Численное 2D-моделирование трансформации дождевого стока на водосборе г. Геленджика с учетом нагорного коллектора и аккумулирующих резервуаров
- Авторы: Беликов В.В.1, Борисова Н.М.2
- 
							Учреждения: 
							- Институт водных проблем Российской академии наук (ИВП РАН)
- Институт водных проблем Российской академии наук
 
- Выпуск: Том 50, № 4 (2023)
- Страницы: 385-394
- Раздел: МАТЕМАТИЧЕСКИЕ МОДЕЛИ В РЕШЕНИИ ЗАДАЧ ГИДРОЛОГИИ СУШИ
- URL: https://journal-vniispk.ru/0321-0596/article/view/134866
- DOI: https://doi.org/10.31857/S0321059623040041
- EDN: https://elibrary.ru/QKDDZL
- ID: 134866
Цитировать
Полный текст
Аннотация
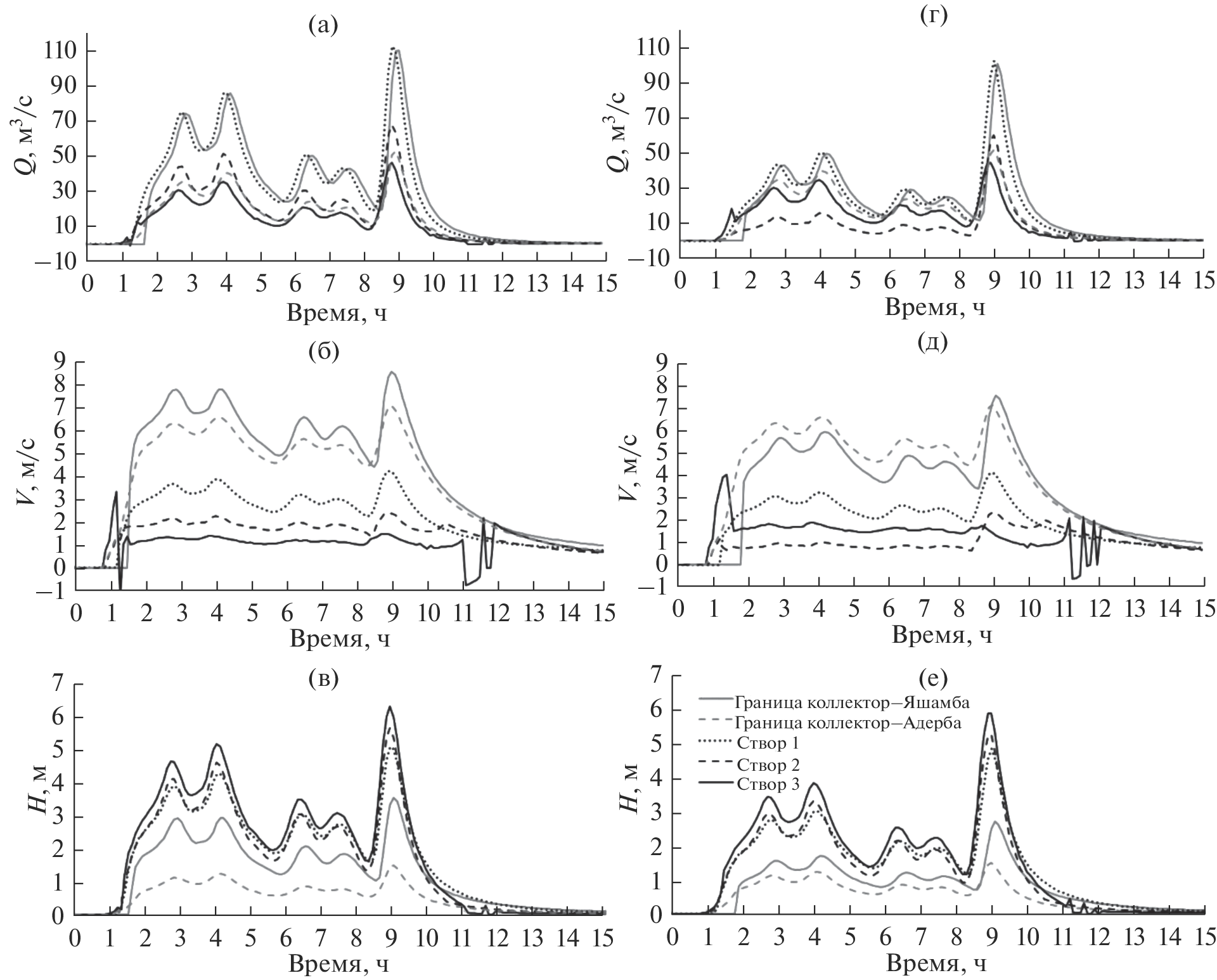
На основе цифровой модели рельефа местности горного кластера, схем расположения нагорных коллекторов и плотин водохранилищ разработана численная гидродинамическая 2D-модель горной части водосборного бассейна территории г. Геленджика и выполнены вариантные расчеты волн дождевых паводков с учетом их трансформации в нагорных коллекторах и аккумуляции в водохранилищах. Расчетные дожди приняты обеспеченностью 1% продолжительностью 20 и 720 мин (12 ч) с суммарным слоем осадков 51 и 206 мм соответственно. Сделаны выводы, что пропускная способность коллектора должна рассчитываться на параметры кратковременного интенсивного дождя и что аккумулирующие гидротехнические сооружения для их эффективной работы должны быть запроектированы с возможностью непрерывного регулирования сбросных расходов.
Ключевые слова
Об авторах
В. В. Беликов
Институт водных проблем Российской академии наук (ИВП РАН)
														Email: belvv@bk.ru
				                					                																			                												                								Россия, Москва						
Н. М. Борисова
Институт водных проблем Российской академии наук
							Автор, ответственный за переписку.
							Email: borisovanm@mail.ru
				                					                																			                												                								Россия, 119333, Москва						
Список литературы
- Алексюк А.И., Беликов В.В. Программный комплекс STREAM 2D CUDA для расчета течений, деформаций дна и переноса загрязнений в открытых потоках с использованием технологий Compute Unified Device Architecture (на графических процессорах NVIDIA). Свидетельство о гос. рег. программ для ЭВМ № 2 017 660 266 от 20.09.2017.
- Беликов В.В., Алексюк А.И. Модели мелкой воды в задачах речной гидродинамики. М.: РАН, 2020. 346 с.
- Курганов А.М. Таблицы параметров предельной интенсивности дождя для определения расходов в системах водоотведения. Справочное пособие. М.: Стройиздат, 1984. 111 с.
- Определение расчетных характеристик максимального за год слоя осадков различной продолжительности для г. Геленджик и г. Севастополь по данным наблюдений и моделирования. М.: Гидрометцентр России, 2022. Версия 30.03.2022. 63 с.
- СП 32.13330.2018 Канализация. Наружные сети и сооружения. Актуализированная редакция СНиП 2.04.03-85 (с Изменениями № 1, 2).
- Срибный М.Ф. Нормы сопротивления движению естественных водотоков и расчет отверстий больших мостов по способу бытовых морфологических характеристик. М.; Л.: Гострансиздат, 1932. 148 с.
- Штеренлихт Д.В. Гидравлика. М.: КолосС, 2004. 655 с.
- Aleksyuk A.I., Belikov V.V. Simulation of shallow water flows with shoaling areas and bottom discontinuities // Comput. Math. Math. Phys. 2017. V. 57. № 2. P. 318–339. https://doi.org/10.1134/S0965542517020026
- Aleksyuk A.I., Belikov V.V. The uniqueness of the exact solution of the Riemann problem for the shallow water equations with discontinuous bottom // J. Computational Physics. 2019. V. 390. P. 232–248. https://doi.org/10.1016/j.jcp.2019.04.001
- Aleksyuk A.I., Malakhov M.A., Belikov V.V. The exact Riemann solver for the shallow water equations with a discontinuous bottom // J. Computational Physics. 2022. V. 450. № 110801. https://doi.org/10.1016/j.jcp.2021.110801
- Vasilieva E., Belikov V. Numerical Modeling of a Hydrodynamic Accident at an Earth-and-Rockfill Dam on the Dyurso River // Power Technol. Engineering. 2020. V. 54. P. 326–331. https://doi.org/10.1007/s10749-020-01210-1
- Vasil’eva E.S., Belyakova P.A., Aleksyuk A.I., Selezneva N.V., Belikov V.V. Simulating Flash Floods in Small Rivers of the Northern Caucasus with the Use of Data of Automated Hydrometeorological Network // Water Resour. 2021. V. 48. P. 182–193. https://doi.org/10.1134/S0097807821020160
Дополнительные файлы
 
				
			 
						 
						 
						 
					 
						 
									
 
  
  
  Отправить статью по E-mail
			Отправить статью по E-mail 









