Брэгговские резонансы в слоистой структуре железоиттриевый гранат – платина – железоиттриевый гранат
- Авторы: Лобанов Н.Д.1, Матвеев О.В.1, Морозова М.А.1
-
Учреждения:
- Саратовский национальный исследовательский государственный университет имени Н.Г. Чернышевского
- Выпуск: Том 88, № 2 (2024)
- Страницы: 288-294
- Раздел: Волновые явления: физика и применения
- URL: https://journal-vniispk.ru/0367-6765/article/view/266127
- DOI: https://doi.org/10.31857/S0367676524020214
- EDN: https://elibrary.ru/RQWPYX
- ID: 266127
Цитировать
Полный текст
Аннотация
Принята к публикации 31.10.2023
Теоретически изучено взаимодействие спинового тока в проводнике с сильной спин-орбитальной связью из платины (Pt) и спиновой волны в ферромагнитных слоях железоиттриевого граната (YIG) с периодической модуляцией толщины в условиях брэгговских резонансов и межслойной связи. Показано, что в сэндвич структуре YIG/Pt/YIG выполняются условия для двух брэгговских резонансов в первой зоне Бриллюэна в спектре спиновых волн. Спиновый ток в Pt позволяет осуществлять частотную перестройку резонансов и управлять глубиной зон непропускания спиновых волн, соответствующих условиям резонансов.
Ключевые слова
Полный текст
ВВЕДЕНИЕ
Слоистые структуры из магнитных диэлектриков и проводников с сильной спин-орбитальной связью рассматривают как одни из базовых элементов для разработки чисто спиновых информационных и коммуникационных технологий, в которых движущиеся заряды заменены спиновыми волнами (СВ) или магнонами [1–3]. Наиболее перспективным материалом, в котором возможно распространение СВ, являются ферромагнитные пленки железоиттриевого граната (Y3Fe5O12, YIG), ввиду малого уровня потерь, слабой магнитной анизотропии, возможности масштабирования вплоть до нескольких нанометров и хорошую интегрируемость с полупроводниковыми технологиями [4, 5]. В качестве проводника используют нормальные металлы, в частности пленки платины (Pt), характеризующиеся сильной спин-орбитальной связью и максимальным значением угла Холла, а также имеющие толщину порядка нескольких нм, которая близка к длине диффузии спинов [5].
Электрический ток в Pt за счет обратного спинового эффекта Холла генерирует спиновый ток (СТ). Спиновый ток, в свою очередь, за счет передачи спинового крутящего момента (spin transfer torque) на интерфейсе YIG/Pt приводит к усилению, либо ослаблению СВ в YIG [6, 7, 5]. Соответственно, в слоистых структурах, состоящих из двух слоев YIG, разделенных слоем Pt, СТ приводит к усилению СВ в одном слое YIG и ослабление в другом. В такой структуре возможно нарушение симметрии во времени и пространстве [8–10].
Использование магнонных кристаллов (МК) – ферромагнитных пленок с периодической модуляцией параметров – создает условия для формирования брэгговских резонансов для волновых чисел (L – период структуры), удовлетворяющих условию Брэгга [11]. На частотах брэгговских резонансов формируются запрещенные зоны – полосы непропускания в спектре СВ. В слоистых структурах на основе МК, разделенных диэлектрической прослойкой за счет взаимодействия прямых и отраженных симметричных и антисимметричных нормальных волн связанной структуры число брэгговских резонансов увеличивается [12, 13].
Влияние СТ на формирование брэгговских резонансов в МК до настоящего времени не рассматривалось. Однако, следует ожидать, что за счет различного влияния на прямые и отраженные симметричные и антисимметричные волны, СТ может приводить, к изменению условий и эффективности их взаимодействия. Целью работы является исследование взаимодействия СТ в проводнике с сильной спин-орбитальной связью и СВ в ферромагнитной среде с периодической модуляцией толщины, в условиях брэгговских резонансов и межслойной связи. Построена волновая модель для описания спин-волновой эволюции в структуре YIG/Pt/YIG. Получено дисперсионное соотношение для спиновых волн под действием СТ. Выявлена возможность управления брэгговскими резонансами СВ с помощью СТ.
МОДЕЛЬ И ОСНОВНЫЕ СООТНОШЕНИЯ
На первом этапе рассмотрим слоистую структуру, состоящую из двух ферромагнитных пленок без модуляции толщины (ФП-1 и ФП-2), имеющих толщину d и намагниченность насыщения M0. Ферромагнитные пленки разделены слоем НМ толщины D (меньше толщины скин-слоя). В этом случае ферромагнитные волноводы оказываются связаны, как через дипольное взаимодействие ВЧ магнитных полей [14, 12], так и через обменное взаимодействие Рудермана–Киттеля–Касуя–Иосиды (РККИ) [15]. Взаимодействие РККИ реализуется через электроны проводимости в НМ, поляризация которых зависит от спинов атомов в одном из ферромагнитных слоев, и влияет на спины атомов во втором ферромагнитном слое.
К слою НМ прикладывается напряжение, спиновый эффект Холла проявляется в том, что в направлении перпендикулярном электрическому току JE (т.е., в направлении оси z) происходит разделение электронов с противоположными направлениями спинов . Таким образом, электроны с одним направлением спинов перейдут к верхней поверхности слоя НМ, а электроны с другим направлением спинов перейдут к нижней поверхности НМ. В результате вдоль оси z потечет спиновый ток плотностью JS. Спины у поверхности НМ передают свой спиновый крутящий момент поверхностным спинам в ФП [5, 6]. Благодаря дипольным и обменным взаимодействиям крутящий момент передается другим спинам вглубь толщины ФП и, соответственно, спиновой волне, распространяющейся в ФП1.
То, с каким направлением спинов окажутся электроны у границы, например ФП-1/НМ, зависит от направления тока в НМ. Если направление спинов на границе противоположно направлению оси вокруг которой прецессируют магнитные моменты в ФП (оси x) ), то спиновый крутящий момент направлен противоположно затуханию (damping torque). Тогда увеличивает угол прецессии магнитных моментов в ФП-1 (γ), т.е. усиливает СВ (см. рис. 1а). Если направление спинов на границе сонаправлено с осью, вокруг которой прецессируют магнитные моменты в ФП-1 (). В этом случае спиновый крутящий момент сонаправлен с затуханием . Тогда уменьшает угол γ, т.е. ослабляет СВ (рис. 1б).
Рис. 1. Схема прецессии вектора намагниченности в МК-1 (а) и МК-2 (б). Схема исследуемой структуры (в)
При протекании электрического тока JE > 0 в НМ электроны будут смещаться в сторону интерфейса НМ/ФП-1 (что приведет к усилению СВ в ФП-1), как показано на рис. 1а. Электроны с будут смещаться в сторону интерфейса НМ/ФП-2 (что приведет к ослаблению СВ в ФП-2), как показано рис. 1б. Для тока отрицательной полярности JE < 0 ситуация противоположная.
Магнитная динамика в исследуемой структуре может быть описана уравнением Ландау–Лифшица–Гильберта с учетом члена Слончевского [5, 6, 8]:
, (1)
где – намагниченность ФП-1 и ФП-2, M0– намагниченность насыщения ФП-1 и ФП-2, α – затухание Гильберта, – спиновый крутящий момент, JE – плотность электрического тока, – плотность спинового тока, D – толщина НМ, γ – гиромагнитное соотношение, e – заряд электрона, θSH – угол Холла, S – прозрачность интерфейса между НМ и ФП-1 (ФП-2), – приведенная постоянная Планка. Также в соотношении (1) эффективное магнитное поле , включающее внешнее магнитное поле , обменное взаимодействие (Aex – постоянная обмена в ФП-1 и ФП-2), межслойное обменное взаимодействие РККИ (Kex – постоянная РККИ), дипольную связь между ФП-1 и ФП-2 ( – ВЧ компоненты магнитных полей, – коэффициент связи).
Исследуемая структура помещена во внешнее магнитное поле , направленное вдоль оси x (как показано на рис. 1в), при этом в ФП-1 и ФП-2 вдоль оси y распространяется СВ, представляющая собой волну прецессии вектора намагниченности. Представим вектор намагниченности в виде суммы постоянной компоненты, направленной вдоль внешнего магнитного поля, и переменной ВЧ компоненты .
Распишем соотношение (1) в проекциях на оси координат:
(2)
Введем обозначения , .
Переменные составляющие магнитного поля и намагниченности связаны соотношениями вида [13]:
. (3)
Подставляя (2) и (3) в (1), получим:
, (4)
где.
Для переменных намагниченностей система (4) примет вид:
, (5)
где .
Перейдем к рассмотрению периодической структуры, состоящей двух магнонных кристаллов (МК-1 и МК-2), разделенных слоем НМ. МК-1 и МК-2 представляют собой ферромагнитные пленки, на поверхность которых нанесена периодическая структура с периодом L в виде канавок глубиной ∆ (b = a – ∆ – толщина пленки в области канавки, a – толщина пленки в области столбика), шириной l (ширина столбика c = L – l), как показано на рис. 2.
Рис. 2. Схема исследуемой структуры в проекции zОy
В этом случае толщина ферромагнитных пленок является периодической функцией d = b + δ(y), где . Раскладывая δ(y) в ряд Фурье и ограничиваясь членами с n = 0, ±1 получим [12]:
, (6)
где .
Используя метод связанных волн [16], решение уравнений (5) представим в виде суммы прямых волн и волн, отраженных от периодических канавок:
, (7)
где A1,2 и B1,2 – медленно меняющиеся комплексные амплитуды огибающих прямых и отраженных волн, k0 – постоянная распространения «0» гармоники, k–1 относится к «–1» гармонике, k0 и k–1 связаны условием Брэгга: , где – брэгговское волновое число.
Подставляя соотношения (6) и (7) в уравнения (5), в стационарном случае можно получить систему волновых уравнений для амплитуд огибающих прямых и отраженных волн в виде:
(8)
где, , , , , , , , и – частоты, связанные с эффективным магнитным полем прямых и отраженных волн в МК-1 и МК-2, соответственно.
Полагая производные в (8) равными нулю и приравнивая детерминант получившейся системы к нулю, получим дисперсионное соотношение вида:
. (9)
Диагональные компоненты определителя (9) (при Kex = 0), приравненные к нулю, представляют собой дисперсионные соотношения для прямой и отраженной СВ в однородных пленках без канавок [17, 18, 14]. Недиагональные компоненты χ0,–1, описывают дипольное и РККИ взаимодействие между СВ в МК-1 и МК-2. При χ0,–1 = 0 приходим к дисперсионным уравнениям для СВ в одном МК, нагруженном слоем НМ. Компоненты κ0,–1 описывают связь между прямыми и отраженными волнами в каждом МК. При κ0,–1 = 0 соотношение (9) описывает дисперсионное соотношение для СВ в структуре из двух ферромагнитных пленок без модуляции параметров, разделенных слоем НМ [8]. Компоненты описывают связь между прямыми и отраженными волнами в разных МК.
При брэгговском волновом числе k0,–1 = kB, в отсутствии связи между прямыми и отраженными волнами (κ0,–1 = 0) и потерь (α = 0), решение (9) имеет вид:
, (10)
где . Частоты являются частотами фазового синхронизма прямых и отраженных волн при k0,–1 = kB.
Положим и используем в (8) подстановку , , где q – искомая добавка к волновому числу kB. Приравняем определитель системы к нулю и найдем решение характеристического уравнения, в предположении , в виде:
, (11)
где . Из решений видно, что в случае одиночного слоя YIG в отсутствии СТ (τ = χ = 0) добавка к волновому числу kB является мнимой величиной q = ± jk, что соответствует затуханию СВ на частоте , являющейся частотой брэгговского резонанса. Данная частота является центральной частотой полосы непропускания СВ – запрещенной зоны, а мнимая часть волнового числа пропорциональна глубине запрещенной зоны.
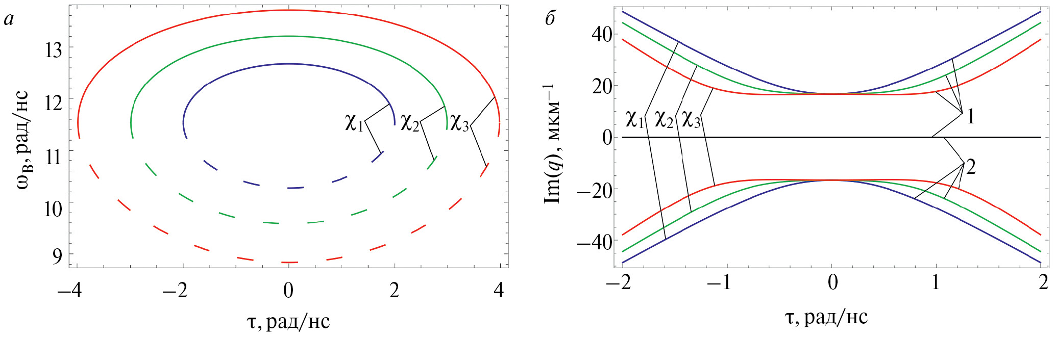
В структуре YIG/Pt/YIG формируются два брэгговских резонанса на частотах , отличных от частоты резонанса в одиночном слое YIG ωB. На рис. 3а приведены зависимости резонансных частот от величины и полярности СТ, построенные с использованием соотношения (10), при разных значениях связи между слоями YIG χ (дипольной связи и обменного РККИ взаимодействия). Видно, что при увеличении СТ высокочастотная запрещенная зона сдвигается вниз по частоте (сплошные кривые), а низкочастотная – вверх по частоте (пунктирные кривые), т.е. частотный интервал между зонами уменьшается и ЗЗ сливаются. При изменении полярности СТ тенденция сохраняется.
Рис. 3. Зависимость от величины и полярности СТ резонансных частот (сплошные кривые) и (пунктирные кривые) (а), мнимых частей добавок к брэгговскому волновому числу Im(q) для прямых волн (кривые 1) и отраженных волн (кривые 2) при разных значениях χ (дипольной связи и обменного РККИ взаимодействия) (б) (χ1 = 2.8 × 1019 рад2/нс2, χ2 = 4.1 × 1019 рад2/нс2, χ3 = 5.5 × 1019 рад2/нс2). Расчетные параметры: D = 10 нм, M0 = 140 Гс, α = 10‒4, L1,2 = 50, с = 25 нм, a = 100 нм, Δ = 40 нм, b = 60 нм, H0 = 800 Э, Aex = 4.7 Гс2 мкм2, θSH = 0.08, S = 1, Kex = 728 Гс2 мкм, Kdip = 0.2
На рис. 3б приведены зависимости мнимых частей добавок Im(q)) при от величины и полярности СТ, построенные с использованием соотношения (11), при разных значениях связи между слоями YIG χ. Видно, что в отсутствии СТ τ = 0 значение Im(q) > 0 для прямых волн (кривые 1) и Im(q) < 0 для отраженных волн (кривые 2), что соответствует затуханию прямых волн и формированию ЗЗ. При увеличении СТ модуль Im(q) увеличивается, т.е. растет глубина ЗЗ. При изменении полярности СТ тенденция сохраняется.
ЗАКЛЮЧЕНИЕ
Таким образом, изучены особенности брэгговских резонансов при распространении спиновых волн в слоистой структуре на основе ферромагнтиных пленок (YIG) с периодической модуляцией толщины, разделенных слоем проводника с сильной спин-орбитальной связью (Pt). Показано, что за счет взаимодействия прямых и отраженных волн возможно формирование запрещенных зон: полос непропускания спиновых волн, соответствующих условиям брэгговских резонансов. Запрещенные зоны формируются при брэгговских волновых числах и частотах, отличных от брэгговских частот для каждого из слоев YIG в отдельности.
Спиновых ток в Pt приводит к различному изменению эффективного магнитного поля для прямых и отраженных волн в каждом МК, что позволяет управлять частотным положением и глубиной запрещенных зон. В частности, при увеличении СТ высокочастотная запрещенная зона смещается вниз по частоте, а низкочастотная запрещенная зона – вверх по частоте, т.е. частотный интервал между зонами уменьшается и зоны сливаются. При этом также увеличивается глубина запрещенных зон на частотах брэгговских резонансов.
Практическая важность результата состоит в том, что управление брэгговским резонансами спиновых волн с помощью спинового тока открывает возможность для использования такой структуры в качестве базового функционального элемента частотно-селективных СВЧ устройств с двойным (электрическим и магнитным) управлением.
Работа выполнена при поддержке Российского научного фонда (проект № 23-29-00759).
1 Эффекты, связанные со спиновой накачкой (spin pumping) в данном случае, будем считать незначительными [5].
Об авторах
Н. Д. Лобанов
Саратовский национальный исследовательский государственный университет имени Н.Г. Чернышевского
Автор, ответственный за переписку.
Email: nl_17@mail.ru
Россия, Саратов
О. В. Матвеев
Саратовский национальный исследовательский государственный университет имени Н.Г. Чернышевского
Email: nl_17@mail.ru
Россия, Саратов
М. А. Морозова
Саратовский национальный исследовательский государственный университет имени Н.Г. Чернышевского
Email: nl_17@mail.ru
Россия, Саратов
Список литературы
- Chumak A.V., Vasyuchka V.I., Serga A.A. et al. // Nature Physics. 2015. V. 11. P. 453.
- Баранов П.Г., Калашникова А.М., Козуб В.И. и др. // УФН. 2019. Т. 189. С. 849; Baranov P.G., Kalashnikova A.M., Kozub V.I. et al. // Phys. Usp. 2019. V. 62. P. 795.
- Brataas A., van Wees B., Klein O. et al. // Phys. Reports. 2020. V. 885. P. 1.
- Demidov V.E., Urazhdin S., Anane A. et al. // J. Appl. Phys. 2020. V. 127. Art. No. 170901.
- Zhou Y., Jiao H., Chen Y.T. et al. // Phys. Rev. B. 2013. V. 88. Art. No. 184403.
- Ando K., Takahashi S., Harii K. et al. // Phys. Rev. Lett. 2008. V. 101. Art. No. 036601.
- Demidov V.E., Urazhdin S., Edwards E.R.J., Demokritov S.O. // Appl. Phys. Lett. 2011. V. 99. Art. No. 172501.
- Wang X G., Guo G.H., Berakdar J. // Nature Commun. 2020. V. 11. P. 5663.
- Temnaya O.S., Safin A.R., Kalyabin D.V. et al. // Phys. Rev. Appl. 2022. V. 18. Art. No. 014003.
- Wang X.G., Schulz D., Guo G.H., Berakdar J. // Phys. Rev. Appl. 2022. V. 18. Art. No. 024080.
- Chumak A.V., Serga A.A., Hillebrands B. // J. Physics D. 2017. V. 50. Art. No. 244001.
- Morozova M.A., Sharaevskaya A. Yu., Sadovnikov A.V. et al. // J. Appl. Phys. 2016. V. 120. Art. No. 223901.
- Морозова М.А., Лобанов Н.Д., Матвеев О.В. и др. // Письма в ЖЭТФ. 2022. Т. 115. С. 793; Morozova M.A., Lobanov N.D., Matveev O.V. et al. // JETP Lett. 2022. V. 115. P. 742.
- Вашковский А.В., Стальмахов В.С., Шараевский Ю.П. Магнитостатические волны в электронике сверхвысоких частот. Саратов: Изд-во СГУ, 1993.
- Ruderman M.A., Kittel C. // Phys. Rev. 1954. V. 96. P. 99.
- Marcuse D. Light transmission optics. Bell Laboratory Series. 1972.
- Kalinikos B.A., Slavin A.N. // J. Phys. Cond. Matter. 1986. V. 19. P. 7013.
- Qin H., Hämäläinen S.J., Arjas K. et al. // Phys. Rev. B. 2018. V. 98. Art. No. 224422.
Дополнительные файлы






