Характеристики сдвиговых потоков, индуцированных внутренними волнами на сахалинском шельфе (Охотское море)
- Авторы: Рувинская Е.А.1, Куркина О.Е.1, Куркин А.А.1
-
Учреждения:
- Нижегородский государственный технический университет им. Р. Е. Алексеева
- Выпуск: Том 41, № 1 (2025)
- Страницы: 66-82
- Раздел: Математическое моделирование морских систем
- URL: https://journal-vniispk.ru/0233-7584/article/view/285343
- EDN: https://elibrary.ru/ILYYSD
- ID: 285343
Цитировать
Полный текст
Аннотация
Цель. Исследованы характеристики сдвиговых потоков, индуцированных внутренними волнами на северо-восточном шельфе о. Сахалин, на основе результатов численного моделирования трансформации баротропного прилива вдоль выбранных двумерных (вертикальная плоскость) разрезов.
Методы и результаты. В качестве исходных данных для инициализации численной модели гидродинамики невязкой несжимаемой стратифицированной жидкости в приближении Буссинеска использовались данные из климатического атласа WOA18 с разрешением 0,25° для летнего сезона, а также батиметрия из GEBCO_2014 с разрешением 1 мин. На глубоководной границе задавался приливный форсинг из модели TOPEX/Poseidon Global Tidal Model (TPXO8), основанной на данных спутниковой альтиметрии. Диаграммы вероятности превышения уровня придонных и приповерхностных скоростей (на фиксированных глубинах 15 м над уровнем дна и 15 м ниже уровня поверхности) строились с учетом направления (знака) и по абсолютному значению, после чего выделялись скорости на уровне вероятности 0,05, 0,1 и 0,15 и, наоборот, определялась вероятность, с которой будет превышена скорость 0,25 или 0,3 м/c. По полученным значениям построены карты.
Выводы. Показано, что исследуемые сдвиговые потоки нелинейны и характеризуются существенной асимметрией в распределении как по направлению (от берега / к берегу), так и по глубине (в придонном и приповерхностном слое). На участках с глубиной моря 700–800 м ярко выражена совокупность точек, где абсолютные приповерхностные скорости в несколько раз превосходят придонные. Основные зоны, содержащие локальные максимумы поля скоростей, расположены на севере – от м. Елизаветы до залива Пильтун, еще одна – от м. Беллинсгаузена до м. Терпения.
Ключевые слова
Полный текст
Введение
Мониторинг и прогнозирование волнового климата, особенно в шельфовой зоне, играет очень важную роль в планировании хозяйственной деятельности человека, инженерных изысканиях и определении потенциального воздействия на прибрежную экосистему. Оценка параметров волнового поля и их картографирование на основе данных долгосрочных наблюдений необходимы на начальных этапах проектирования различных гидротехнических систем (от нефтегазодобывающих платформ до преобразователей волновой энергии [1]) и для дальнейшей эксплуатации объектов морской инфраструктуры, поскольку все эти величины являются входными параметрами моделей, позволяющих прогнозировать нагрузки на конструкции, потенциальные размывы грунтов и распространение примесей и загрязнений. Так, в контексте получения волновой энергии в последние десятилетия активно создаются как глобальные, так и региональные (в том числе с учетом сезонности) атласы волновой мощности [2–4]; для множества хозяйственных нужд визуализируются значительные высоты волн и направления течений с использованием математического моделирования и спутниковых наблюдений. Материал на эту тему представлен в работе [5], а также на сайтах проектов Европейского центра среднесрочных прогнозов погоды https://charts.ecmwf.int/, Бюро метеорологии при правительстве Австралии http://www.bom.gov.au/marine/waves.shtml, Национальной лаборатории возобновляемых источников энергии Министерства энергетики США https://portal.midatlanticocean.org/ и др. Таким образом, картографирование характеристик волнового поля – это современный тренд, связанный с совершенствованием техник наблюдения и моделирования волнового климата.
Северо-восточный шельф о. Сахалин подвержен влиянию сильных приливов со сложной структурой и сезонной изменчивостью (что подтверждается подробными инструментальными исследованиями, проводимыми на протяжении последних десятилетий в связи с разведкой углеводородного сырья и необходимостью обеспечения экологического мониторинга в районах добычи нефти и газа [6, 7]).
Очевидно, что одной из ключевых компонент волнового климата в исследуемом регионе являются внутренние волны (и индуцированные ими течения), часто регистрируемые в том числе на спутниковых изображениях. Например, в работе [8] в ходе спутникового радиолокационного мониторинга нефтяных пятен получены новые снимки цугов внутренних волн, активно генерируемых в зоне наблюдений.
Специфика пространственной структуры поля внутренних волн делает подробное описание их параметров с помощью инструментальных методов задачей крайне сложной и требующей огромных финансовых вложений. Как отмечается в работе [9], несмотря на то, что современные датчики более компактны, надежны, чувствительны и легки, потребляют меньше энергии для записи и передачи данных, по-прежнему потребляемая мощность является одним из основных ограничений для разработки систем, обеспечивающих длительные измерения с хорошим пространственным разрешением. Поэтому основная часть наблюдений внутренних волн выполняется методами радиолокационного зондирования (см., например, одну из последних работ по этой теме [10]), что позволяет получить представление о местах генерации, периодах, количестве волн в цугах, но не дает представления о вертикальной структуре волнового поля, особенно важной для оценки влияния бароклинных потоков на объекты морской инфраструктуры и экосистему в целом.
Двух- и трехмерное численное моделирование динамики внутренних волн дает возможность отчасти компенсировать скудость натурных наблюдений и неполноту получаемой информации о структуре волнового поля. Численные модели стали незаменимым инструментом для исследования бароклинных процессов, поскольку позволяют весьма реалистично и точно описывать сценарии трансформации бароклинных волн в шельфовой зоне. Более подробно о современных моделях, используемых для этого типа задач, написано в работах 1, [11].
На первом этапе нашей работы изучалась трансформация многокомпонентного баротропного прилива в Охотском море в рамках полнонелинейной негидростатической модели. Были получены представленные в виде географических карт оценки амплитуд волн суточного и полусуточного бароклинного прилива в терминах смещения изопикнических поверхностей на различных горизонтах. Показано, что распределение амплитуд существенно зависит от глубины, имеет сложную пространственную структуру с заметным преобладанием амплитуд бароклинных волн суточного периода и основными экстремумами, расположенными на шельфе напротив м. Елизаветы, Охинского перешейка и м. Терпения [12].
Целью настоящего исследования является изучение пространственной структуры бароклинных течений на северо-восточном шельфе о. Сахалин, а именно построение карт распределения значений горизонтальной приповерхностной (15 м от поверхности) и придонной (15 м над дном) скоростей в направлении от берега и к берегу, которые будут превышены с вероятностью 0,05 или 0,15, а также карт уровней вероятности превышения значений придонной скорости 0,25 и 0,3 м/c также в направлении от берега и к нему.
Математическая модель и алгоритмы построения карт пороговых значений
Динамика внутренних волн исследовалась в рамках программного комплекса, реализующего процедуру численного интегрирования полнонелинейной (вертикальная плоскость) системы уравнений гидродинамики невязкой несжимаемой стратифицированной жидкости в приближении Буссинеска с учетом влияния баротропного прилива и вращения Земли [13]. На открытой глубоководной границе выбранных разрезов задавался баротропный форсинг в виде многокомпонентного прилива (M2, S2, K1, O1, P1, Q1), амплитуды и фазы которого определены из модели TOPEX/Poseidon Global Tidal Model (TPXO8), основанной на данных спутниковой альтиметрии [14]. Отметим здесь, что существует два способа задания приливного воздействия: с помощью граничного условия и путем добавления объемной силы в уравнение баланса импульса [15]. В работе применяется первый метод, что обосновано спецификой используемой модели и неоднократной валидацией результата, в том числе сравнением с данными натурных наблюдений [13]. Информация о стратификации плотности морской воды взята из климатического атласа WOA18 с разрешением 0,25° для летнего сезона, а батиметрия – из GEBCO_2014 с разрешением 1 мин. Для того чтобы при моделировании учитывать только наиболее характерные особенности вертикального профиля плотности и батиметрии дна (данные из атласов вдоль разрезов дополнительно усреднялись по ширине 10–15 км в зависимости от рельефа), обе функции параметризовались. На рис. 1 представлена карта разрезов, вдоль которых проводилось численное моделирование динамики внутренних волн.
Рис. 1. Географическое расположение разрезов в Охотском море, вдоль которых проводилось моделирование динамики внутренних волн
Fig. 1. Geographical location of sections in the Sea of Okhotsk along which the internal wave dynamics are modeled
Подробное описание модели, а также волновой динамики вдоль отдельных разрезов дано в наших работах [16, 17]. Здесь обсудим дальнейшую обработку полученных результатов расчетов: выделение скорости на определенном горизонте, определение вероятностей превышения уровня и построение карт пороговых значений.
На первом шаге алгоритма из поля горизонтальной скорости выделялись значения, расположенные на линиях на 15 м ниже поверхности и выше дна. Если говорить о придонном пограничном слое (ППС), то его толщина зависит от множества факторов, включая интенсивность прилива, уклоны дна, ширóты [18]. Хороший обзор существующих эмпирических моделей, используемых для оценки толщины ППС, дан в [19]. Там же продемонстрированы результаты 15-дневного наблюдения толщины ППС на участке континентального шельфа с глубиной 250 м и достаточно сильными приливами (сравнимыми по амплитуде с используемыми в нашей модели). Показано, что в среднем ППС составлял ~ 10 м. Мы также опирались на оценки ППС, полученные при моделировании выбранных разрезов с помощью полнонелинейной негидростатической модели с вязкостью SUNTANS [20]. Хотя отсутствие вязкости в используемой модели не позволяет реалистично описывать течения, возникающие в пограничном слое, за его пределами в докритических режимах в целом различия волновых полей, полученных в невязкой и вязкой модели, не будут существенными [21]. Руководствуясь соображениями симметрии и принимая во внимание, что горизонт z = –15 м не попадает в верхний пикноклин для всех разрезов, авторы анализировали скорости на выбранной глубине 15 м в приповерхностном слое.
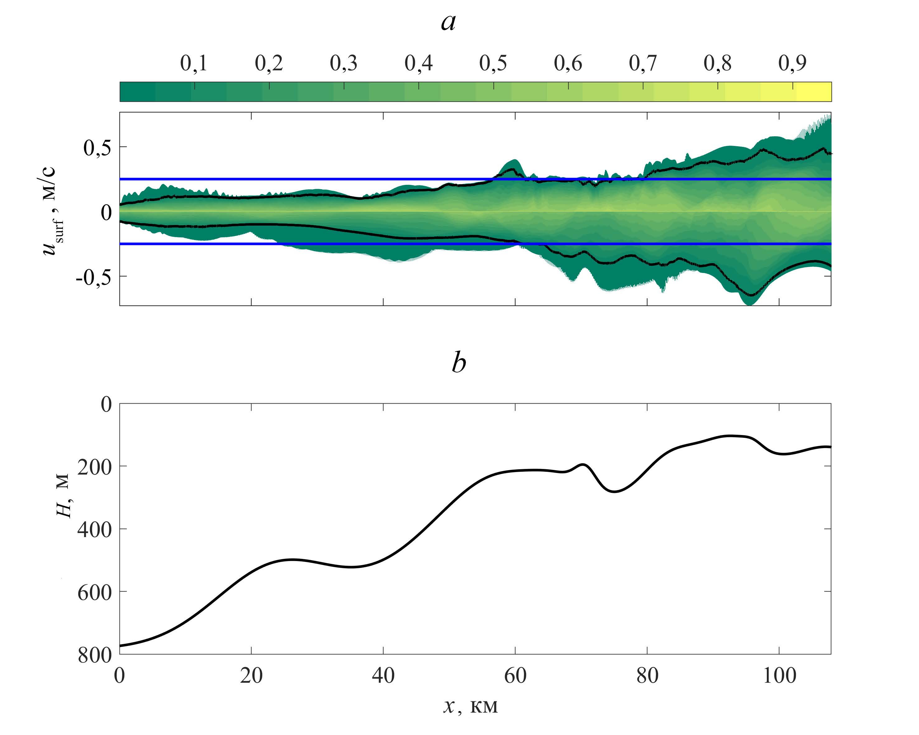
В качестве примера на рис. 2 представлена x–t диаграмма приповерхностных горизонтальных скоростей на разрезе 16.
Рис. 2. Пространственно-временная (x–t) диаграмма для приповерхностных (выделенных на глубине 15 м) скоростей на разрезе 16
Fig. 2. Spatio-temporal (x–t) diagram for the near-surface (fixed at the 15 m depth) velocities on section 16
На втором шаге алгоритма строились диаграммы вероятности превышения уровня для приповерхностной и придонной скорости с учетом направления (знака) и по абсолютному значению, после чего выделялись скорости на уровне вероятности 0,05, 0,1 и 0,15 и наоборот – определялась вероятность, с которой будет превышена скорость 0,25 или 0,3 м/c. Выбор таких значений обусловлен оценками пороговых скоростей, при которых может наблюдаться смещение частиц грунта. Так, в работе [22] представлена методика определения характера движения донных отложений по значениям безразмерного параметра Роуза (Ro), который определен как отношение скорости падения (Ws) взвешенных частиц гидравлической крупности к динамической скорости неоднородного по вертикали водного потока :
, (1)
где β – отношение вихревой вязкости к вихревой диффузии (приблизительно равное единице); k – постоянная Кармана (равная 0,4). На рис. 3 приведена номограмма, позволяющая определить характер движения наносного материала: при коэффициенте параметра Ro ≥ 7 происходит инициирование движения наносов волновым потоком и частицы начинают двигаться в виде качения; увеличение скорости потока при 7,5 ≥ Ro ≥ 2,5 приводит к движению влекомых наносов; при 2,5 ≥ Ro ≥ 1,2 происходит сальтация частиц наносов; движение взвешенных наносов возникает при 1,2 ≥ Ro ≥ 0,8; интенсивное движение донных осадков, приводящее к значительным деформациям дна, происходит при Ro ≤ 0,8 [22].
Рис. 3. Номограмма характера движения наносов (адаптировано из работы [22, с. 379]); Vd – придонная волновая скорость
Fig. 3. Nomogram of sediment movement pattern (adapted from [22, p. 379]); Vd is near-bottom wave velocity
Воспользуемся картой донных отложений сахалинского шельфа из Национального атласа России, том 2, на сайте https://nationalatlas.ru/tom2. Видно, что при движении от береговой линии к глубоководной части мелкие (диаметр 0,1–0,25 мм), средние (0,25–0,5 мм) и крупные (0,5–1 мм) пески сменяются крупными алевритами (0,01–0,05 мм), мелкоалевритовыми илами, глинистыми алевритами и глинистыми илами на максимальной глубине. Скорости ~ 0,25 м/c для алевритов прослеживаются при Ro ≤ 0,8, что может привести к значительным деформациям дна. Перемещение донного мелкого и среднего песка также возможно, особенно при периодическом воздействии волн. Согласно работе 2, размывающие скорости для мелкого песка – 0,2–0,4 м/с, для легкой песчаной почвы – 0,3–0,45 м/с, такие же пороговые значения скоростей можно найти и в нормативных документах. И хотя скорость бароклинного потока измерялась в 15 м над уровнем дна на условной границе ППС, тот же порядок значений скоростей может наблюдаться и у дна. Это обусловлено тем, что течения, индуцированные наблюдаемыми солитонами внутренних волн, достигают максимума скорости у дна и поверхности бассейна и в модели не учитываются турбулентные потоки, которые могут генерироваться у дна.
На рис. 4 представлен пример диаграммы приповерхностных скоростей на разрезе 16. На рисунке также отмечены срез диаграммы вероятности превышения уровня приповерхностной скорости по значению 0,25 м/с и срез по вероятности 0,05. Верхняя часть графика соответствует положительным (по направлению к берегу) скоростям, тогда как нижняя часть – отрицательным. Асимметричность диаграммы характеризует сложную структуру волнового поля. Также по уровню вероятности и уровню скорости анализировались абсолютные значения скоростей в каждой точке трассы.
Рис. 4. Диаграмма вероятности превышения уровня приповерхностной (выделенной на глубине 15 м) скорости на разрезе 16 с учетом знака (направления): синяя линия – срез по значению 0,25 м/с; черная кривая – срез по вероятности 0,05 (а); нижний график – батиметрия дна (b)
Fig. 4. Diagram of probability of exceeding the near-surface (fixed at the 15 m depth) velocity level on section 16 with due regard for the sign (direction): blue line is a cut at value 0.25 m/s; black curve is a cut according to a probability 0.05 (a); lower graph shows bottom bathymetry (b)
Карты пороговых значений скоростей бароклинных течений
Перейдем к анализу полученных результатов. На рис. 5 показаны карты уровней вероятности превышения придонной и приповерхностной скоростей 0,25 м/c. Локальные максимумы вероятности достигаются на участках шельфа от м. Елизаветы до северной границы залива Пильтун, от южной окраины залива Пильтун до залива Чайво, напротив Луньского залива, а также в окрестности м. Беллинсгаузена. Для скоростей с учетом знака и их абсолютных значений расположение локальных максимумов в придонном и приповерхностном слоях совпадает, однако для абсолютных значений и скоростей, направленных от берега, вероятности в придонном слое в основном не ниже, чем в приповерхностном. У скоростей, направленных к берегу, наоборот, вероятности превышения уровня 0,25 м/c у поверхности, в основном, не меньше, чем в придонном слое. В северной части шельфа (до залива Чайво) расположены области, в которых уровни вероятности находятся в интервале 0,8–1 для абсолютных значений и 0,6–0,8 для скоростей, направленных к берегу и от него. Вероятности превышения уровня 0,25 м/c южнее залива Чайво достигают 0,8 на очень маленьких участках только для абсолютных скоростей, а для скоростей с учетом знака они не превышают 0,4.
Рис. 5. Карты уровней вероятности превышения (p) для придонной (слева) и приповерхностной (справа) скоростей 0,25 м/c по абсолютному значению (а), в направлении к берегу (b) и от берега (c)
Fig. 5. Maps of probability levels of exceeding (p) for the near-bottom (left) and near-surface (right) velocities 0.25 m/s according to the absolute values (a), towards the coast (b) and away from the coast (c)
Рис. 6. То же, что на рис. 5, для скорости 0,3 м/с
Fig. 6. The same as in Fig. 5, for velocity 0.3 m/s
На рис. 6 представлены карты уровней вероятности превышения для придонной и приповерхностной скорости 0,3 м/c. При сравнении рис. 5 и рис. 6 видно, что расположение максимумов совпадает, но вероятности меньше, что особенно заметно для областей, находящихся южнее залива Чайво.
Рис. 7. Карты распределения значений придонной (15 м над уровнем дна, слева) и приповерхностной (15 м от поверхности, справа) скоростей по абсолютному значению (а), в направлении к берегу (b) и от берега (c), которые будут превышены с вероятностью 0,05
Fig. 7. Maps of distribution of the near-bottom (15 m above the bottom; left) and near-surface (15 m below the surface; right) velocities values according to their absolute values (a), towards the coast (b) and away from the coast (c) that will be exceeded with a probability 0.05
Рис. 8. То же, что на рис. 7, при превышении с вероятностью 0,1
Fig. 8. The same as in Fig. 7, at exceeding with a probability 0.1
Рис. 9. То же, что на рис. 7, при превышении с вероятностью 0,15
Fig. 9. The same as in Fig. 7, at exceeding with a probability 0.15
На рис. 10–12 показаны диаграммы рассеяния придонных и приповерхностных скоростей по абсолютному значению и с учетом направления в зависимости от общей глубины в точке разреза и уровня вероятности, по которому могут быть превышены эти значения. На рис. 10 видно, что на всех диаграммах наблюдается максимальный разброс точек на участках моря с глубиной до ~ 500 м, а значения придонных и приповерхностных скоростей больше 0,5 м/c появляются при общей глубине меньше 300 м. При повышении уровня вероятности концентрация точек в верхней части облака (где скорости больше 1 м/c) закономерно понижается. На глубинах 700–800 м ярко выражена совокупность точек, где абсолютные значения приповерхностных скоростей в несколько раз больше, чем придонных. Учет направления скорости, а также глубины ее измерения (придонный или приповерхностный слой) существенно увеличивает разброс точек в зонах до 500 м (рис. 10, d), что еще раз свидетельствует о существенно нелинейном характере течений.
Рис. 10. Точечные диаграммы абсолютных значений придонной и приповерхностной скоростей по уровню вероятности 0,05 (а), 0,1 (b) и 0,15 (с), а также придонной скорости по направлению к берегу и абсолютных значений приповерхностной скорости по уровню вероятности 0,05 (d). Цветом показана общая глубина в точке
Fig. 10. Scatter plots of the absolute values of near-bottom and near-surface velocities at probability level 0.05 (a), 0.1 (b) and 0.15 (c), as well as near-bottom velocity towards the coast and absolute values of near-surface velocity at a probability level 0.05 (d). Color shows total depth at the point
На рис. 11 приведено распределение придонных скоростей по глубине. Отчетливо видно, что скорости от 0,25 м/c и выше достигаются только в точках с глубиной моря до 500 м, при этом на глубинах от 100 до 500 м преобладают придонные скорости в диапазоне 0,25–0,5 м/c при уровнях превышения вероятности p 0,05 и 0,15.
Рис. 11. Зависимость абсолютных значений придонной скорости по уровню вероятности 0,05 (а) и 0,15 (b) от общей глубины в точке
Fig. 11. Dependence of the near-bottom velocity absolute values at probability level 0.05 (a) and 0.15 (b) upon the total depth at the point
При исследовании корреляционной зависимости придонных/приповерхностных скоростей учтены направления (от берега / к берегу) (рис. 12). При сравнении рис. 12 и рис. 10 можно сделать вывод: учет направления приводит к тому, что облако точек на всех диаграммах становится шире, разброс увеличивается. При этом коэффициент регрессии остается близким к единице на всех графиках и составляет 0,9 (а, с), 0,95 (b), 0,94 (d, e), 0,89 (f) (рис. 12).
Рис. 12. Точечные диаграммы: придонной скорости в направлении от берега и приповерхностной – к берегу (а); придонной скорости от берега и к берегу (b); придонной скорости к берегу и приповерхностной от берега (c); приповерхностной скорости к берегу и от него (d); придонной и приповерхностной – к берегу (e); придонной и приповерхностной – от берега (f) по уровню вероятности 0,15. Цветом показана общая глубина в точке. Красная линия – линейная регрессия
Fig. 12. Scatter plots of: the near-bottom velocity directed from the coast and the near-surface one – towards the coast (a), the near-bottom velocity directed from the coast and towards it (b), the near-bottom velocity towards the coast and the near-surface one – away from the coast (c), the near-surface velocity towards the coast and away from it (d ), the near-bottom and near-surface velocities towards the coast (e), the near-bottom and near-surface velocities directed from the coast (f) at a probability level 0.15. Color shows total depth at the point. Red line is linear regression
Заключение
В настоящей работе исследована пространственная структура бароклинных течений на северо-восточном шельфе о. Сахалин: построены и проанализированы карты уровней вероятности превышения для придонной (в 15 м над уровнем дна) и приповерхностной (в 15 м от поверхности) скоростей 0,25 и 0,3 м/c (размывающие скорости для мелкого песка и легкой песчаной почвы) по абсолютному значению, в направлении к берегу и от него, а также карты распределения значений приповерхностной и придонной скоростей по их абсолютному значению, в направлении к берегу и от него с вероятностью превышения 0,05; 0,1; 0,15. Предвычисленные поля горизонтальной скорости получены при моделировании динамики внутренних волн с использованием 17 двумерных разрезов в рамках полнонелинейной модели, основанной на системе уравнений Эйлера в приближении Буссинеска. На всех картах основные локальные максимумы значений расположены на участках шельфа от м. Елизаветы до северной границы залива Пильтун, от южной окраины залива Пильтун до залива Чайво, напротив Луньского залива, а также в окрестности м. Беллинсгаузена.
Показано, что поле горизонтальной скорости существенно нелинейно: видна асимметрия как по направлению (от берега / к берегу), так и по глубине (в придонном и приповерхностном слоях). Для демонстрации этого вывода также построены диаграммы рассеяния различных комбинаций придонных и приповерхностных скоростей по абсолютному значению и с учетом направления. Максимальный разброс точек на всех диаграммах наблюдается на глубинах моря до ~ 500 м, а значения придонных и приповерхностных скоростей больше 0,5 м/c прослеживаются на глубинах меньше 300 м. Учет направления скорости и глубины замера (придонная/приповерхностная) приводит к увеличению разброса точек и ширины сечения облака точек (особенно при значениях больше 0,3 м/c), что, по всей видимости, связано со сложной нелинейной структурой поля горизонтальной скорости.
1 Gouillon F. Internal wave modeling in oceanic numerical models: impact of the model resolution on the wave dynamic, energetic and associated mixing : dissertation proposal. Florida State University, 2009. 29 p.
2 Максимовский Н. С. Очистка сточных вод. Москва : Изд-во Министерства коммунального хозяйства РСФСР, 1961. 352 с.
Об авторах
Екатерина А. Рувинская
Нижегородский государственный технический университет им. Р. Е. Алексеева
Автор, ответственный за переписку.
Email: e.rouvinskaya@gmail.com
ORCID iD: 0000-0002-3858-1731
SPIN-код: 9939-2276
Scopus Author ID: 54789183300
ResearcherId: A-2868-2014
научный сотрудник
Россия, Нижний НовгородОксана Е. Куркина
Нижегородский государственный технический университет им. Р. Е. Алексеева
Email: Oksana.Kurkina@mail.ru
ORCID iD: 0000-0002-4030-2906
SPIN-код: 9098-6373
Scopus Author ID: 36676379700
ResearcherId: G-9577-2011
ведущий научный сотрудник
Россия, Нижний НовгородАндрей А. Куркин
Нижегородский государственный технический университет им. Р. Е. Алексеева
Email: aakurkin@gmail.com
ORCID iD: 0000-0003-3828-6406
SPIN-код: 1390-3940
Scopus Author ID: 7003446660
ResearcherId: A-1972-2014
проректор по научной работе, заведующий кафедрой «Прикладная математика», научный руководитель научно-исследовательской лаборатории «Моделирование природных и техногенных катастроф»
Россия, Нижний НовгородСписок литературы
- Maisondieu C. WEC survivability threshold and extractable wave power // 11th European Wave and Tidal Energy Conference (EWTEC 2015), Nantes, France. 2015. P. 1–8.
- Arinaga R. A., Cheung K. F. Atlas of global wave energy from 10 years of reanalysis and hindcast data // Renewable Energy. 2012. Vol. 39, iss. 1. P. 49–64. https://doi.org/10.1016/j.renene.2011.06.039
- Gonçalves M., Martinho P., Guedes Soares C. Wave energy conditions in the western French coast // Renewable Energy. 2014. Vol. 62. P. 155–163. https://doi.org/10.1016/j.renene.2013.06.028
- Garcia-Medina G., Özkan-Haller H. T., Ruggiero P. Wave resource assessment in Oregon and southwest Washington, USA // Renewable Energy. 2014. Vol. 64. P. 203–214. https://doi.org/10.1016/j.renene.2013.11.014
- Grigorieva V., Badulin S., Gulev S. Global validation of SWIM/CFOSAT wind waves against voluntary observing ship data // Earth and Space Science. 2022. Vol. 9, iss. 3. e2021EA002008. https://doi.org/10.1029/2021EA002008
- Шевченко Г. В., Беседин Д. Е. Характеристики течений на северо-восточном шельфе ост-рова Сахалин в холодный период года по данным инструментальных измерений // Ме-теорология и гидрология. 2020. № 6. С. 87–97. EDN ZEWGNB.
- Особенности пространственной изменчивости гармонических постоянных приливных течений суточных волн на северо-восточном шельфе о. Сахалин (по материалам эколо-гического мониторинга нефтегазоносных площадей) / В. Г. Яричин [и др.] // Труды ДВНИГМИ. Владивосток : Дальнаука, 2012. Вып. 154. С. 145–186. EDN PZESWP.
- Спутниковый радиолокационный мониторинг шельфа острова Сахалин / А. С. Колесни-кова [и др.] // Актуальные проблемы освоения биологических ресурсов Мирового океана : Материалы VII Международной научно-технической конференции, Владивосток, 19–20 мая 2022 года. Владивосток : Дальневосточный государственный технический рыбо-хозяйственный университет, 2022. С. 108–112. EDN WTROXF.
- A modular wave energy converter for observational and navigational buoys / N. Vella [et al.] // Fluids. 2022. Vol. 7, iss. 2. 88. https://doi.org/10.3390/fluids7020088
- Surface manifestations of short-period internal waves in the Sea of Okhotsk and the Kuril-Kamchatka Region of the Pacific Ocean / E. I. Svergun [et al.] // Complex Investigation of the World Ocean (CIWO-2023). Cham : Springer, 2023. P. 141–149. (Springer Proceedings in Earth and Environmental Sciences). https://doi.org/10.1007/978-3-031-47851-2_17
- Li J., Zhang Q., Chen T. ISWFoam: a numerical model for internal solitary wave simulation in continuously stratified fluids // Geoscientific Model Development. 2022. Vol. 15, iss. 1. P. 105–127. https://doi.org/10.5194/gmd-15-105-2022
- Рувинская Е. А., Куркина О. Е., Куркин А. А. Пространственное распределение амплитуд внутренних приливных волн на северо-восточном шельфе о. Сахалин // Доклады Россий-ской академии наук. Науки о Земле. 2023. T. 509, № 1. С. 81–86. EDN TIIJEG. https://doi.org/10.31857/S2686739722602551
- Lamb K. Numerical experiments of internal wave generation by strong tidal flow across a finite amplitude bank edge // Journal of Geophysical Research: Oceans. 1994. Vol. 99, iss. C1. P. 843–864. https://doi.org/10.1029/93JC02514
- Egbert G. D., Erofeeva S. Y. Efficient inverse modeling of barotropic ocean tides // Journal of Atmospheric and Oceanic Technology. 2002. Vol. 19, iss. 2. P. 183–204. https:/doi.org/10.1175/1520-0426(2002)019<0183:EIMOBO>2.0.CO;2
- Vlasenko V., Stashchuk N., Hutter K. Baroclinic Tides: Theoretical modeling and observational evidence. Cambridge : Cambridge University Press, 2005. https://doi.org/10.1017/CBO9780511535932
- Рувинская Е. А., Куркина О. Е., Куркин А. А. Перенос частиц и динамические эффекты при трансформации бароклинной приливной волны в условиях шельфа дальневосточных мо-рей // Экологические системы и приборы. 2021. № 11. С. 109–118. EDN WVOMCA. https:/doi.org/10.25791/esip.11.2021.1270
- Transformation of baroclinic tidal waves in the conditions of the shelf of the Far Eastern seas / P. D. Kuznetsov [et al.] // IOP Conference Series: Earth and Environmental Sciences. 2021. Vol. 946. 012024. https:/doi.org/10.1088/1755-1315/946/1/012024
- Holloway P. E., Barnes B. A numerical investigation into the bottom boundary layer flow and vertical structure of internal waves on a continental slope // Continental Shelf Research. 1998. Vol. 18, iss. 1. P. 31–65. https://doi.org/10.1016/s0278-4343(97)00067-8
- Mean and turbulent characteristics of a bottom mixing-layer forced by a strong surface tide and large amplitude internal waves / A. P. Zulberti [et al.] // Journal of Geophysical Research: Oceans. 2022. Vol. 127, iss. 1. e2020JC017055. https://doi.org/10.1029/2020JC017055
- Приближенные оценки силового воздействия бароклинных потоков на цилиндрические опоры в условиях шельфа о. Сахалин / П. Д. Кузнецов [и др.] // Экологические системы и приборы. 2023. № 10. С. 56–66. https://doi.org/10.25791/esip.10.2023.1406
- Soontiens N., Stastna M., Waite M. Topographically generated internal waves and boundary layer instabilities // Physics of Fluids. 2015. Vol. 27, iss. 8. 086602. https://doi.org/10.1063/1.4929344
- Кузнецова М. Н., Плинк Н. Л. Методические расчеты для предварительной оценки харак-теристик транспорта наносов // Труды II Всероссийской конференции «Гидрометеороло-гия и экология: достижения и перспективы и развития». Санкт-Петербург : Химиздат, 2018. С. 377–380. EDN YYMICL.
Дополнительные файлы















