Magnetization features of small multi-core particles: theory and computer simulations
- Authors: Grokhotova E.V.1, Solovyova A.Y.1, Elfimova E.A.1
-
Affiliations:
- Ural Federal University
- Issue: Vol 88, No 10 (2024)
- Pages: 1557-1563
- Section: Physics of magnetic fluids and composite materials based on them
- URL: https://journal-vniispk.ru/0367-6765/article/view/283367
- DOI: https://doi.org/10.31857/S0367676524100097
- EDN: https://elibrary.ru/DTCYIR
- ID: 283367
Cite item
Full Text
Abstract
We investigated the orientation texturing of magnetic moments of four magnetic nanoparticles fixed at the vertices of a regular tetrahedron and formed a separate polyhedral particle. Numerical calculations of the probability density of the magnetic moment orientation, the static magnetization and the initial magnetic susceptibility of a multi-core particle are obtained by the Monte-Carlo method.
Full Text
ВВЕДЕНИЕ
Феррожидкости на основе магнитных многогранульных частиц (МГЧ) [1] более устойчивы к осаждению, чем стандартные магнитореологические суспензии с частицами микронного размера. В то же время они демонстрируют гораздо более сильные магнитореологические эффекты [2, 3], чем стандартные феррожидкости с наноразмерными однодоменными магнитными частицами. Сочетание стабильности с высокой чувствительностью в прикладной области обладает большим потенциалом для многих применений, что вызвало растущий интерес к МГЧ в последние годы [4—11].
МГЧ можно анализировать двумя способами. «Крупный» масштаб (типичный порядок ~100 нм) характеризует МГЧ как отдельные структурные единицы, которые взвешены в жидкости-носителе, вовлечены в интенсивное броуновское движение и проявляют некоторые коллективные физические и химические свойства. «Мелкий» масштаб (~10 нм) раскрывает внутреннее устройство отдельно взятой МГЧ, которая состоит из наноразмерных однодоменных магнитных гранул, скрепленных полимером или другим немагнитным материалом. Различное расположение наночастиц-гранул внутри МГЧ приводит к особенностям ее реакции на приложенное магнитное поле. Понимание, предсказание и управление этими особенностями чрезвычайно важно для разработки методов магнитно-резонансной томографии [12—14], визуализации магнитными частицами [15—17], тканевой инженерии [18—22] и магнитно-гипертермической терапии рака [1, 6, 7, 23, 24]. Известные экспериментальные работы [4, 5, 25] с одной стороны и исследования методами компьютерного моделирования [26—28] с другой стороны показывают, что магнитная анизотропия однодоменных частиц на «мелкомасштабном» уровне сильно влияет на проявляемые системой «крупномасштабные» магнитные свойства. Для малых МГЧ с небольшим числом однодоменных частиц-гранул невозможно применить статистические методы и приближения сплошной среды. С теоретической точки зрения существует проблема прямого анализа мелкомасштабной структуры МГЧ. В этой работе мы проводим независимое компьютерное моделирование методом Монте—Карло, которое позволяет точно рассчитать магнитные характеристики модельной многогранульной частицы и исследовать внутренние энергетически выгодные структуры магнитных моментов внутри МГЧ, содержащей 4 сферические наночастицы-гранулы, расположенных в вершинах правильного тетраэдра.
МОДЕЛЬ
Модельная многогранульная частица состоит из N = 4 неподвижных сферических наночастиц-гранул, которые зафиксированы в вершинах правильного тетраэдра с ребром A. Предполагаем, что гранулы имеют диаметр d и магнитный момент , который может свободно вращаться внутри гранулы. Центр гранулы с номером 1 расположен на оси Oz, центры остальных трех лежат в плоскости, перпендикулярной оси Oz, как показано на рис. 1. Поверхность МГЧ условно ограничивается сферой, содержащей внутри себя тетраэдр и касающейся наружной поверхности гранул. Диаметр данной сферы составляет , где — расстояние от центра МГЧ до вершины тетраэдра. Центры МГЧ и тетраэдра совпадают.
Рис. 1. Структура модельной МГЧ. Гранулы диаметром d расположены в вершинах тетраэдра с ребром A.
МГЧ находится в постоянном магнитном поле , направление которого выбиралось последовательно тремя способами: вдоль векторов (1, 0, 0), (0, 1, 0) и (0, 0, 1). Напряженность внешнего магнитного поля задается безразмерным параметром Ланжевена , где μ0 — проницаемость вакуума, kB — постоянная Больцмана, T — абсолютная температура системы. Интенсивность диполь-дипольных взаимодействий гранул, удаленных на расстоянии ребра тетраэдра, характеризуется безразмерным параметром . Ребро тетраэдра будем измерять в единицах диаметра гранул так, что плотный контакт гранул соответствует . Координаты гранул могут быть выражены через ребро тетраэдра A следующим образом:
(1)
(2)
(3)
(4)
Потенциальная энергия системы U учитывает как межчастичные диполь-дипольные взаимодействия, описываемые парным потенциалом Ud, так и взаимодействия магнитных моментов гранул с внешним полем :
(5)
(6)
где является радиус-вектором между гранулами i и j длины , а и — вектора магнитных моментов гранул i и j соответственно.
КОМПЬЮТЕРНОЕ МОДЕЛИРОВАНИЕ
Метод Монте–Карло позволяет получить точный расчет магнитных и структурных свойств исследуемой модели. Чтобы сократить вариации наборов параметров исследуемой модели, был рассмотрен только плотный контакт гранул внутри МГЧ, для которых координаты рассчитывались в соответствии с выражениями (1)–(4) при A = 1. В качестве начальных направлений магнитных моментов использовались случайные единичные вектора. Каждый шаг Монте–Карло моделирования включал в себя N попыток изменить ориентацию магнитного момента случайно выбранной гранулы. Новое состояние системы принималось в том случае, если происходило уменьшение общей потенциальной энергии. В противном случае новое состояние не всегда отвергалось, а принималось с некоторой вероятностью [29]. После 5·106 шагов Монте–Карло, была рассчитана скалярная намагниченность МГЧ для каждого набора параметров α и λe:
(7)
где …t означает усреднение по времени компьютерного моделирования, –единичный вектор магнитного момента i-ой гранулы, а — единичный вектор вдоль направления магнитного поля.
Кроме того, для каждого набора параметров α и λe была определена одночастичная плотность вероятности W, описывающая ориентацию магнитного момента, который относительно внешнего магнитного поля характеризуется углом . В самом простом случае, когда диполь-дипольные взаимодействия отсутствуют, равновесная плотность вероятности W описывается распределением Больцмана:
(8)
которое одинаково для всех гранул внутри МГЧ, не зависит от межчастичного расстояния A и внутренней структуры МГЧ. В данной работе на первом шаге рассчитывалась промежуточная функция W0, отражающая количество гранул, для которых значение попадает в соответствующий диапазон разбиения: τk ≤ < τk + 1, где τk = −1 + 0.01·k, 0 ≤ k ≤ 200. Данный расчет проводился на каждом 20-м шаге Монте—Карло моделирования. По окончании компьютерного эксперимента проводилось усреднение функции W0 по времени компьютерного моделирования, а также проводилась нормировка согласно условию:
. (9)
Как будет показано в следующей главе, данная функция оказывается чувствительна к значению параметра λe, а также зависит от положения гранулы внутри структуры МГЧ.
ОРИЕНТАЦИОННОЕ ТЕКСТУРИРОВАНИЕ
Результаты численного расчета плотности вероятности ориентации магнитных моментов приведены на рис. 2 и 3 для МГЧ с плотным контактом гранул при различных интенсивностях межчастичных взаимодействий и напряженностей внешнего магнитного поля. В отсутствие поля со слабыми межчастичными взаимодействиями (рис. 2а, 2в и 2д) распределение ориентации равновероятно для магнитных моментов всех гранул. Включение внешнего магнитного поля интенсивностью α = 1 заметно ориентирует магнитные в своем направлении, но степень ориентации оказывается различной для всех гранул в тетраэдре (рис. 2б, 2г и 2е). Направление поля также влияет на ориентационную текстуру МГЧ. В случае направления поля вдоль оси Ox (рис. 2б) магнитный момент гранулы с номером 2 сильнее реагируют на внешнее магнитное поле, а диполь-дипольные взаимодействия остальных трех магнитных моментов ослабляют их ориентированность по полю, поскольку может возникать замкнутая конфигурация из магнитных моментов по типу кольца. Когда поле направлено вдоль оси Oy (рис. 2г), гранулы 3 и 4 по своему расположению формируют димер в направлении параллельном полю, поэтому ориентированность их магнитных моментов по полю оказывается сильнее, чем у гранул 1 и 2. В случае, когда внешнее магнитное поле направлено вдоль оси Oz (рис. 2e), магнитный момент гранулы с номером 1, расположенной в вершине тетраэдра, сильнее реагирует на приложенное поле, чем остальные. Гранулы с номерами 2, 3 и 4 оказываются в плоскости перпендикулярной действию магнитного поля, и их магнитные моменты могут сформировывать закольцованные структуры, что ослабляет их ориентированность вдоль поля.
Рис. 2. Зависимость одночастичной плотности вероятности W от угла ωk для модельной МГЧ с ребром A = 1 и λe = 1: (а) , α = 0; (б) , α = 1; (в) , α = 0; (г) , α = 1; (д) , α = 0; (е) , α = 1. Символами обозначены результаты моделирования Монте-Карло. Номер символа соответствует номеру гранулы в модельной МГЧ.
Рис. 3. Зависимость одночастичной плотности вероятности W от угла ωk для модельной МГЧ с ребром A = 1 и λe = 3: (а) , α = 0; (б) , α = 1; (в) , α = 0; (г) , α = 1; (д) , α = 0; (е) , α = 1. Символами обозначены результаты моделирования Монте—Карло. Номер символа соответствует номеру гранулы в модельной МГЧ.
В случае более интенсивных межчастичных взаимодействий (λe = 3) внутренняя ориентационная анизотропия магнитных моментов проявляется даже в нулевом магнитном поле (рис. 3а, 3в и 3д). Комплексно анализируя эти рисунки, можно сделать вывод о том, что наиболее вероятное направление магнитного момента гранулы 1 оказывается в плоскости xOy. Для магнитного момента гранулы 2 наиболее выгодным является направление перпендикулярное оси Ox. Магнитные моменты гранул 3 и 4 могут образовать конфигурации бок о бок, что препятствует их ориентированности вдоль оси Oy. На рис. 3б, 3г и 3е гранулы слабее реагируют на внешнее магнитное поле по сравнению со случаем λe = 1 (рис. 2), что свидетельствует от преобладания взаимодействий типа «диполь-диполь» над взаимодействием типа «диполь-поле». Кроме того, на рис. 3е плотность вероятности для гранул 2—4 демонстрирует два слабых максимума, что качественно и количественно отличается от модели невзаимодействующих гранул (8). С увеличением расстояния между гранулами до A = 1.25 данные эффекты будут ослабевать, а при A = 2 поведение плотности вероятности уже будет близко к модели невзаимодействующих гранул (8).
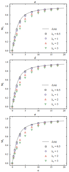
НАМАГНИЧЕННОСТЬ
В одночастичном приближении скалярная намагниченность системы определяется функцией Ланжевена:
, (10)
которая может применяться для описания магнитного отклика низкоконцентрированных магнитных композитов или систем со слабыми диполь-дипольными взаимодействиями. Вклад межчастичных взаимодействий в намагниченность модельной МГЧ можно оценить на рис. 4. Оказалось, что магнитный отклик системы практически совпадает для случаев направления магнитного поля вдоль осей Ox и Oy (рис. 4а и 4б), несмотря на различающиеся вероятные конфигурации магнитных моментов. На рис. 4в можно отметить несколько более выраженное влияние диполь-дипольных взаимодействий на намагниченность системы при по сравнению со случаями и . Во всех трех случаях рассчитанная намагниченность МГЧ оказывается ниже намагниченности Ланжевена, в то время как для феррожидкостей с подвижными частицами учет межчастичных взаимодействий приводил к росту намагниченности в сравнении с одночастичным приближением. Получаемые конфигурации магнитным моментов в рассматриваемой неподвижной системе препятствуют их свободному ориентированию вдоль поля, тогда как в феррожидкости движущиеся частицы могут образовывать димеры и цепочки в направлении внешнего поля, тем самым дополнительно подмагничивая друг друга.
Рис. 4. Зависимость намагниченности M от параметра Ланжевена α для модельной МГЧ с ребром A = 1: (а) , ; (б) , ; (в) , . Символами обозначены результаты моделирования Монте—Карло при различных значениях параметра λe, как указано в легенде. Пунктир соответствует намагниченности Ланжевена L(α).
ЗАКЛЮЧЕНИЕ
Таким образом, нами были исследованы особенности ориентационного упорядочения магнитных моментов гранул, расположенных в узлах правильного тетраэдра. Было рассмотрено три направления внешнего магнитного поля — по направлению каждой из осей лабораторной системы координат. Удалось проанализировать конфигурации магнитных моментов, наиболее вероятные для каждого случая ориентации приложенного поля. Возникающие конфигурации зависели как от направления внешнего магнитного поля, так и от положения гранул в МГЧ, а также от интенсивности межчастичных диполь-дипольных взаимодействий λe. В отсутствии внешнего магнитного поля была обнаружена анизотропия одночастичной плотности вероятности ориентации магнитных моментов в модельной МГЧ для значения параметра интенсивности межчастичных взаимодействий λe = 3. Исследование магнитного отклика показало одинаковые значения скалярной намагниченности для полей, ориентированных вдоль осей Ox и Oy. Рассчитанные кривые намагничивания методом Монте—Карло оказались близки к одночастичной теории Ланжевена только в случае слабых межчастичных взаимодействий λe = 0.5. В работе продемонстрирована необходимость разработки теории, учитывающей как межчастичные диполь-дипольные взаимодействия, так и пространственное положение гранул в МГЧ.
Работа выполнена при финансовой поддержке Российского научного фонда (проект № 23-12-00039).
About the authors
E. V. Grokhotova
Ural Federal University
Author for correspondence.
Email: lena.groxotova@mail.ru
Russian Federation, Ekaterinburg
A. Yu. Solovyova
Ural Federal University
Email: lena.groxotova@mail.ru
Russian Federation, Ekaterinburg
E. A. Elfimova
Ural Federal University
Email: lena.groxotova@mail.ru
Russian Federation, Ekaterinburg
References
- Socoliuc V., Peddis D., Petrenko V.I. et al. // Magnetochemistry. 2020. V. 6. P. 2.
- Borin D.Yu., Zubarev A.Y., Chirikov D.N., Odenbach S. // J. Phys. Cond. Matter. 2014. V. 26. Art. No. 406002.
- Lopez-Lopez M.T., Borin D.Yu., Zubarev A.Y. // Phys. Rev. E. 2017. V. 96. Art. No. 022605.
- Schaller V., Wahnström G., Sanz-Velasco A. et al. // Phys. Rev. B. 2009. V. 80. Art. No. 092406.
- Ahrentorp F., Astalan A., Blomgren J. et al. // J. Magn. Magn. Mater. 2015. V. 380. P. 221.
- Krishnan K.M. // IEEE Trans. Magn. 2010. V. 46. P. 2523.
- Dutz S., Kettering M., Hilger I. et al. // Nanotechnology. 2011. V. 22. Art. No. 265102.
- Долуденко И.М., Хайретдинова Д.Р., Загорский Д.Л. и др. // Изв. РАН. Сер. физ. 2023. Т. 87. № 3. С. 321; Doludenko I.M., Khairetdinova D.R., Zagorsky D.L. et al. // Bull. Russ. Acad. Sci. Phys. 2023. V. 87. No. 3. P. 277.
- Тятюшкин А.Н. // Изв. РАН. Сер. физ. 2019. Т. 83. № 7. С. 885; Tyatyushkin A.N. // Bull. Russ. Acad. Sci. Phys. 2019. V. 83. No. 7. P. 804.
- Нургазизов Н.И., Бизяев Д.А., Бухараев А.А. // Изв. РАН. Сер. физ. 2019. Т. 83. № 7. С. 897; Nurgazizov N.I., Bizyaev D.A., Bukharaev A.A. // Bull. Russ. Acad. Sci. Phys. 2019. V. 83. No. 7. P. 815.
- Комина А.В., Ярославцев Р.Н., Герасимова Ю.В. и др. // Изв. РАН. Сер. физ. 2020. Т. 84. № 11. С. 1597; Komina A.V., Yaroslavtsev R.N., Stolyar S.V. et al. // Bull. Russ. Acad. Sci. Phys. 2020. V. 84. No. 11. P. 1362.
- Vargas-Osorio Z., Argibay B., Pineiro Y. et al. // IEEE Trans. Magn. 2016. V. 52. Art. No. 2300604.
- Schnorr J., Wagner S., Abramjuk C. et al. // Radiology. 2006. V. 240. P. 90.
- Wagner M., Wagner S., Schnorr J. et al. // J. Magn. Reson. Imaging. 2011. V. 34. P. 816.
- Kratz H., Taupitz M., Ariza de Schellenberger A. et al. // PLOS One. 2018. V. 13. Art. No. e0190214.
- Kurlyandskaya G., Shcherbinin S., Volchkov S. et al. // J. Magn. Magn. Mater. 2018. V. 459. P. 154.
- Mohtashamdolatshahi A., Kratz H., Kosch O. et al. // Sci. Reports. 2020. V. 10. Art. No. 17247.
- Kim J., Staunton J.R., Tanner K. // Adv. Mater. 2016. V. 28. P. 132.
- Tognato R., Bonfrate V., Giancane G., Serra T. // Smart Mater. Struct. 2022. V. 31. Art. No. 074001.
- Zhou W., Dong X., He Y. et al. // Smart Mater. Struct. 2022. V. 31. Art. No. 105002.
- Levada K., Omelyanchik A., Rodionova V. et al. // Cells. 2019. V. 8. P. 1279.
- Campos F., Bonhome-Espinosa A.B., Carmona R. et al. // Mater. Sci. Eng. C. 2021. V. 118. Art. No. 111476
- Zubarev A.Y. // Phys. Rev. E. 2019. V. 99. Art. No. 062609.
- Coïsson M., Barrera G., Appino C. et al. // J. Magn. Magn. Mater. 2019. V. 473. P. 403.
- Kahmann T., Ludwig F. // J. Appl. Phys. 2020. V. 127. Art. No. 233901.
- Schaller V., Wahnström G., Sanz-Velasco A. et al. // J. Magn. Magn. Mater. 2009. V. 321. P. 1400.
- Kuznetsov A.A. // Phys. Rev. B. 2018. V. 98. Art. No. 144418.
- Ilg P. // Phys. Rev. E. 2019. V. 100. Art. No. 022608.
- Allen M.P., Tildesley D.J. Computer simulation of liquids. Oxford University Press, 1989.
Supplementary files






