buoy stations were interpolated in the nodes of a regular grid with the resolutions 0.25° over longitude and 10 m over depth using the Ordinary Kriging. The algorithms unified both for the mooring and reanalysis data were applied to calculate the transport flows in 1997–2018. The data of moorings and reanalysis constituted a base for obtaining the time series of heat and mass transport in the regular grid nodes at the cross-section in Fram Strait (8° W, 8° E). The mooring and reanalysis time series were compared, and the results were visualized.
Conclusions. It is shown that the reanalysis ensemble, on the whole, underestimates the transfer of water and heat volumes calculated using the observation data, by 25 %. The best agreement between the reanalysis products and the calculation results based on the observation data is obtained for the West Spitsbergen Current core which is most completely supplied with the observation data. It is revealed that the ensemble of models describes the observation data variability the best, and the FOAM and CGLO reanalysis – the greater part of temporal variability of the flows calculated by the autonomous buoy station data. The data consistency in the winter period (October – March) is shown to be higher than that in the summer one (April – September). That can be related both to the reanalysis imperfections (ice melt accounting) and the season, namely summer, when the autonomous buoy stations are usually replaced, which can result in additional errors in combining the time series.
Full Text
Введение
Информацию о состоянии океана на современном этапе развития океанологии можно получить с помощью инструментальных измерений, численного моделирования и их комбинации – реанализа. Дистанционные и спутниковые наблюдения позволяют осуществлять мониторинг состояния поверхности океана и ледяного покрова, но не распространяются на всю водную толщу, где развиваются значимые гидрофизические процессы. Контактные наблюдения в современной океанографии, включают прежде всего CTD- (Conductivity Temperature Depth) зондирования, измерения скорости течений акустическим допплеровским профилографом (ADCP), данные с автономных заякоренных 1 и дрейфующих профилирующих буев (ARGO 2, ITP 3). По данным измерений термохалинных характеристик можно проводить расчеты относительных скоростей переноса вод на гидрологических разрезах. Использование данных спутниковых альтиметров и скаттерометров позволяет привести относительные скорости переноса вод к абсолютным [1, 2]. Если измерения проводятся на пространственно близких разрезах, то эти данные можно использовать для изучения изменений характеристик океана и определять тенденции изменений для отдельных регионов или океана в целом [3]. Альтернативным источником информации для исследования гидрофизической структуры вод и ее пространственно-временной изменчивости сравнительно недавно стали океанские реанализы, получаемые при помощи усвоения (ассимиляции) данных наблюдений в численных моделях [4, 5]. Гидрофизические параметры, воспроизведенные в численных моделях и продуктах реанализа, как правило, отличаются от данных инструментальных измерений, что и предопределяет необходимость объективной оценки качества расчетов путем сравнения с данными прямых измерений в океане.
Объектом исследования в данной работе был выбран пролив Фрама, являющийся самым широким глубоководным проливом, связывающим Северо-Европейский бассейн (СЕБ) с Арктическим бассейном (АБ) Северного Ледовитого океана (СЛО) [6]. Через восточную часть пролива Фрама с Западно-Шпицбергенским течением в АБ поступают теплые соленые воды атлантического происхождения, которые принято называть атлантическими водами (АВ) [7], а через западную часть пролива происходит вынос в СЕБ холодных поверхностных арктических вод и охлажденных распресненных промежуточных вод. Процессы тепломассопереноса через пролив Фрама, в первую очередь связанные с АВ – основным адвективным источником тепла для АБ [8], всегда были в фокусе полярных океанографических исследований [9–11]. Согласно существующим историческим оценкам, поток АВ через пролив Фрама колеблется в весьма широких пределах: от 1,4 до 7,1 Св [12]. При этом значительная часть дисперсии приходится на долю короткопериодной внутригодовой изменчивости [13]. Детальные инструментальные измерения скорости течения на повторяющемся разрезе вдоль 79° с. ш., начатые в 1997 г. и продолжающиеся по настоящее время в рамках международного проекта ASOF (Arctic and Subarctic Ocean Fluxes), подтвердили гипотезу Огарда и показали, что суммарный среднемноголетний поток в Западно-Шпицбергенском течении находится в пределах 6,6 ± 0,4 Св, причем на долю потока АВ (с температурой более 2 °С) приходится только 3,0 ± 0,2 Св, а остальное – на долю сезонно-меняющегося вихревого переноса [11].
Целью выполненного исследования являлось количественное сравнение процессов тепломассопереноса, рассчитанных по длительным инструментальным измерениям в проливе Фрама в рамках проекта ASOF, с продуктами океанских реанализов. Актуальность такого сравнения обусловлена широким применением океанских реанализов для исследования гидрофизической структуры вод Мирового океана, включая СЛО [14–16], при фактическом отсутствии объективных критериев, позволяющих судить, насколько адекватно восстановленные в реанализах параметры крупномасштабных переносов в океане соответствуют наблюдаемым в реальности. В статье представлены результаты сравнительного анализа потоков объема, тепла и соли, рассчитанных по данным инструментальных наблюдений на автономных буйковых станциях (АБС) в проливе Фрама с аналогичными потоками, рассчитанными по реанализам GLORYS2v4, ORAS5, GloSea5 и C-GLORSv7.
Данные и методы исследования
В исследовании были использованы данные инструментальных наблюдений в проливе Фрама, выполняемых в рамках международного проекта ASOF (URL: https://asof.awi.de/science/projects/13-monitoring-of-oceanic-fluxes-across-fram-strait/) учеными из института Альфреда Вегенера, Германия (Alfred Wegener Institute, AWI) и Норвежского полярного института (Norwegian Polar Institute, NPI). АБС AWI покрывают восточную часть пролива, тогда как АБС NPI обеспечивают мониторинг его западной части (рис. 1).
Рис. 1. Пространственное положение АБС (цифры на желтом фоне), отобранных для анализа. Красные линии – Западно-Шпицбергенское течение (ЗШТ), синие линии – Восточно-Гренландское прибрежное течение, голубые линии – Восточно-Гренландское течение (ВГТ)
Fig. 1. Spatial positions of moorings (numbers against a yellow background) selected for analysis. Red curves show the West Spitsbergen current (WSC), blue curves – the East Greenland coastal current, and light blue ones – the East Greenland current (EGC)
Оба института начали мониторинг пролива Фрама в 1997 г. и продолжают его по настоящее время. За прошедший период положение АБС менялось: некоторые исключались из наблюдательной сети, некоторые добавлялись, некоторые меняли свое расположение. Для измерения температуры и электропроводности применялись SBE 37 с точностью измерений давления 0,1 %, температуры 0,001 °С и электропроводности 0,001 С/м (URL: www.seabird.com). Cкорость течения измерялась с помощью RCM-7, RCM-9 (с точностью 0,01 м/с) и ADCP 300 КГц (с точностью 0,01 м/с).
Инструментальные наблюдения AWI
Данные измерений, выполненных AWI, размещены на портале PANAGEA (URL: www.pangaea.de), где содержатся два обобщающих набора данных: за 1997–2016 4 и за 2016–2018 гг. 5 В совокупности были выбраны и загружены данные с 171 АБС за период с сентября 1997 по июнь 2018 г.
Большинство заякоренных буев располагались таким образом, чтобы получить длительные непрерывные серии наблюдений. Такие временные серии имели одинаковое название (F1–F10), хотя их координаты от года к году несколько различались. Загруженные исходные данные прошли дополнительную обработку, включившую форматирование, группировку по параметрам (отдельно для температуры, электропроводности и компонент скорости течения) и по времени. Для каждых суток выбирались все доступные значения для заданного параметра и записывались в файлы в виде «широта, долгота, глубина, значение». Значения внутри одних суток осреднялись, чтобы дискретность данных была согласована с дискретностью данных реанализов.
Несмотря на то что начальные данные прошли контроль качества [17], анализ временных серий показал, что необходимо провести дополнительные процедуры. Было выявлено, что шесть временных серий имеют отрицательные значения горизонтов измерений. Такие данные были отбракованы. Дополнительно были отфильтрованы данные, выходящие за границы физической изменчивости. Приведенные ниже критерии были выбраны на основе статистического анализа исходных данных. Данные, выходящие за пределы 3σ, исключались из анализа. Так, для температуры бы выбран диапазон −2,5÷6 °С, для солености 30÷36 ЕПС. Компоненты скорости течения отфильтровывались, если скорость превышала 2 м/с. Из обработанного массива данных были отобраны самые длительные временные серии с АБС, расположенных на широте 78,5° с. ш. (рис. 1). Критерием отбора данных измерений той или иной АБС для последующего анализа была продолжительность временной серии и пространственное положение, позволяющее использовать данные для построения вертикального разреза через пролив Фрама.
Данные АБС F1 не были использованы из-за короткого временного ряда, тогда как ряды АБС F15 и F16, на которых также были получены сравнительно короткие временные серии, были сохранены, поскольку они находятся внутри разреза и, благодаря этому, позволяют улучшить результаты пространственной интерполяции. Итоговый состав АБС AWI, включенных в анализ, приведен в табл. 1.
Таблица 1
Table 1
Метаданные АБС
Mooring metadata
АБС / Autonomous buoy station | Долгота,° в. д. / Longitude, °E | Временное покрытие / Time periods | АБС / Autonomous buoy station | Долгота, ° в. д. / Longitude, °E | Временное покрытие / Time periods |
F1 | 8,6 | 1997–2009 | F16 | 0,4 | 2002–2014 |
F2 | 8,3 | 1997–2018 | F9 | −0,4 | 1997–2016 |
F3 | 8,0 | 1997–2018 | F10 | −2,0 | 1997–2016 |
F4 | 7,0 | 1997–2018 | F11 | −3,0 | 1997–2015 |
F5 | 6,0 | 1997–2018 | F12 | −4,0 | 1998–2015 |
F6 | 5,0 | 1997–2016 | F13 | −5,0 | 1997–2015 |
F7 | 4,0 | 1997–2015 | F14 | −6,5 | 1997–2015 |
F8 | 2,7 | 1997–2014 | F17 | −8,0 | 2003–2015 |
F15 | 1,6 | 2002–2014 |
|
|
|
Инструментальные наблюдения NPI
Данные с АБС NPI доступны непосредственно с основного портала NPI (URL: https://www.npolar.no/en/). Были загружены два набора данных: за 1997–2009 6 и за 2009–2015 7. Загруженные данные были преобразованы в формат, аналогичный использованному для данных AWI. К данным NPI был применен описанный в предыдущем подразделе контроль качества. Значения за границами физической изменчивости были отфильтрованы, так же как ошибочные данные и метаданные, найденные при анализе исходных временных серий. На рис. 1 приведено пространственное расположение АБС NPI, а их метаданные показаны в табл. 1.
АБС F17 была исключена из дальнейшего анализа из-за ее недостаточно продолжительной временной серии. АБС F11–F14 изменили свое положение в 2002 г. с 79° с. ш. на 78,5° с. ш., чтобы соответствовать положению буев AWI.
Обработанные массивы инструментальных наблюдений AWI и NPI были объединены в единый массив, чтобы получить наилучшее пространственное покрытие пролива Фрама. Согласно методике [10] было использовано месячное осреднение данных. Общее временное покрытие единого набора данных составило 217 месяцев (август 1997 – август 2015 г.).
Данные реанализов
Инструментальные наблюдения на АБС на сегодняшний день, вероятно, являются одним из самых надежных источников информации о временной изменчивости вертикальной гидрофизической структуры вод Мирового океана. Однако в силу объективных причин количество инструментальных данных ограничено во времени и пространстве, что требует применения альтернативных источников информации, к которым можно отнести продукты океанского реанализа, получаемые путем синтеза наблюдений и математического моделирования [18] и позволяющие существенно более детально реконструировать структуру и динамику вод.
В данной работе использовался массив данных Global Ocean Ensemble Physics Reanalysis 8 разработанный Copernicus Marine Environment Monitoring Service (CMEMS), представляющий из себя компиляцию из четырех океанских реанализов:
- GLORYS2V4 (Mercator Ocean, Франция),
- ORAS5 (ECMWF, ЕС),
- GloSea5 (Met Office, Великобритания),
- C-GLORSv7 (CMCC, Италия).
Данные Global Ocean Ensemble Physics Reanalysis (далее – реанализ CMEMS) представлены на регулярной сетке для всего Мирового океана с пространственным шагом 0,25° по широте и долготе и временной дискретностью 1 сутки. На данный момент временной диапазон массива составляет 27 лет (с января 1993 по декабрь 2019 г). В настоящем исследовании были использованы значения следующих параметров: потенциальной температуры, °С; практической солености, ЕПС; компонентов скорости течения, направленных на север (u) и восток (v), м/с. По суточным данным были рассчитаны месячные, сезонные и годовые осреднения. Сезонные осреднения проводились за два периода для каждого года: зима (октябрь – март) и лето (апрель – сентябрь). Сетка реанализа CMEMS (0,25°) позволяет обойтись без дополнительной интерполяции по пространству. Поскольку алгоритм расчета интегральных переносов объема, тепла и массы (см. следующий раздел) не требует дополнительной реинтерполяции значений на стандартные горизонты, вертикальные горизонты в сетке реанализа не пересчитывались в расчетную сетку.
Пространственная интерполяция
Для проведения расчета процессов тепломассопереноса и последующего сравнительного анализа исходные данные объединенного массива инструментальных наблюдений были интерполированы в узлы регулярной сетки (в формате вертикального разреза с фиксированным шагом по глубине и долготе) (рис. 2).
Рис. 2. Географическое расположение АБС и узлов регулярной сетки, в которую проводилась пространственная интерполяция
Fig. 2. Geographical location of moorings and the regular grid nodes in which spatial interpolation was done
В качестве метода интерполяции был выбран обыкновенный (ординарный) кригинг [19]. Термин «кригинг» служит для обозначения семейства алгоритмов линейной пространственной регрессии. Применение методов кригинга позволяет провести процедуру интерполяции с данными, обладающими рядом специфических особенностей, таких как пространственная неоднородность, существенная анизотропия, наличие в данных трендов [20]. В качестве программной реализации метода кригинга был выбран пакет Surfer (URL: https://www.goldensoftware.com/).
Все 217 файлов с данными за каждый месяц были восстановлены в узлах сетки, шаг по горизонтали которой составил 0,25° (6,5 °з. д. – 8 °в. д.), тогда как по вертикальной оси данные были интерполированы с шагом в 10 м. Для дальнейшего использования результаты интерполяции были переведены в формат netCDF, что позволило использовать унифицированный программный код для последующих расчетов. На этапе конвертации in situ температура воды была пересчитана в потенциальную. Практическая соленость и скорость течения остались неизменными. По аналогии с данными реанализов, полученные интерполированные данные измерений на АБС были осреднены по сезонам (апрель – сентябрь и октябрь – март) и по годам.
На рис. 3 представлены годовые значения меридиональных скоростей течений по данным АБС (рис. 3, а) и реанализа (рис. 3, b).
Рис. 3. Среднегодовые значения меридиональных скоростей течений по данным измерений на АБС (а) и реанализа (b)
Fig. 3. Annual average values of the current meridional velocities based on the mooring (а) and reanalysis (b) data
Расчет суммарных переносов воды, тепла и соли
В качестве основной характеристики для сравнения измеренных временных серий и данных реанализов CMEMS были выбраны суммарные переносы объема, тепла и соли через разрез. Суммарный перенос воды (Dw) представляет интегральный перенос объема в заданном диапазоне глубин через единичный сегмент, соответствующей узлу разреза. Интеграл Dw по всей длине разреза определяет суммарный перенос объема через весь разрез в направлении, нормальном к оси разреза. Для пролива Фрама справедливо следующее утверждение:
, (1)
где – скорость течения, нормальная к оси разреза; – компонента скорости течения, направленная на север.
Для каждого узла разреза интегрировалась по вертикали, чтобы получить суммарный перенос воды DW (м2 × с−1):
(2)
Произведение аномалии температуры (T(z) – Tref) и скорости течения пропорционально потоку тепла (DH, Вт × м−1):
(3)
Произведение аномалии солености (S(z) – Sref) и скорости течения пропорционально потоку соли (DS, кг×м−1×с−1):
(4)
В формулах (2)–(4) zl и zup – нижний и верхний пределы интегрирования; cp – удельная теплоемкость морской воды при постоянном давлении; ρ – плотность морской воды (cp и ρ были рассчитаны по уравнению состояния TEOS-10); Vnj – скорость течения на уровне zj; Tj и Sj – температура и соленость, измеренные на уровне zj, соответственно Tref = –1,8 °C, Sref = 0.
Значения суммарных переносов (FW, FH и FS) рассчитывались путем горизонтального интегрирования средних по глубине потоков, по всей длине разреза (L). Были использованы приведенные ниже формулы (5)–(7):
(5)
(6)
(7)
где i – номер узла разреза относительно его начала; ∆li, i + 1 – расстояние между двумя соседними узлами, обозначенными i и i + 1.
Следует отметить, что приведенный выше алгоритм был модифицирован для данных реанализов. Например, в модели NEMO, лежащей в основе реанализов GLOR, ORAS и CGLO, плотность не является функцией от температуры и солености. Поэтому в формулах (3)–(4) величины cp и ρ были приняты константами (cp = 3989,24495292815 Дж/(кг·К), ρ = 1035 кг/м3).
Приведенный выше метод расчета тепломассопереноса был реализован на языке Julia. Данные как инструментальных наблюдений, так и реанализов были обработаны одним и тем же программным кодом. Результаты расчетов приведены в следующем разделе.
Результаты и их обсуждение
Суммарные тепломассопереносы через пролив Фрама
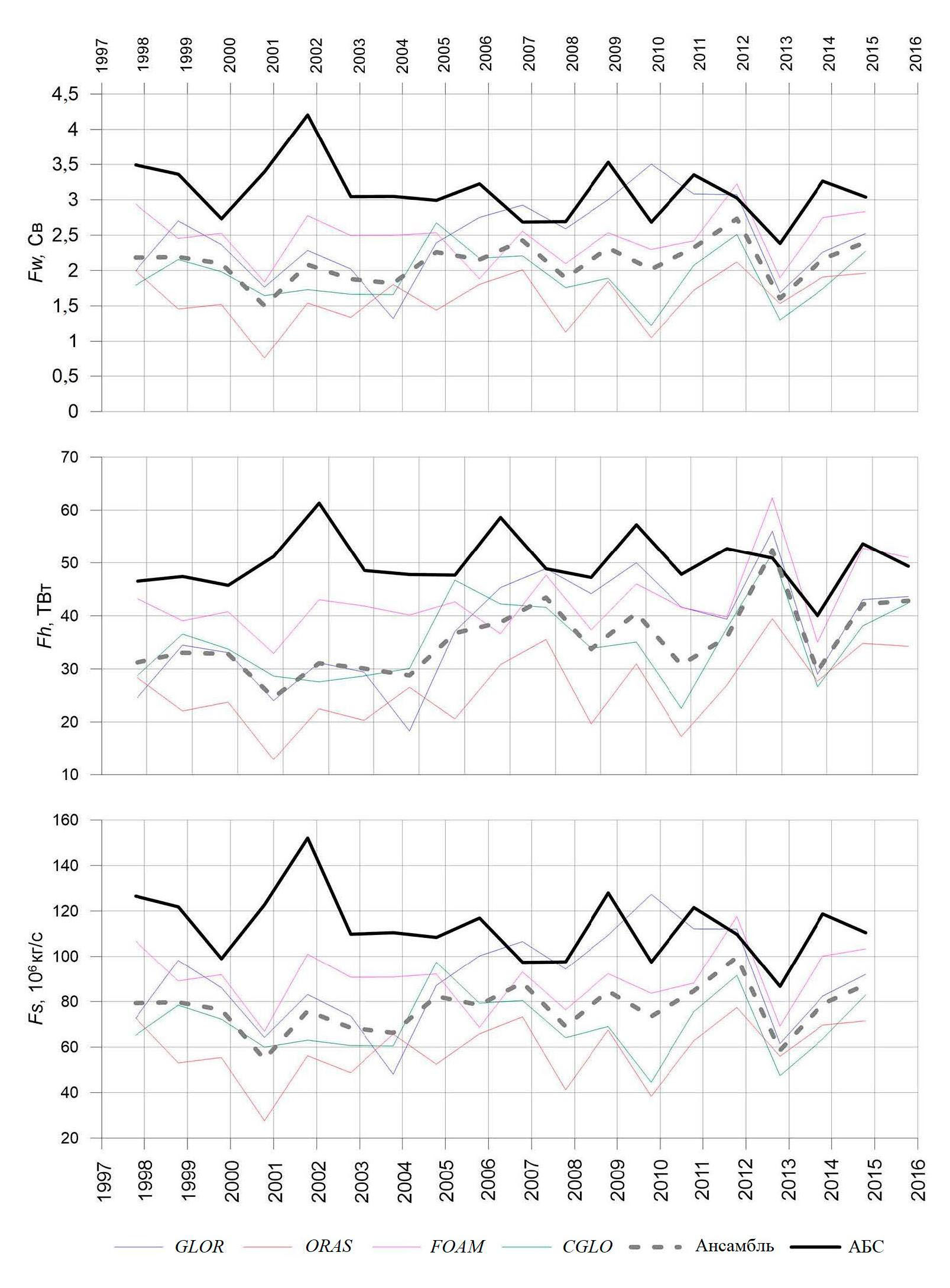
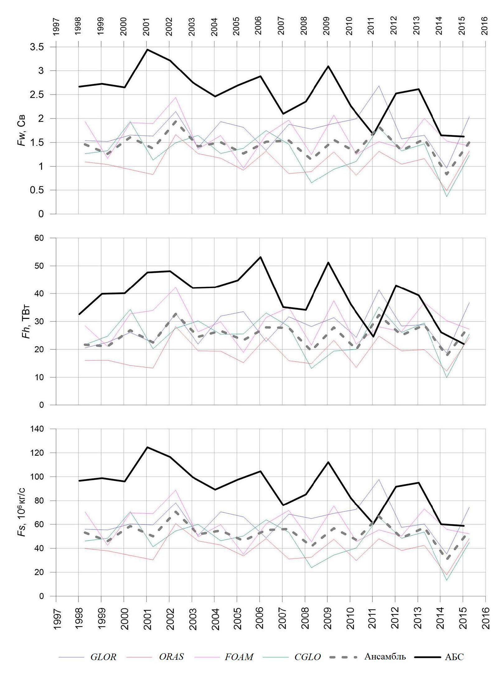
Сравнительный анализ данных инструментальных наблюдений и реанализов был начат с месячных данных. На рис. 4–6 приведены временные серии переносов объема, тепла и соли через пролив Фрама с 1997 по 2015 г. за различные периоды осреднения. Месячные серии были сглажены скользящим средним с окном в 11 месяцев, сезонные и годовые данные оставлены без изменений. Интегральные значения были рассчитаны для всего разреза (6,5° з. д. – 8° в. д.) и по всей толще вод.
Рис. 4. Временные серии тепломассопереноса через пролив Фрама по среднемесячным данным
Fig. 4. Time series of heat and mass transport through Fram Strait calculated by the monthly average data
Рис. 5. Временные серии тепломассопереноса через пролив Фрама по среднесезонным данным (апрель – сентябрь)
Fig. 5. Time series of heat and mass transport through Fram Strait calculated by the seasonal (April – September) average data
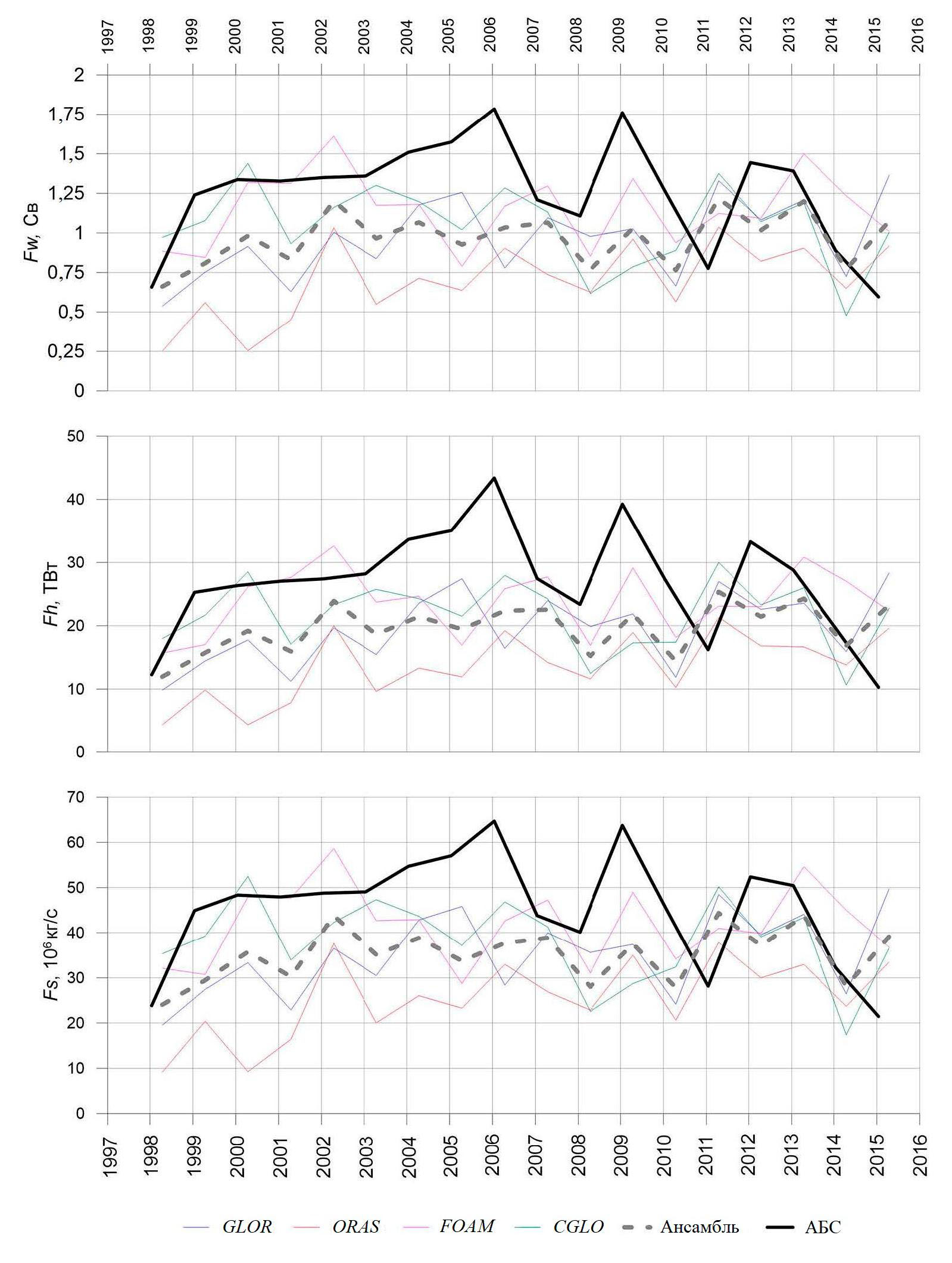
Рис. 6. Временные серии тепломассопереноса через пролив Фрама по среднесезонным данным (октябрь – март)
Fig. 6. Time series of heat and mass transport through Fram Strait calculated by the seasonal (October – March) average data
Из рис. 4 видно, что данные реанализов в целом занижают величину тепломассопереноса. Так, среднее значение переноса объема, по данным АБС, выше ансамблевого среднего более чем на 30 %, а его среднеквадратическое отклонение (СКО) – на 50 %. Аналогичная картина наблюдается в переносах тепла и соли (табл. 2).
Таблица 2
Table 2
Основные статистические характеристики исследуемых месячных рядов данных
Basic statistical characteristics of the studied monthly series of data
Параметр / Parameter | GLOR | ORAS | FOAM | CGLO | Ансамбль / Ensemble | АБС / Mooring |
Fw | ||||||
Минимум / Minimum Максимум / Maximum Среднее / Average СКО / Standard deviation Дисперсия / Dispersion | 1,57
3,05
2,11
0,37
0,14 | 0,98
1,76
1,34
0,24
0,06 | 1,53
2,44
2,05
0,23
0,05 | 1,00
2,15
1,63
0,31
0,10 | 1,43
2,33
1,78
0,2
0,04 | 2,26
3,57
2,79
0,34
0,12 |
Fh | ||||||
Минимум / Minimum Максимум / Maximum Среднее / Average СКО / Standard deviation Дисперсия / Dispersion | 24,0
46,0
33,0
6,0
36,0 | 16,0
31,0
22,0
5,0
25,0 | 27,0
42,0
36,0
4,0
16,0 | 22,0
42,0
30,0
6,0
36,0 | 24,0
40,0
31,0
4,0
16,0 | 38,0
54,0
44,0
5,0
25,0 |
Fs | ||||||
Минимум / Minimum Максимум / Maximum Среднее / Average СКО / Standard deviation Дисперсия / Dispersion | 57,0
111,0
77,0
14,0
196,0 | 36,0
64,0
49,0
9,0
81,0 | 56,0
89,0
75,0
8,0
64,0 | 36,0
79,0
59,0
11,0
121,0 | 52,0
85,0
65,0
7,0
49,0 | 82,0
129,0
101,0
12,0
144,0 |
Сезонные временные серии (рис. 5–6) показывают, что реанализы недооценивают тепломассоперенос в летний период, тогда как в зимний наблюдается лучшая согласованность. Годовое осреднение логично занимает промежуточное положение (рис. 7).
Рис. 7. Временные серии тепломассопереносов через пролив Фрама по среднегодовым данным
Fig. 7. Time series of heat and mass transport through Fram Strait calculated by the annual average data
Рассогласованность между данными АБС и реанализами может быть частично объяснена методикой обработки данных измерений. В отличие от реанализов, где нет отсутствующих значений, данные наблюдений не являются непрерывными. Используемые алгоритмы пространственного осреднения могут вносить существенный вклад в качество восстановленного поля. В данном исследовании мы использовали обыкновенный кригинг, который показал удовлетворительные результаты. Кригинг является чувствительным к линейно расположенным данным, а также дубликатам данных. Следует отметить, что проблема экстраполяции так же остро стоит при обработке данных АБС. Зачастую первый горизонт находится ниже 50 м, а последний не доходит до дна. Для расчета интегральных переносов мы вынуждены использовать фиксированный слой (в данном исследовании – вся толща вод). Для этого первый горизонт измерения экстраполируется на поверхность. Придонные горизонты восстанавливаются с помощью интерполяции (если в округе есть другие наблюдения). Еще одним фактором, объясняющим расхождения в оценках тепломассопереноса, может быть недостаточно точная оценка рециркулирующих вод в проливе Фрама в данных реанализов.
Тепломассопереносы в ядре Атлантических вод
Для оценки того, насколько существенно влияют перечисленные в предыдущем подразделе недостатки данных инструментальных наблюдений и продуктов реанализа на результат сравнения рассчитанных по ним процессов тепломассопереноса, был проведен сравнительный анализ рядов значений тепломассопереноса в ядре АВ (температура выше 2 °C) [10, 21]. Это позволило исключить экстраполяцию данных, повысить качество пространственной интерполяции и не рассматривать рециркуляционные ветви АВ в проливе Фрама. Кроме того, оценка тепломассопереноса в ядре АВ сама по себе представляет фундаментальный научный интерес [11]. Методика расчета интегральных переносов объема, тепла и массы была аналогична описанной выше для всего пролива Фрама. Результаты расчетов представлены в табл. 3.
Таблица 3
Table 3
Основные статистические характеристики исследуемых среднемесячных рядов данных для атлантических вод
Basic statistical characteristics of the studied monthly series of data for the Atlantic Ocean waters
Параметр / Parameter | GLOR | ORAS | FOAM | CGLO | Ансамбль / Ensemble | АБС / ooring |
Fw | ||||||
Минимум / Minimum Максимум / Maximum Среднее / Average СКО / Standard deviation Дисперсия / Dispersion | 0,00
2,44
1,02
0,60
0,36 | 0,00
2,58
0,78
0,52
0,27 | 0,00
3,20
1,39
0,61
0,37 | 0,00
2,87
1,25
0,52
0,27 | 0,00
2,52
1,11
0,45
0,20 | 0,00
3,59
1,47
0,64
0,41 |
Fh | ||||||
Минимум / Minimum Максимум / Maximum Среднее / Average СКО / Standard deviation Дисперсия / Dispersion | 0,0
54,0
21,0
13,0
169,0 | 0,0
47,0
15,0
11,0
121,0 | 0,0
69,0
29,0
13,0
169,0 | 0,0
60,0
26,0
11,0
121,0 | 0,0
55,0
23,0
10,0
100,0 | 0,0
87,0
32,0
15,0
225,0 |
Fs | ||||||
Минимум / Minimum Максимум / Maximum Среднее / Average СКО / Standard deviation Дисперсия / Dispersion | 0,0
89,0
37,0
22,0
484,0 | 0,0
94,0
28,0
19,0
361,0 | 0,0
117,0
51,0
22,0
484,0 | 0,0
105,0
46,0
19,0
361,0 | 0,0
92,0
40,0
16,0
256,0 | 0,0
130,0
53,0
23,0
529,0 |
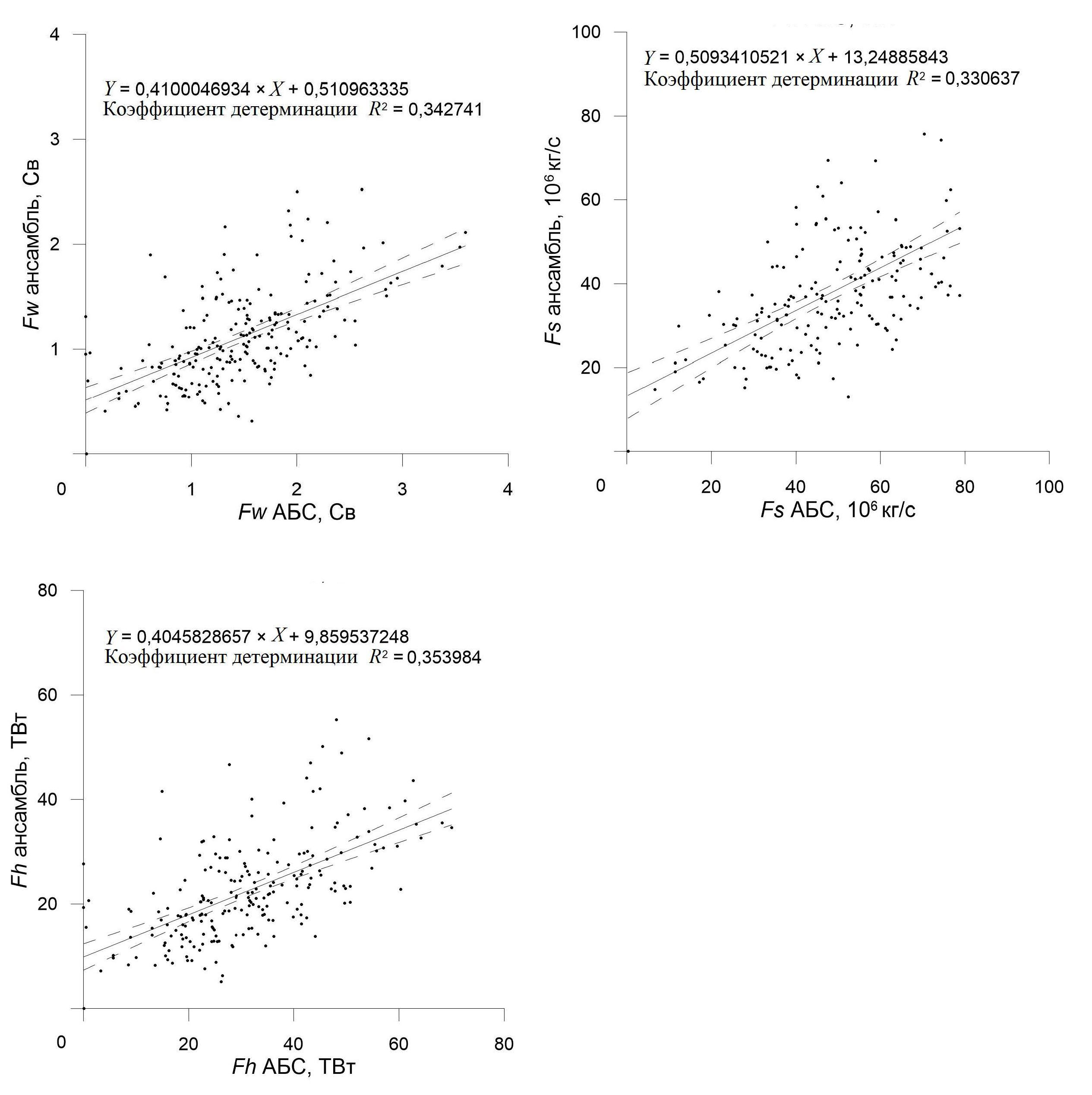
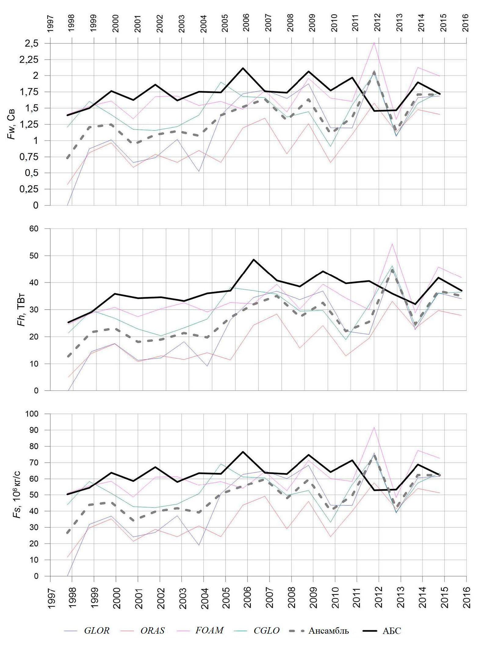
Из рис. 7 видно, что значения тепломассопереноса внутри Атлантических вод имеют значительно лучшую согласованность. Данные АБС по-прежнему показывают завышенные оценки, но величина невязки не превышает 25 % от ансамблевого среднего. Примечательно, что некоторые реанализы оказались значительно ближе к данным АБС. Так, реанализ FOAM всего на 6 % недооценивает средние значения, а CGLO – на 15 %. Корреляционный анализ показал, что ансамбль реанализов показывает наилучшую согласованность с данными наблюдений (табл. 4). Если говорить об отдельной модели, то FOAM наиболее близко описывает натурные данные. Анализ сезонных данных показал, что в летний сезон реанализы все так же значительно недооценивают тепломассопереносы в атлантических водах. В зимний период наблюдается лучшая согласованность.
Таблица 4
Table 4
Коэффициенты корреляции среднемесячных данных АБС и реанализов
Correlation coefficients between monthly averaged mooring data and reanalyses
Перенос / Transport | GLOR | ORAS | FOAM | CGLO | Ансамбль / Ensemble |
Fw | 0,37 | 0,46 | 0,52 | 0,50 | 0,59 |
Fh | 0,47 | 0,53 | 0,55 | 0,51 | 0,62 |
Fs | 0,37 | 0,46 | 0,52 | 0,50 | 0,59 |
С учетом значительно лучшей согласованности результатов для ядра АВ, были построены уравнения регрессии, связывающие величины тепломассопереноса, рассчитанные по инструментальным наблюдениям и продуктам реанализов для ядра АВ (рис. 8).
Рис. 8. Уравнения линейной регрессии между данными АБС и ансамблем моделей
Fig. 8. Equations of linear regression between the mooring data and the model ensemble
Временные серии тепломассопереноса через пролив Фрама по среднемесячным, сезонным, и годовым данным для атлантических вод представлены на рис. 9–12.
Рис. 9. Временные серии тепломассопереноса через пролив Фрама по среднемесячным данным для атлантических вод
Fig. 9. Time series of heat and mass transport through Fram Strait calculated by the monthly average data for the Atlantic Ocean waters
Рис. 10. Временные серии тепломассопереноса через пролив Фрама за летний сезон (апрель – сентябрь) для атлантических вод
Fig. 10. Time series of heat and mass transport through Fram Strait over a summer season (April – September) for the Atlantic Ocean waters
Рис. 11. Временные серии тепломассопереноса через пролив Фрама за зимний сезон (октябрь – март) для атлантических вод
Fig. 11. Time series of heat and mass transport through Fram Strait over a winter season (October – March) for the Atlantic Ocean waters
Рис. 12. Годовые временные серии тепломассопереноса через пролив Фрама для атлантических вод
Fig. 12. Annual time series of heat and mass transport through Fram Strait for the Atlantic Ocean waters
Выводы
В данном исследовании был проведен сравнительный анализ процессов тепломассопереноса в проливе Фрама, рассчитанных по данным натурных наблюдений (АБС AWI и NPI) и реанализов GLOR, ORAS, FOAM и CGLO. Данные АБС были интерполированы в узлы регулярной сетки с помощью обыкновенного кригинга (6,5° з. д. – 8° в. д., 25 м по вертикали).
Сравнение месячных данных показало, что реанализы в целом на 30 % недооценивают переносы объема, тепла и соли. Это может быть связано как с недостатками методов пространственной интерполяции, так и с тем, что модели недостаточно аккуратно оценивают воды рециркуляции.
Дополнительный анализ процессов тепломассопереноса, связанных с атлантическими водами (T > 2 °C), показал значительно лучшие результаты. Было выявлено, что ансамбль моделей наилучшим образом описывает изменчивость данных наблюдений. Если говорить об отдельных продуктах, то предпочтение отдается реанализам FOAM и CGLO, описывающим большую часть временной изменчивости на АБС.
Сравнение сезонных данных выявило, что согласованность в зимний период (октябрь – март) выше, чем в летний (апрель – сентябрь). Это может быть связано как с недостатками реанализов (учет таяния льда), так и с тем, что АБС обычно меняются в летний период, что может приводить к дополнительным ошибкам при объединении временных серий.
1 URL: https://uaf-iarc.org/nabos/ (дата обращения: 03.06.2024).
2 URL: http://www.argo.ucsd.edu/ (дата обращения: 03.06.2024).
3 URL: https://www2.whoi.edu/site/itp/ (дата обращения: 03.06.2024).
4 Physical oceanography and current meter data from moorings F1-F14 and F15/F16 in the Fram Strait, 1997-2016 : [dataset bibliography] / W.-J. von Appen, A. Beszczynska-Möller, U. Schauer, E. Fahrbach ; PANGAEA. Electronic data, 2019. https://doi.org/10.1594/PANGAEA.900883
5 Physical oceanography and current meter data (including raw data) from FRAM moorings in the Fram Strait, 2016-2018: [dataset bibliography] / W.-J. von Appen; PANGAEA, Electronic data, 2019. https://doi.org/10.1594/PANGAEA.904565
6 Moored current meter data from the western Fram Strait 1997-2009: [Data set] / L. de Steur; Norwegian Polar Institute. Electronic data, 2019. https://doi.org/10.21334/npolar.2019.8bb85388
7 Moored current meter and hydrographic data from the Fram Strait Arctic Outflow Observatory since 2009: [Data set] / L. de Steur; Norwegian Polar Institute. Electronic data, 2021. https://doi.org/10.21334/npolar.2021.c4d80b64
8 GLOBAL_MULTIYEAR_PHY_ENS_001_031: Global Ocean Ensemble Physics Reanalysis / Copernicus Marine Service Information (CMEMS). Marine Data Store (MDS). https://doi.org/10.48670/moi-00024 (date of access: 04.06.2024).
About the authors
A. V. Smirnov
Arctic and Antarctic Research Institute
Author for correspondence.
Email: avsmir@aari.ru
ORCID iD: 0000-0003-3231-7283
SPIN-code: 4473-2959
Scopus Author ID: 56264603400
ResearcherId: J-5935-2014
старший научный сотрудник
Russian Federation, Saint-PetersburgV. V. Ivanov
Arctic and Antarctic Research Institute; M. V. Lomonosov Moscow State University
Email: avsmir@aari.ru
SPIN-code: 9424-7920
главный научный сотрудник
Russian Federation, Saint-Petersburg; MoscowA. A. Sokolov
Arctic and Antarctic Research Institute
Email: avsmir@aari.ru
SPIN-code: 6030-5725
ведущий инженер, Центр Ледовой Гидрометеорологической информации
Russian Federation, Saint-PetersburgReferences
- Ribal A., Young I. R. 33 years of globally calibrated wave height and wind speed data based on altimeter observations // Scientific Data. 2019. Vol. 6. 77. https://doi.org/10.1038/s41597-019-0083-9
- Ribal A., Young I. R. Calibration and cross validation of global ocean wind speed based on scatterometer observations // Journal of Atmospheric and Oceanic Technology. 2020. Vol. 37, iss. 2. P. 279–297. https://doi.org/10.1175/JTECH-D-19-0119.1
- World ocean heat content and thermosteric sea level change (0–2000 m), 1955-2010 / S. Levitus [et al.] // Geophysical Research Letters. 2012. Vol. 39, iss. 10. L10603. https://doi.org/10.1029/2012GL051106
- Evaluation of global monitoring and forecasting systems at Mercator Océan / J.-M. Lellouche [et al.] // Ocean Science. 2013. Vol. 9, iss. 1. P. 57–81. https://doi.org/10.5194/os-9-57-2013
- Recent updates to the Copernicus Marine Service global ocean monitoring and forecasting real-time 1∕12° high-resolution system / J.-M. Lellouche [et al.] // Ocean Science. 2018. Vol. 14, iss. 5. P. 1093–1126. https://doi.org/10.5194/os-14-1093-2018
- Blindheim J., Østerhus S. The Nordic Seas, main oceanographic features // The Nordic Seas: an integrated perspective / H. Drange, T. Dokken, T. Furevik, R. Gerdes, W. Berger (eds.). Washington, D. C.: American Geophysical Union, 2005. P. 11–37. https://doi.org/10.1029/158GM03
- Тимофеев В. Т. Водные массы Арктического бассейна. Ленинград : Гидрометиздат, 1960. 191 с.
- North Atlantic warming: Patterns of long-term trend and multidecadal variability / I. V. Polyakov [et al.] // Climate Dynamics. 2010. Vol. 34, iss. 2-3. P. 439–457. https://doi.org/10.1007/s00382-008-0522-3
- On climatological mass, heat, and salt transports through the Barents Sea and Fram Strait from a pan-Arctic coupled ice-ocean model simulation / W. Maslowski [et al.] // Journal of Geophysical Research: Oceans. 2004. Vol. 109, iss. C3. C03032. https://doi.org/10.1029/2001JC001039
- Arctic warming through the Fram Strait: Oceanic heat transport from 3 years of measurements / U. Schauer [et al.] // Journal of Geophysical Research: Oceans. 2004. Vol. 109, iss. C6. C06026. https://doi.org/10.1029/2003JC001823
- Variability in Atlantic water temperature and transport at the entrance to the Arctic Ocean, 1997–2010 / A. Beszczynska-Möller [et al.] // ICES Journal of Marine Science. 2012. Vol. 69, iss. 5. P. 852–863. https://doi.org/10.1093/icesjms/fss056
- Иванов В. В. Атлантические воды в Западной Арктике // Опыт системных океанологических исследований в Арктике / под ред. А. П. Лисицына, М. Е. Виноградова, Е. А. Романкевича. Москва : Научный мир, 2001. С. 76–91.
- Aagaard K., Coachman L. K. and Carmack E. On the halocline of the Arctic Ocean // Deep Sea Research Part A. Oceanographic Research Papers. 1981. Vol. 28, iss. 6. P. 529–545. https://doi.org/10.1016/0198-0149(81)90115-1
- Results of the first arctic heat open science experiment / K. R. Wood [et al.] // Bulletin of the American Meteorological Society. 2018. Vol. 99, iss. 3. P. 513–520. https://doi.org/10.1175/BAMS-D-16-0323.1
- Carton J. A., Penny S. G., Kalnay E. Temperature and salinity variability in the SODA3, ECCO4r3, and ORAS5 ocean reanalyses, 1993–2015 // Journal of Climate. 2019. Vol. 32, iss. 8. P. 2277–2293. https://doi.org/10.1175/JCLI-D-18-0605.1
- On the variability of stratification in the freshwater-influenced Laptev Sea Region / M. A. Janout [et al.] // Frontiers in Marine Science. 2020. Vol. 7. 543489. https://doi.org/10.3389/fmars.2020.543489
- Direct measurements of volume transports through Fram Strait / E. Fahrbach [et al.] // Polar Research. 2001. Vol. 20, no. 2. P. 217–224. https://doi.org/10.3402/polar.v20i2.6520
- Evaluation of global monitoring and forecasting systems at Mercator Océan / J.-M. Lellouche [et al.] // Ocean Science. 2013. Vol. 9, iss. 1. P. 57–81. https://doi.org/10.5194/os-9-57-2013
- Wackernagel H. Ordinary Kriging // Multivariate Geostatistics. Berlin ; Heidelberg : Springer, 1995. P. 74–81. https://doi.org/10.1007/978-3-662-03098-1_11
- Кораблев А. А., Пнюшков А. В., Смирнов А. В. Технология создания баз океанографических данных на примере Северо-Европейского бассейна Арктики // Ученые записки Российского государственного гидрометеорологического университета. 2008. № 1. С. 89–108. EDN NDSFRN.
- Impact of recirculation on the East Greenland Current in Fram Strait: Results from moored current meter measurements between 1997 and 2009 / L. De Steur [et al.] // Deep Sea Research Part I: Oceanographic Research Papers. 2014. Vol. 92. P. 26–40. https://doi.org/10.1016/j.dsr.2014.05.018
Supplementary files














