Adaptation of the Stavropol population of the predatory bug Orius laevigatus (Fieber) (Heteroptera, Anthocoridae) to mass rearing conditions
- Authors: Perova T.D.1,2, Reznik S.Y.1,3, Kozlova E.G.1, Kabak I.I.1, Belyakova N.A.1
- 
							Affiliations: 
							- Всероссийский институт защиты растений РАН
- Институт прикладной энтомологии (НПП "ИНАППЕН")
- Зоологический институт РАН
 
- Issue: Vol 103, No 4 (2024)
- Pages: 351-361
- Section: Articles
- URL: https://journal-vniispk.ru/0367-1445/article/view/272554
- DOI: https://doi.org/10.31857/S0367144524040014
- EDN: https://elibrary.ru/LTAEAI
- ID: 272554
Cite item
Abstract
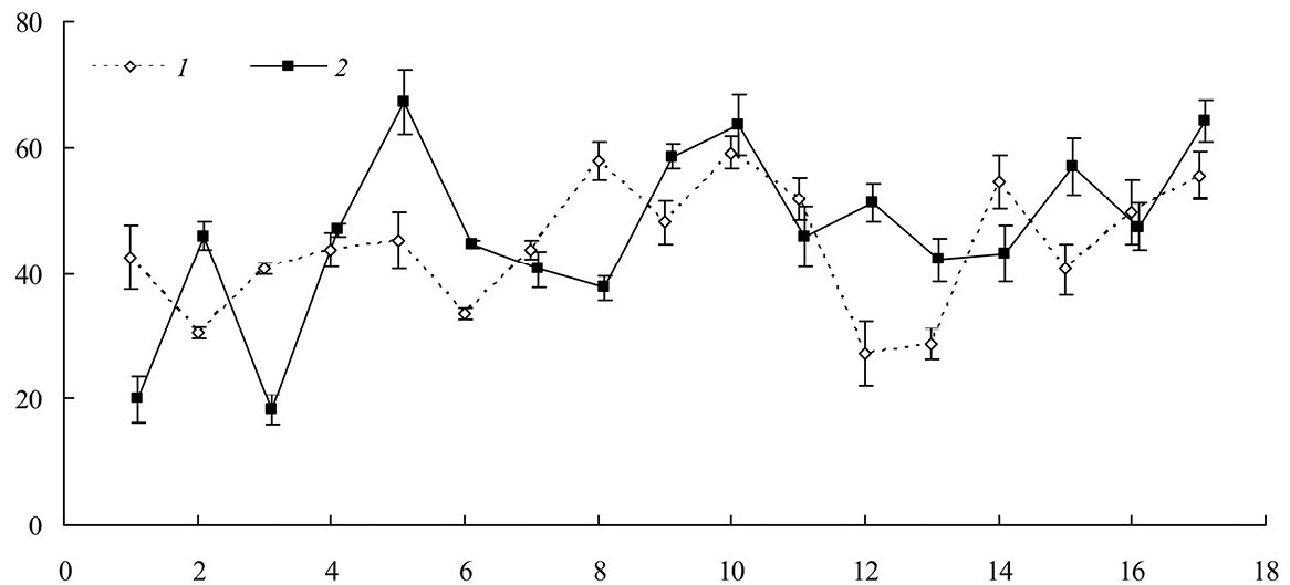
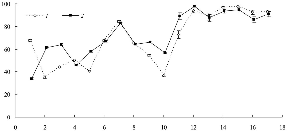
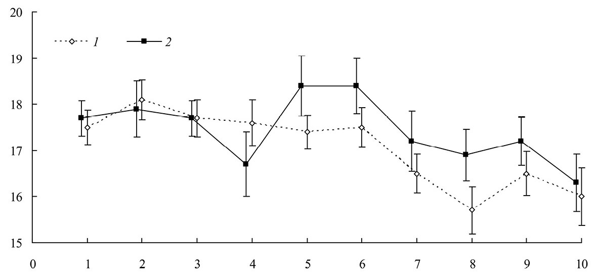
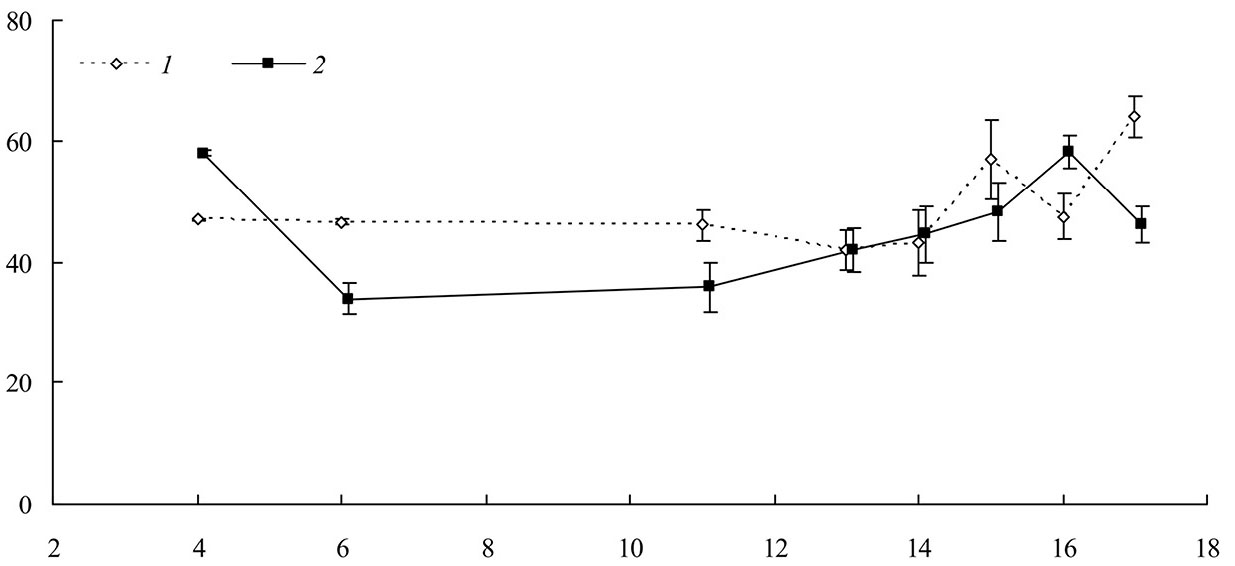
Natural geographic range of the predatory bug Orius laevigatus which is widely used for biological control of various insect pests in greenhouses includes Western, Central, and Southern Europe, Mediterranean, Northern Africa, and South Asia. In the former USSR it was recorded in the southern Ukraine, Crimea, Abkhazia, Armenia, Azerbaijan, and Turkmenistan. In 2020 we found O. laevigatus in a sunflower field in Stavropol Territory of Russia. To estimate the biocontrol potential of the Stavropol population, the process of its adaptation to mass rearing conditions was investigated over 17 sequential generations. The experiments have shown that individuals of the Stavropol population did not differ significantly in several important parameters of reproduction and development (female fecundity, survival of preimaginal stages, etc.) under the mass rearing conditions from individuals of the laboratory population reared at these conditions over many tens of generations. These results suggest that the Stavropol population of O. laevigatus originates from bugs sporadically escaped from local greenhouses and mass rearing facilities rather than represents the result of the natural spread from the Black Sea coast caused by global warming.
Full Text
 
												
	                        About the authors
T. D. Perova
Всероссийский институт защиты растений РАН; Институт прикладной энтомологии (НПП "ИНАППЕН")
														Email: perova1996@list.ru
				                					                																			                												                								шоссе Подбельского, 3, С.-Петербург–Пушкин, 196608; ул. Летчика Паршина, 9, С.-Петербург, 197350						
S. Y. Reznik
Всероссийский институт защиты растений РАН; Зоологический институт РАН
							Author for correspondence.
							Email: reznik1952@mail.ru
				                					                																			                												                	Russian Federation, 							шоссе Подбельского, 3, С.-Петербург–Пушкин, 196608; Университетская наб., 1, С.-Петербург, 199034						
E. G. Kozlova
Всероссийский институт защиты растений РАН
														Email: kategen_vizr@mail.ru
				                					                																			                												                	Russian Federation, 							шоссе Подбельского, 3, С.-Петербург–Пушкин, 196608						
I. I. Kabak
Всероссийский институт защиты растений РАН
														Email: ilkabak@yandex.ru
				                					                																			                												                	Russian Federation, 							шоссе Подбельского, 3, С.-Петербург–Пушкин, 196608						
N. A. Belyakova
Всероссийский институт защиты растений РАН
														Email: biocontrol@vizr.spb.ru
				                					                																			                												                	Russian Federation, 							шоссе Подбельского, 3, С.-Петербург–Пушкин, 196608						
References
- Миронова М. К., Ижевский С. С., Ахатов А. К. 1998. Перспективы использования Orius laevigatus (Fieb.) (Heteroptera, Anthocoridae) против трипса Frankliniella occidentalis (Perg.) (Thysanoptra, Thripidae). В кн.: Г. С. Медведев (ред.). Проблемы энтомологии в России. Т. 2. СПб.: Зоологический институт РАН, с. 34–35.
- Мокроусова Е. П. 2001. Возможность использования в борьбе с оранжерейной белокрылкой Trialeurodes vaporariorum Westw. хищного клопа Orius laevigatus Fieb. Вестник защиты растений 1: 76.
- Сапрыкин А. А., Пазюк И. М. 2003. Биологическая борьба с трипсами: применение и разведение хищных клопов ориусов. Гавриш 3: 26–29.
- Саулич А. Х., Мусолин Д. Л. 2009. Сезонное развитие и экология антокорид (Heteroptera, Anthocoridae). Энтомологическое обозрение 88 (2): 257–291.
- Трапезникова О. В. 2010а. Селекция хищного клопа Orius laevigatus Fieb. на повышение плодовитости при разведении на растении-суккуленте Kalanchoe daigremontiana Hamet & Perrier. Вестник защиты растений 1: 52–56.
- Трапезникова О. В. 2010б. Оптимизация массового разведения клопов рода Orius. Защита и карантин растений 1: 48–49.
- Элов Э. С. 1976. Полужесткокрылые сем. Anthocoridae (Heteroptera) Средней Азии и Казахстана. Энтомологическое обозрение 55 (2): 369–380.
- Aukema B., Hermes D. 2009. Nieuwe en interessante Nederlandse wantsen III (Hemiptera: Heteroptera). Nederlandse Faunistische Mededelingen 31: 53–87.
- Aukema B., Loomans A. 2005. De wants Orius laevigatus in Nederland (Heteroptera: Anthocoridae). Nederlandse Faunistische Mededelingen 23: 125–127.
- Balanza V., Mendoza J. E., Bielza P. 2019. Variation in susceptibility and selection for resistance to imidacloprid and thiamethoxam in Mediterranean populations of Orius laevigatus. Entomologia Experimentalis et Applicata 167 (7): 626–635. https://doi.org/10.1111/eea.12813
- Balanza V., Mendoza J. E., Cifuentes D., Bielza P. 2021. Selection for resistance to pyrethroids in the predator Orius laevigatus. Pest Management Science 77 (5): 2539–2546. https://doi.org/10.1002/ps.6288
- Bielza P., Balanza V., Cifuentes D., Mendoza J. E. 2020. Challenges facing arthropod biological control: identifying traits for genetic improvement of predators in protected crops. Pest Management Science 76 (11): 3517–3526. https://doi.org/10.1002/ps.5857
- Farzaneh M. 2010. The faunistic survey of Orius species (Hemiptera: Anthocoridae) in Shiraz and Marvdasht region. In: M. Farzaneh, H. Ostovan, M. Haghani (eds). Natural Enemies and Biological Control. 19th Iranian Plant Protection Congress, 31 July — 3 August 2010. Tehran: Iranian Research Institute of Plant Protection, p. 144.
- Hoffmann A. A., Ross P. A. 2018. Rates and patterns of laboratory adaptation in (mostly) insects. Journal of Economic Entomology 111 (2): 501–509. https://doi.org/10.1093/jee/toy024
- Kruitwagen A., Beukeboom L. W., Wertheim B. 2018. Optimization of native biocontrol agents, with parasitoids of the invasive pest Drosophila suzukii as an example. Evolutionary Applications 11 (9): 1473–1497. https://doi.org/10.1111/eva.12648
- Pazyuk I. M., Binitskaya N. V. 2020. Laboratory assessment of the suitability of predatory bugs Orius laevigatus and Orius majusculus as natural enemies of seed potato pests in greenhouses. Plant Protection News 103 (4): 274–276. https://doi.org/10.31993/2308-6459-2020-103-4-13984
- Péricart J. 1972. Hémiptères. Anthocoridae, Cimicidae et Microphysidae de lʹOuest-Paléarctique. Faune de lʹEurope et du bassin méditarranéen. Vol. 7. Paris: Masson et Cie, 402 p.
- Péricart J. 1996. Fam. Anthocoridae. In: B. Aukema, Ch. Rieger (eds). Catalogue of the Heteroptera of the Palaearctic region. Vol. 2. Cimicomorpa I. Amsterdam: The Netherlands Entomological Society, p. 108–141.
- Schuldiner-Harpaz T., Coll M. 2022. Considering the geographic diversity of natural enemy traits in biological control: A quantitative approach using Orius predators as an example. Diversity 14 (11): 963.
- Sentis A., Hemptinne J. L., Magro A., Outreman Y. 2022. Biological control needs evolutionary perspectives of ecological interactions. Evolutionary Applications 15 (10): 1537–1554. https://doi.org/10.1111/eva.13457
- Sethuraman A., Janzen F. J., Weisrock D. W., Obrycki J. J. 2020. Insights from population genomics to enhance and sustain biological control of insect pests. Insects 11 (8): 462. https://doi.org/10.3390/insects11080462
- Thompson M. N., Medina R. F., Helms A. M., Bernal J. S. 2022. Improving natural enemy selection in biological control through greater attention to chemical ecology and host-associated differentiation of target arthropod pests. Insects 13 (2): 160. https://doi.org/10.3390/insects13020160
- Tommasini M. G., van Lenteren J. C. 2003. Occurrence of diapause in Orius laevigatus. Bulletin of Insectology 56 (2): 225–251.
- Van Lenteren J. C. [Интернет-документ] 2012. IOBC internet book of biological control [URL: https://www.iobc-global.org/publications_iobc_internet_book_of_biological_control.html]
- Van Lenteren J. C., Alomar O., Ravensberg W. J., Urbaneja A. 2020. Biological control agents for control of pests in greenhouses. In: M. L. Gullino, R. Albajes, P. C. Nicot (eds). Integrated Pest and Disease Management in Greenhouse Crops. Cham, Switzerland: Springer, p. 409–439.
- Venzon M., Janssen A., Sabelis M. W. 2002. Prey preference and reproductive success of the generalist predator Orius laevigatus. Oikos 97 (1): 116– 24. https://doi.org/10.1034/j.1600-0706.2002.970112.x
- Weintraub P. G., Pivonia S., Steinberg S. 2011. How many Orius laevigatus are needed for effective western flower thrips, Frankliniella occidentalis, management in sweet pepper? Crop Protection 30 (11): 1443–1448. https://doi.org/10.1016/j.cropro.2011.07.015
- Wright M. G., Bennett G. M. 2018. Evolution of biological control agents following introduction to new environments. BioControl 63: 105–116. https://doi.org/10.1007/s10526-017-9830-z
- Zuma M., Njekete C., Konan K. A. J., Bearez P., Amiens-Desneux E., Desneux N., Lavoir A.-V. 2023. Companion plants and alternative prey improve biological control by Orius laevigatus on strawberry. Journal of Pest Science 96 (2): 711–721. https://doi.org/10.1007/s10340-022-01570-9
Supplementary files
 
				
			 
					 
						 
						 
						 
						 
				
 
  
  
  Email this article
			Email this article 
 Open Access
		                                Open Access Access granted
						Access granted







