Кинетические особенности протекания реакции Сузуки в условиях конкурирующих субстратов в присутствии палладиевых катализаторов, нанесенных на сульфированный пористый ароматический полимер
- Авторы: Никошвили Л.Ж.1, Бахвалова Е.С.1, Сульман М.Г.1
-
Учреждения:
- Тверской государственный технический университет
- Выпуск: Том 65, № 4 (2024)
- Страницы: 427-441
- Раздел: СТАТЬИ
- URL: https://journal-vniispk.ru/0453-8811/article/view/279288
- DOI: https://doi.org/10.31857/S0453881124040044
- EDN: https://elibrary.ru/RIGKNV
- ID: 279288
Цитировать
Полный текст
Аннотация
В рамках работы исследовано протекание реакции Сузуки в условиях конкурирующих субстратов в присутствии катализаторов, содержащих PdII или наночастицы Pd0, синтезированных с применением сульфированного аморфного ароматического полимера в качестве носителя. Обсуждается влияние условий реакции (скорости перемешивания, температуры, природы основания), а также различных пар конкурирующих арилгалогенидов (бромидов и иодидов), как с электронодонорными, так и с электроноакцепторными заместителями. Впервые показано, что арилбромиды с электроноакцепторными заместителями в пара-положении по отношению к галогену, могут сильно замедлить конверсию друг друга, а также остановить превращение других арилбромидов в случае применения наночастиц Pd0 в качестве источника каталитически активных форм палладия. Добавки анионов солей натрия (хлорида, бромида и ацетата) способны предотвратить остановку реакции.
Полный текст
Сокращения и обозначения: РФА – рентгенфлуоресцентный анализ; РФЭС – рентгеновская фотоэлектронная спектроскопия; ПРЭМ – просвечивающая растровая электронная микроскопия; НФ – нафталин; SНФ – сульфированный пористый аморфный ароматический полимер на основе НФ; НЧ – наночастицы; УПП – удельная площадь поверхности; HAADF – высокоугловой кольцевой детектор темного поля; ЭДС – энергодисперсионный рентгеновский спектрометр.
ВВЕДЕНИЕ
Разработка эффективной каталитической системы требует знания структуры каталитических центров, а также факторов и условий, которые активируют и дезактивируют систему в ходе реакции. Направленный дизайн каталитических систем, содержащих переходные металлы, осложняется их динамической природой, поскольку в ходе реакции катализатор испытывает химические превращения [1, 2]. Исследования в этой области привели к появлению концепции катализаторов “коктейльного” типа, основная идея которой заключается в том, что из нескольких форм металла-катализатора, содержащихся в растворе, как минимум одна проявляет активность [3].
Среди процессов, катализируемых палладием, наибольшее распространение нашли реакции образования углерод-углеродных связей, являющиеся ключевым инструментом синтетической органической химии [4]. Особый интерес исследователей вызывают реакции кросс-сочетания Сузуки, Соногаширы и Хека [3, 5–9], о чем говорит увеличение за последние десятилетия количества посвященных им публикаций [10–12].
Особенности каталитического цикла процессов кросс-сочетания приводят к непрерывному взаимопревращению различных форм палладия – соединений PdII, кластеров, а также наночастиц (НЧ) Pd0, следовательно, агрегация, диссоциация и вымывание палладия могут способствовать изменению морфологии катализатора и, как следствие, его активности и селективности. Для эффективного направленного дизайна необходимо наличие модели эволюции катализатора в ходе реакции [3, 6].
Одним из подходов, получивших широкое применение в случае сложных химических процессов, является исследование закономерностей протекания конкурирующих реакций. Этот подход чаще всего используют для изучения поведения высокоактивных соединений, образующихся in situ, выделение которых в чистом виде не представляется возможным.
В основе метода конкурирующих реакций лежит способность одной и той же частицы (это может быть молекула, свободный радикал, ион) одновременно взаимодействовать с несколькими реагентами, которые конкурируют друг с другом [13].
Отдельного внимания заслуживает подход, основанный на оценке величины дифференциальной селективности катализатора по определенному продукту как параметра, не зависящего от концентрации активных частиц, зачастую являющейся нестационарной. Однако из-за трудоемкости реализации его крайне редко используют в исследованиях механизмов реакций.
Группой ученых под руководством А.Ф. Шмидта разработан метод оценки величины дифференциальной селективности с помощью так называемых фазовых траекторий, требующих исключительно интегральных кинетических данных. Впервые этот подход был применен для различения случаев катализа реакций кросс-сочетания Хека и Сузуки растворенными молекулярными комплексами палладия в растворе или соединениями, находящимися в гетерогенной фазе [14]. Основная его идея заключается в сравнении фазовых траекторий в серии экспериментов с разными начальными условиями. Однако анализ индивидуальной фазовой траектории, получаемой в ходе одного эксперимента, также может быть использован для исследования механизмов каталитических реакций, в частности, для изучения динамики превращений активного катализатора в ходе реакции. Возможности применения данного подхода в этих целях были продемонстрированы на примере ряда катализируемых соединениями палладия реакций кросс-сочетания Сузуки, Соногашира и Хека, а также прямого арилирования гетероароматических соединений [15–17].
В рамках настоящей работы приведенный выше метод фазовых траекторий впервые апробирован для конкурентных реакций, протекающих в присутствии палладиевых каталитических систем на основе сульфированного пористого аморфного ароматического полимера. Ранее было показано, что введение сульфогрупп в состав полимера повышает его гидрофильность, улучшая смачиваемость в выбранных полярных растворителях, снижает адсорбцию продуктов реакции, а также способствует более равномерному распределению Pd-содержащей фазы катализатора [18]. Поэтому в представленной работе в качестве носителя использовали функционализированный полимер, позволяющий обеспечить более высокую стабильность и активность катализаторов по сравнению с аналогом, не содержащим функциональные группы.
Необходимо отметить, что одностадийный синтез аморфного ароматического полимера осуществляли посредством реакции Фриделя–Крафтса, которая обеспечивает быстрое формирование прочных ковалентных связей с образованием сшитой пористой полимерной сетки [19]. Алкилирование мономеров по Фриделю–Крафтсу не требует наличия специфических заместителей в их составе и позволяет избежать применения дорогостоящих катализаторов полимеризации на основе благородных металлов.
Несмотря на большое количество публикаций об успешном использовании пористых ароматических полимеров в качестве носителей каталитических систем [20, 21], изменение морфологии катализаторов в ходе реакций кросс-сочетания в присутствии таких систем, а также влияние условий реакции на их поведение является малоизученным направлением. Поэтому целью настоящей работы было исследование кинетических особенностей протекания реакции Сузуки в условиях конкурирующих субстратов (арилбромидов и иодидов) в присутствии палладийсодержащих катализаторов, синтезированных с применением в качестве носителя пористого аморфного ароматического полимера.
ЭКСПЕРИМЕНТАЛЬНАЯ ЧАСТЬ
Материалы
Использовали следующие реактивы: 4-броманизол (98%, “Merck KGaA”, Германия); 4-бромбензальдегид (98%, “Alfa Aesar”, Германия); 4-бромнитробензол (98%, АО ”Вектон”, Россия); бромид натрия (99.5%, Acros Organics, Бельгия); 4-метоксибифенил (99%, “Tokyo Chemical Industry Co. Ltd.”, Япония); дифениламин (99%, ООО “Примахимсервис”, Россия); ацетат палладия (47.68% Pd, ОАО “Аурат”, Россия); этанол (99.8%, “Константа-Фарм М”, Россия); 4-иоданизол (98%), фенилбороновая кислота (95%), бифенил (99.5%), боргидрид натрия (99.5%) – “Sigma-Aldrich”, США; хлорид натрия (99.9%), ацетат натрия 3-водный (99.9%) – АО “База №1 Химреактивов”, Россия; гидроксид натрия (≥98%), изопропанол (99.5%) – ООО “НПФ Химмедсервис”, Россия; карбонат натрия (≥99.8%), карбонат калия (≥99%) – ООО “АО Реахим”, Россия. Ацетат натрия предварительно обезвоживали, остальные вещества использовали без дополнительной обработки. Вода подвергалась дистилляции.
Синтез полимерного носителя
Синтез полимера проводили путем сшивки 20 ммоль нафталина (НФ) диметилацеталем формальдегида (метилалем) в количестве 120 ммоль по методике, описанной ранее в работе [18]. В качестве растворителя в типичном эксперименте применяли 1,2-дихлорэтан (20 мл), а в качестве катализатора полимеризации – безводный FeCl3 (60 ммоль). Сульфирование полимера осуществляли по методике, описанной в работах [18, 22], с использованием H2SO4 в качестве сульфирующего агента.
Синтез катализаторов
Палладиевый катализатор 1% Pd/SНФ (SНФ – сульфированный пористый аморфный ароматический полимер на основе НФ) синтезировали методом пропитки по влагоемкости. В типичном эксперименте 0.5 г SНФ пропитывали 3 мл раствора прекурсора (Pd(CH3COO)2) в тетрагидрофуране. Затем полученный образец, в состав которого входит 1 мас. % Pd (содержание металла подтверждено методом рентгенфлуоресцентного анализа), сушили на воздухе при 65°С до достижения постоянной массы. С целью формирования наночастиц (НЧ) палладия проводили восстановление катализатора в среде этанола с помощью водного раствора NaBH4 (0.1 моль/л) [18]. Восстановленная каталитическая система обозначена как 1% Pd/SНФ-R.
Методика проведения реакции Сузуки
Как исходный, так и восстановленный образцы Pd-содержащих катализаторов были протестированы в модельной реакции кросс-сочетания Сузуки (схема 1) при варьировании следующих параметров: природы субстрата (4-броманизол, 4-иоданизол, 4-бромнитробензол, 4-бромбензальдегид), природы основания (NaOH, Na2CO3, K2CO3), температуры (40–60°С) и скорости перемешивания (300–1200 об/мин).
Схема 1. Реакция кросс-сочетания Сузуки
Процесс проводили в периодическом режиме на воздухе. В термостатированный до заданной температуры реактор вносили арилгалогенид (1 ммоль), фенилбороновую кислоту (1.5 ммоль), основание и 20 мл растворителя – смесь этанола и воды. В случае применения в качестве основания NaOH объем воды составлял 5 мл, замена NaOH на Na2CO3 и K2CO3 требовала увеличения количества воды до 7 и 8 мл соответственно при сохранении суммарного объема 20 мл. Природа и соотношение растворителей были обусловлены отсутствием необходимости использования агентов фазового переноса, так как в диапазоне выбранных концентраций исходных реагентов, а также продуктов реакции система оставалась гомогенной. Важно отметить, что NaOH добавляли в реакционную смесь в количестве 2 ммоль, тогда как Na2CO3 или K2CO3 – 1 ммоль, предполагая их полную диссоциацию.
Реакционную смесь оставляли на 60 мин при перемешивании. Затем, после отбора “нулевой” пробы, добавляли катализатор (20 мг, что составляет 0.2 мол. % Pd по отношению к арилгалогениду) в виде суспензии в 10 мл этанола (общий объем жидкой фазы 30 мл). Продолжительность реакции от момента внесения катализатора – 60 мин.
Для исследования поведения каталитических систем 1% Pd/SНФ и 1% Pd/SНФ-R в условиях конкурирующих субстратов были выбраны следующие пары веществ: 4-броманизол и 4-иоданизол; 4-броманизол и 4-бромнитробензол; 4-бромнитробензол и 4-бромбензальдегид. Оба субстрата вносили в реактор одновременно в количестве по 1 ммоль каждого. Реакцию проводили аналогично приведенной выше методике при температуре 60°С, скорости перемешивания 900 об/мин в присутствии 10 мг катализатора. Количества фенилбороновой кислоты и основания (NaOH) были увеличены в 2 раза по сравнению с типичным экспериментом и составили 3 и 4 ммоль соответственно. Исходили из предположения, что такого избытка будет достаточно для того, чтобы конверсия арилгалогенидов не лимитировалась недостатком данных реагентов [23].
Кроме того, было изучено влияние добавок (NaCl, NaBr, CH3COONa) на конверсию конкурирующих арилгалогенидов. Соли натрия вводили одновременно с остальными реагентами из расчета 50 экв на общее количество палладия в катализате.
Анализ катализата осуществляли методом газовой хромато-масс-спектрометрии с применением газового хромато-масс-спектрометра GCMS-QP2010S (“Shimadzu”, Япония). Температура испарителя, интерфейса и источника ионов – 260°C, давление газа носителя (He) – 74.8 кПа, линейная скорость потока газа носителя – 36.3 см/с; режим сканирования детектора от 10 до 500 а.е.м./z; ионизация электронным ударом. Продолжительность анализа составляла 30 мин. Анализируемую смесь разделяли на капиллярной колонке Agilent HP-1MS 100 м × 0.25 мм × 0.25 мкм в режиме программирования температуры термостата: 120°С (0 мин) → → 10°С/мин (160°С) → 25°С/мин (300°С) → 300°С (2.4 мин). В качестве растворителя использовали изопропиловый спирт, дифениламин служил внутренним стандартом.
Конверсию арилгалогенида (X, %) вычисляли в соответствии с уравнением (1):
, (1)
где C0 – концентрация арилгалогенида в “0” пробе, моль/л; Ci – концентрация арилгалогенида в пробе катализата в ходе реакции, моль/л.
Так как в ходе кросс-сочетания возможно образование побочного продукта – бифенила, то производили расчет доли целевого продукта (S, %) в соответствии с уравнением (2):
, (2)
где CP – концентрация продукта кросс-сочетания, моль/л; CБФ – концентрация бифенила, моль/л.
Активность катализаторов (W, мольсубстр мольPd–1 мин-1) рассчитывали как тангенс угла наклона начального линейного участка на кинетических кривых зависимости концентрации арилгалогенида от времени, отнесенный к концентрации всего Pd в реакционной смеси в соответствии с уравнением (3):
, (3)
где CPd – концентрация палладия, моль/л; t – время реакции, мин.
Методы характеризации полимера и катализаторов
Синтезированный полимер и катализаторы на его основе были охарактеризованы методом низкотемпературной адсорбции азота, рентгенфлуоресцентного анализа (РФА), рентгенофотоэлектронной спектроскопии (РФЭС), оптической микроскопии и просвечивающей растровой электронной микроскопии (ПРЭМ). Содержание палладия определяли методом РФА на аналитическом рентгеновском спектрометре VRA-30 (“Carl Zeiss Jena”, Германия). Исследование методом низкотемпературной адсорбции азота проводили с помощью анализатора площади поверхности и распределения пор по размерам Beckman Coulter SA 3100 и прибора подготовки образцов Beckman Coulter SA-PREP (“Coulter Corporation”, США). Состав поверхности полимера и катализаторов, а также валентное состояние палладия исследовали методом РФЭС на электронном спектрометре ЭС-2403 (СКБ АП РАН, Россия), оснащенном анализатором энергий PHOIBOS 100-5MCD (“SPECS”, Германия) и источником рентгеновского излучения XR-50 (“SPECS”, Германия). Средний диаметр НЧ Pd определяли с погрешностью ± 0.1 нм методом ПРЭМ с применением просвечивающего электронного микроскопа FEI Tecnai Osiris (“Thermo Fisher Scientific”, США), работающего при ускоряющем напряжении 200 кВ и оборудованного высокоугловым кольцевым детектором темного поля (HAADF) и энергодисперсионным рентгеновским спектрометром (ЭДС). Размеры гранул полимера оценивали с использованием оптического микроскопа и камеры Горяева (сторона малого квадрата – 0.05 ± 0.01 мм, сторона большого квадрата – 0.2 ± 0.015 мм, площадь сетки – 9 мм2). Полученные фотографии обрабатывали при помощи программ Adobe Photoshop и Scion Image, расчет среднего диаметра частиц и их распределения по размерам проводили с помощью программы Microsoft Excel.
РЕЗУЛЬТАТЫ И ИХ ОБСУЖДЕНИЕ
Характеризация полимерного носителя и катализаторов
На рис. 1 представлена фотография полимера SНФ, полученная в камере Горяева. Средний размер частиц SНФ приближенно оценен в 10.4 ± 9.0 мкм.
Рис. 1. Фотография гранул полимера SНФ
Исследование методом низкотемпературной адсорбции азота показало, что после сульфирования полимера на основе НФ его кажущаяся удельная площадь поверхности (УПП) уменьшилась с 757 до 627 м2/г, при этом характер пористости практически не изменился. Снижение кажущейся УПП, вероятно, обусловлено частичным расщеплением метиленовых мостиков, образовавшихся в процессе сшивки НФ метилалем, с их одновременным окислением [18].
Методом РФЭС обнаружено, что на поверхности полимера SНФ присутствует сера (1.7 ат. %) в виде SO3H-групп: энергия связи (Есв) S2p3/2 составляет 168.7 ± 0.1 эВ. В ходе РФЭС-исследования восстановленного катализатора 1% Pd/SНФ-R на поверхности образца был найден металлический палладий с Есв(Pd3d5/2) = 335.8 ± 0.1 эВ (рис. 2а). Методом ПРЭМ (рис. 2б) подтверждено наличие в составе 1% Pd/SНФ-R наночастиц палладия со средним диаметром 8.3 ± 2.7 нм.
Рис. 2. РФЭ-спектр высокого разрешения Pd3d (а) и светлопольное ПЭМ-изображение катализатора 1% Pd/SНФ-R (б)
Влияние условий реакции
В реакции Сузуки между 4-броманизолом и фенилбороновой кислотой было изучено влияние следующих параметров: интенсивности перемешивания, температуры, а также природы основания.
Известно, что протекание гомогенно-каталитических процессов слабо зависит от скорости перемешивания, однако в случае суспензии твердого катализатора на наблюдаемые кинетические закономерности могут оказывать воздействие как внешнедиффузионные, так и внутридиффузионные факторы. На примере реакции кросс-сочетания 4-броманизола и фенилбороновой кислоты, которую проводили при 60°С с использованием NaOH в качестве основания, в присутствии предварительно восстановленной каталитической системы 1% Pd/SНФ-R, содержащей НЧ палладия (см. выше), исследовано влияние интенсивности перемешивания в диапазоне 300–1200 об/мин. Обнаружено (рис. 3), что с увеличением скорости перемешивания от 300 до 800 об/мин происходит линейный рост наблюдаемой каталитической активности W, а в диапазоне от 900–1200 об/мин активность не зависит от этого показателя. Можно сделать вывод, что проведение реакции при скорости перемешивания 900 об/мин и выше позволяет устранить внешнедиффузионные ограничения. Что касается внутридиффузионных ограничений, то, поскольку выбранный полимер является тонкодисперсным (рис. 1) и хорошо смачивается выбранными растворителями, было сделано предположение об отсутствии внутридиффузионных ограничений.
Рис. 3. Зависимость каталитической активности от скорости перемешивания в реакции кросс-сочетания 4-броманизола и фенилбороновой кислоты в присутствии 1% Pd/SНФ-R
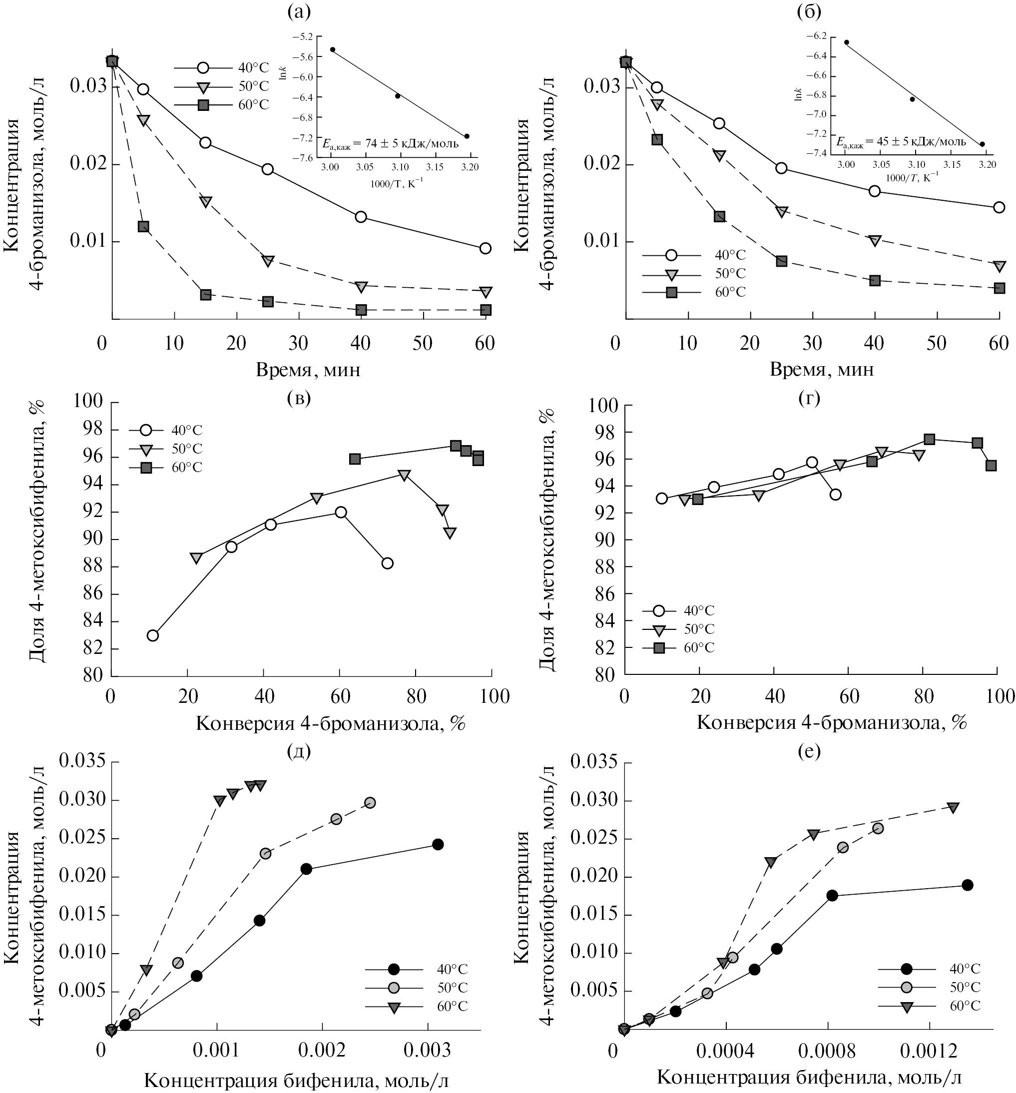
Исследование влияния температуры в диапазоне от 40 до 60°С на протекание реакции кросс-сочетания 4-броманизола и фенилбороновой кислоты проводили при скорости перемешивания 900 об/мин в присутствии как исходного (1% Pd/SНФ, рис. 4а), так и предварительно восстановленного (1% Pd/SНФ-R, рис. 4б) образцов. Показано (рис. 4), что скорость реакции в присутствии обоих катализаторов возрастает пропорционально повышению температуры. Это позволяет провести приблизительную оценку значения кажущейся энергии активации (Еа,каж), которая составляет 74 ± 5 и 45 ± 5 кДж/моль соответственно. Необходимо отметить, что при расчете Еа,каж значение k вычисляли как тангенс угла наклона начального линейного участка на кинетических кривых зависимости концентрации 4-броманизола от времени.
Рис. 4. Зависимости концентрации 4-броманизола от времени (а, б), доли продукта кросс-сочетания в смеси с продуктом гомосочетания (бифенилом) от конверсии 4-броманизола (в, г), а также соответствующие фазовые траектории (д, е) при варьировании температуры реакции в присутствии исходного 1% Pd/SНФ (а, в, д) и восстановленного 1% Pd/SНФ-R (б, г, е) образцов
Найденные величины Еа,каж согласуются с результатами, полученными ранее для монометаллических палладиевых катализаторов, нанесенных на сверхсшитый полистирол [23], а также с данными, представленными другими исследовательскими группами. Например, в работе [24] для НЧ Pd, нанесенных на цеолиты, значения кажущейся энергии активации составляли порядка 41–56 кДж/моль. Для хлорида палладия (II), нанесенного на гидротальцит, в реакции кросс-сочетания бромбензола и фенилбороновой кислоты Еа,каж = 47 кДж/моль [25]. В работе [26] было исследовано протекание кросс-сочетания Сузуки между 3-иодтолуолом и фенилбороновой кислотой в присутствии биметаллической каталитической системы, представляющей собой НЧ Au-Pd, нанесенные на ZrO2. Было показано, что при проведении реакции в темноте кажущаяся энергия активации была равна 49.2 кДж/моль, тогда как при облучении видимым светом – 33.7 кДж/моль.
Интересно отметить, что повышение температуры приводит к увеличению доли продукта кросс-сочетания (4-метоксбифенила) в смеси с продуктом гомосочетания фенилбороновой кислоты – бифенилом (рис. 4в и 4г). Данный эффект в большей степени проявляется в случае невосстановленного образца 1% Pd/SНФ, содержащего в начальный момент времени PdII, по сравнению с восстановленным 1% Pd/SНФ-R, содержащим НЧ Pd0. Известно [27–29], что накоплению продукта гомосочетания арилбороновой кислоты способствует присутствие кислорода и воды в системе, которые участвуют в образовании оксидов [28] и пероксокомплексов [27] палладия, а также в активации арилбороновой кислоты – образовании пероксидов [29], которые в щелочной среде могут разрушаться до фенолов [30], пики которых обнаруживаются на хроматограммах катализата. Ранее [31] нами было показано, что замена воздуха на азот помогает снизить содержание бифенила в катализате, в результате чего доля 4-метоксибифенила в смеси с бифенилом возрастает с примерно 96 до >98% при конверсии 4-броманизола 94%. В рамках настоящей работы все реакции проводили на воздухе в смеси этанола и воды. Таким образом, можно предположить, что повышенное накопление бифенила в катализате в случае исходного образца 1% Pd/SНФ обусловлено наличием в его составе PdII, при этом с ростом температуры возможно увеличение скорости осаждения палладия с формированием НЧ Pd0.
Реакции кросс-сочетания и гомосочетания протекают параллельно, однако присутствие разных заместителей у выбранных в настоящей работе арилгалогенида и арилбороновой кислоты позволило разделить продукты этих двух реакций и рассчитать кажущуюся энергию активации процесса гомосочетания фенилбороновой кислоты, которая в случае 1% Pd/SНФ составила 42 ± 5 кДж/моль. Если построить фазовые траектории накопления 4-метоксибифенила и бифенила, то можно заметить, что, в отличие от 1% Pd/SНФ (рис. 4д), при использовании восстановленного 1% Pd/SНФ-R (рис. 4е) фазовые траектории имеют S-образную форму и более вогнуты в начале координат. Это свидетельствует о том, что в присутствии PdII (1% Pd/SНФ) накопление бифенила происходит сразу же после начала реакции и идет, вероятно, независимо от синтеза 4-метоксибифенила. До достижения концентрации бифенила 0.0002–0.0004 моль/л (первые 5 мин реакции) фазовые траектории, наблюдаемые для образцов 1% Pd/SНФ и 1% Pd/SНФ-R при разных температурах, практически не отличаются. Совпадение фазовых траекторий при использовании различных по природе предшественников катализаторов наблюдалось и в ряде других работ [16, 32] и может быть обусловлено тем, что в реакции принимают участие одинаковые активирующие частицы. При более высоком содержании бифенила в случае 1% Pd/SНФ-R (рис. 4е) происходит ускорение синтеза 4-метоксибифенила. Данный факт может быть связан с тем, что становится больше высокореакционноспособных форм палладия (вероятно, гомогенных комплексов Pd0), формирующихся из НЧ, по сравнению с первыми минутами реакции.
Влияние природы основания изучали при интенсивности перемешивания 900 об/мин и температуре 60°С в присутствии катализатора 1% Pd/SНФ-R. Установлено, что замена NaOH на Na2CO3 приводит к уменьшению конверсии 4-броманизола, достигаемой за 60 мин реакции, с 88 до 86%. Замена Na2CO3 на K2CO3 еще больше снижает этот показатель – до 82%. Доля 4-метоксибифенила в смеси с бифенилом при использовании K2CO3 практически не изменяется по сравнению с таковой в опытах, проведенных с другими основаниями, и составляет ~98% при конверсии 4-броманизола 82%.
Исследование кинетических закономерностей поведения катализаторов в условиях конкурирующих субстратов
Известно, что при проведении эксперимента в условиях пары конкурирующих арилгалогенидов, имеющих различную реакционную способность, можно наблюдать ускорение конверсии менее активного субстрата, совпадающее по времени с практически полным израсходованием более активного. Это может свидетельствовать о быстром характере стадии окислительного присоединения с участием не только реакционноспособных арилиодидов, но и неактивированных арилбромидов [17].
Таким образом, в рамках настоящей работы для безлигандного катализатора 1% Pd/SНФ-R, содержащего НЧ Pd0 в качестве источника каталитически активных форм палладия, было впервые исследовано кросс-сочетание Сузуки в присутствии конкурирующих субстратов (рис. 5 и 6). Все эксперименты проводили при 60°С с применением NaOH в качестве основания, однако количество катализатора было уменьшено в 2 раза (с 20 до 10 мг) по сравнению с опытами, в которых варьировали условия реакции. Стоит подчеркнуть, что при использовании 10 мг образца 1% Pd/SНФ-R активность W, отнесенная к общему количеству палладия в реакционной смеси, оставалась такой же, как и в случае 20 мг катализатора. Это также свидетельствует об отсутствии внутридиффузионных и внешнедифузионных ограничений.
Рис. 5. Кинетические кривые зависимости концентрации арилгалогенидов от времени в условиях конкурирующих субстратов: 4-иоднаизола и 4-броманизола (а), 4-бромнитробензола и 4-броманизола (б), а также влияние добавок солей натрия на зависимость концентрации 4-бромнитробензола (сплошные линии) и 4-броманизола (пунктирные линии) от времени (в) и фазовые траектории (г) в присутствии катализатора 1% Pd/SНФ-R
Рис. 6. Сравнение зависимостей концентраций 4-бромнитробензола и 4-бромбензальдегида от времени в отдельных экспериментах (черные символы) и в условиях конкурирующих субстратов (серые символы) в присутствии исходного 1% Pd/SНФ (а) и восстановленного 1% Pd/SНФ-R (б) катализаторов, а также соответствующие фазовые траектории, полученные при первом и повторном использовании образцов 1% Pd/SНФ (в) и 1% Pd/SНФ-R (г) в условиях конкурирующих субстратов
Для пары арилгалогенидов 4-иоданизол и 4-броманизол показано (рис. 5а), что в условиях конкурирующих субстратов происходит взаимное ускорение конверсии обоих арилгалогенидов по сравнению с опытами с индивидуальными веществами. В обоих случаях 4-иоданизол проявляет более высокую активность, чем 4-броманизол, а фазовая траектория, построенная в координатах “конверсия 4-иоданизола–конверсия 4-броманизола”, является линейной, что говорит о неизменности природы каталитически активной формы палладия, отвечающей за превращения обоих арилгалогенидов [15]. Относительно низкая активность арилбромидов в реакциях кросс-сочетания может быть связана с их неспособностью эффективно удерживать молекулярные комплексы Pd0 в растворе в условиях отсутствия сильных органических лигандов. Ранее в ходе расчетов энергии адсорбции бензольного кольца на маленьких кластерах Pd0 (состоящих из четырех или девяти атомов) нами было установлено [33], что адсорбция 4-иоданизола происходит диссоциативно и безактивационно, что принципиально отличает его от 4-броманизола. Это может объяснить высокую активность арилиодидов в реакции кросс-сочетания Сузуки, а также склонность палладиевых катализаторов к быстрой дезактивации в присутствии арилиодидов в отличие от менее реакционноспособных арилбромидов. Последнее, вероятно, может быть обусловлено резким нарушением морфологии катализатора и образованием неактивных форм (палладиевой черни) вследствие быстрых процессов растворения и осаждения палладия.
Из вида кинетических кривых, приведенных на рис. 5а, следует, что в условиях конкурирующих субстратов после полного исчерпания 4-иоданизола происходит замедление конверсии 4-броманизола, которое в целом характерно для экспериментов с его участием (рис. 4). В отличие от случая, описанного в работе [17], ускорения конверсии менее активного субстрата (4-броманизола) не наблюдалось. Больше того, когда в качестве конкурирующих субстратов используются два арилбромида (4-броманизол и 4-бромнитробензол), после достижения 100% конверсии более активного 4-бромнитробензола происходит практически полная остановка конверсии 4-броманизола (рис. 5б), хотя в начальный момент времени, как и в опытах с 4-иоданизолом, оба субстрата взаимно ускоряют конверсию друг друга. Соответствующая фазовая траектория в координатах “конверсия 4-бромнитробензола–конверсия 4-броманизола” до момента остановки реакции имеет вид прямой (рис. 5г).
На примере пары 4-броманизол и 4-бромнитробензол было решено провести эксперименты с добавками солей NaCl, NaBr, CH3COONa, анионы которых могут входить в состав активных комплексов палладия, участвующих в селективностьопределяющих стадиях, повышая активность катализатора [34–38]. Обнаружено, что во всех случаях добавление солей натрия вначале приводит к торможению конверсии 4-броманизола, но затем, по истечении порядка 15 мин реакции в случае CH3COONa и 5 мин – в случае NaCl и NaBr, наблюдается ускорение конверсии 4-броманизола, тогда как конверсия 4-бромнитробензола, наоборот, замедляется (рис. 5в). Таким образом, трансформация 4-броманизола в присутствии добавок продолжается даже после полного исчерпания 4-бромнитробензола и достигает 54% при использовании NaCl. Также в присутствии добавок в начальный период реакции вид кинетических кривых становится более сглаженным – исчезает незначительный индукционный период, характерный для 4-бромнитробензола как в индивидуальных экспериментах (рис. 5б), так и в условиях конкурирующих субстратов без добавок (рис. 5в). При этом введение добавок не сказывается на скорости накопления продукта гомосочетания фенилбороновой кислоты (бифенила): во всех опытах доля 4-метоксибифенила в смеси с бифенилом составляет 85–86% при конверсии 4-броманизола 40%.
Уменьшение реакционной способности в ряду Cl– > Br– > CH3COO– наблюдалось в работе [38] для реакций Pd–Pd трансметаллирования с участием различных ацетилидов палладия. Было сделано предположение, что ионы галогенов приводят к образованию более реакционноспособных металлоорганических нуклеофилов, способных ускорять стадию трансметаллирования. Авторами [38] также отмечалось, что хлорид-ионы могут участвовать в образовании анионного соединения [Pd0Cl(L)2]– в результате in situ восстановления PdII, ускоряя стадию окислительного присоединения. Fairlamb I.J.S. с соавт. [35] предложили механизм, основанный на предположении о том, что каталитическую активность проявляют НЧ Pd, сформированные in situ из предшественников (например, хлоридов или ацетатов палладия) и стабилизированные различными анионами. В работе [39] было показано, что небольшие кластеры Pd, образованные с участием галоген-анионов и органических лигандов, способны активировать арилбороновую кислоту, после чего происходит активация арилгалогенида. В активации арилбороновой кислоты могут быть задействованы и поверхностные соединения Pd [39], что делает вероятным участие поверхности НЧ в случае восстановленных катализаторов, таких как 1% Pd/SНФ-R.
Таким образом, все вышесказанное позволяет предположить, что в случае кросс-сочетания Сузуки между 4-броанизолом и фенилбороновой кислотой в присутствии 1% Pd/SНФ-R, формирование активных форм палладия in situ в начальный момент времени, вероятно, происходит с участием арилбороновой кислоты, при этом скорость процесса лимитируется стадией окислительного присоединения. Важно подчеркнуть, что вопрос о лимитирующей стадии в реакциях кросс-сочетания до настоящего момента является спорным. Проблема заключается в том, что смена лимитирующей стадии может происходить при замене одного галогена на другой, например, иода на бром, а также при изменении природы заместителя в составе арилгалогенида [38]. В случае пары конкурентных субстратов 4-иоданизол и 4-броманизол, вероятно, 4-иоданизол способствует быстрому образованию растворимых форм палладия, тогда как бром-анионы принимают участие в стабилизации каталитически активных частиц. Несмотря на то, что скорость стадии окислительного присоединения в случае 4-иоданизола выше, чем в случае 4-броманизола, конверсия иод- и бром-производных в присутствии 1% Pd/SНФ-R происходит схожим образом как в экспериментах с индивидуальными веществами, так и в условиях конкурирующих субстратов.
Что касается пары 4-броманизол и 4-бромнитробензол, электроноакцепторная группа –NO2, в отличие от электронодонорной –OCH3, является активирующей [40] и будет способствовать ускорению реакции окислительного присоединения, что объясняет более высокую активность 4-бромнитробензола по сравнению с 4-броманизолом. Вместе с тем очевидно, что данный арилбромид не способен сам генерировать активные формы палладия из НЧ Pd0, присутствующих в составе 1% Pd/SНФ-R, и нуждается в ускоренной генерации активных частиц палладия с участием фенилбороновой кислоты. Возможно, происходит смена лимитирующей стадии с окислительного присоединения на трансметаллирование. В пользу этого предположения свидетельствует исчезновение периода индукции в присутствии добавок (рис. 5в), а также то, что в случае исходной каталитической системы 1% Pd/SНФ, содержащей PdII, конверсия 4-бромнитробензола достигает 100% менее чем за 1 мин (конверсия 4-броманизола, как и в опытах с 1% Pd/SНФ-R, практически останавливается спустя 15 мин реакции и составляет 65%). Введение NaCl в реакционную смесь позволяет увеличить конверсию 4-броманизола с 65 до 70%, активность W при этом возрастает с 56 до 250 моль4-броманизола мольPd-1 мин-1.
Следуя данной логике, была исследована еще одна пара арилбромидов (4-бромнитробензол и 4-бромбензальдегид), оба содержат электроноакцепторные заместители. На рис. 6 приведено сравнение конверсии 4-бромнитробензола и 4-бромбензальдегида в опытах с индивидуальными веществами и в условиях конкурирующих субстратов, а также показаны фазовые траектории реакции кросс-сочетания Сузуки с конкурирующими субстратами в присутствии как исходного (1% Pd/SНФ), так и предварительно восстановленного (1% Pd/SНФ-R) катализаторов.
Очевидно, что при использовании 1% Pd/SНФ и 4-бромнитробензол, и 4-бромбензальдегид проявляют высокую активность в реакции кросс-сочетания с фенилбороновой кислотой: W составляет 884 моль4-бромнитробензола мольPd-1 мин-1 и 377 моль4-бромбензальдегида мольPd-1 мин-1. В присутствии конкурирующих субстратов происходит снижение начальной скорости реакции (рис. 6а) до 429 моль4-бромнитробензола мольPd-1 мин-1 и 208 моль4-бромбензальдегида мольPd-1 мин-1 соответственно. В случае восстановленного катализатора 1% Pd/SНФ-R для обоих арилбромидов наблюдается наличие небольшого индукционного периода на кинетических кривых зависимости конверсии от времени (рис. 6б). Эффект торможения реакции заметно усиливается в условиях конкурирующих субстратов: активность снижается для 4-бромнитробензола с 33 до 8 моль4-бромнитробензола мольPd-1 мин-1 и для 4-бромбензальдегида с 32 до 4 моль4-бромбензальдегида мольPd-1 мин-1.
Фазовые траектории в присутствии невосстановленного (1% Pd/SНФ) и предварительно восстановленного (1% Pd/SНФ-R) образцов отличаются (рис. 6в). Отклонение от линейной зависимости, вероятно, говорит об одновременном влиянии нескольких форм палладия на наблюдаемые кинетические закономерности в случае 1% Pd/SНФ. Интересные данные получены в ходе повторного использования образцов 1% Pd/SНФ и 1% Pd/SНФ-R в условиях конкурирующих субстратов (рис. 6в и 6г). Обнаружено изменение фазовых траекторий реакции. В случае 1% Pd/SНФ траектория становится более сглаженной (что указывает на возможный рост вклада НЧ Pd0), тогда как в случае 1% Pd/SНФ-R, наоборот, наблюдается отклонение от линейной зависимости, вероятно, свидетельствующее о появлении некоторой доли гомогенных форм палладия в результате частичного растворения НЧ в ходе первого использования катализатора.
Для подтверждения данной гипотезы было проведено ПРЭМ-исследование образцов 1% Pd/SНФ и 1% Pd/SНФ-R, взятых после однократного применения в реакции кросс-сочетания с одновременным участием 4-бромнитробензола и 4-бромбензальдегида (рис. 7). Как можно видеть из представленных микрофотографий, в отработанном образце 1% Pd/SНФ-R средний диаметр НЧ Pd0 меняется незначительно по сравнению с исходным катализатором (рис. 7а и 7б). При этом распределение НЧ по размерам нарушается (рис. 7г–7е): появляется фракция НЧ диаметром порядка 3 нм, а также имеются крупные агрегаты НЧ, размеры которых доходят до 20–25 нм, что свидетельствует о процессах растворения, миграции и переосаждения палладия в полимерном окружении SНФ. В образце 1% Pd/SНФ, взятом после реакции, также очевидно присутствие крупных НЧ Pd0 диаметром 10.7 ± 4.0 нм (рис. 7в), образующих агрегаты. Ранее [18] мы наблюдали аналогичное явление в реакции кросс-сочетания 4-броманизола и фенилбороновой кислоты, однако процессы растворения и переосаждения палладия были более выражены по сравнению с опытами в условиях конкурирующих 4-бромнитробензола и 4-бромбензальдегида – формировались НЧ меньшего диаметра, а крупные агрегаты встречались реже. Тот факт, что растворение и переосаждение палладия происходят гораздо менее интенсивно в случае реакции с конкурирующими 4-бромнитробензолом и 4-бромбензальдегидом в присутствии 1% Pd/SНФ-R, хорошо коррелирует с наблюдаемой низкой активностью данного катализатора в эксперименте (рис. 6б).
Рис. 7. Светлопольные ПРЭМ-изображения исходного 1% Pd/SНФ-R (а) и образцов 1% Pd/SНФ-R (б) и 1% Pd/SНФ (в) после реакции Сузуки в условиях конкурирующих субстратов (4-бромнитробензола и 4-бромбензальдегида); пример темнопольного снимка (г) и ЭДС-картирования по Pd (д) для катализатора 1% Pd/SНФ-R после реакции, а также гистограммы распределения частиц по размерам в образцах (е)
ЗАКЛЮЧЕНИЕ
В реакции между 4-броманизолом и фенилбороновой кислотой проведена серия экспериментов с варьированием условий кросс-сочетания (природа основания, скорость перемешивания и температура). Методом оценки дифференциальной селективности и фазовых траекторий накопления продуктов кросс-сочетания (4-метоксибифенила) и гомосочетания (бифенила) установлено, что, в отличие от исходного катализатора 1% Pd/SНФ, содержащего PdII, в случае восстановленного 1% Pd/SНФ-R, содержащего НЧ Pd0, независимо от температуры наблюдается ускорение синтеза 4-метоксибифенила при одновременном накоплении бифенила, что свидетельствует о формировании каталитически активных частиц из предшественников (НЧ палладия).
Впервые проведено исследование поведения безлигандных катализаторов, стабилизированных в “порах” сульфированного аморфного ароматического полимера SНФ, в реакции кросс-сочетания Сузуки в условиях конкурирующих субстратов (4-броманизола, 4-иоданизола, 4-бромнитробензола и 4-бромбензальдегида). Обнаружено, что 4-броманизол и 4-иоданизол в присутствии 1% Pd/SНФ-R взаимно ускоряют конверсию друг друга, не меняя в то же время механизм кросс-сочетания. Тогда как использование 4-бромнитробензола в смеси с 4-броманизолом после непродолжительного взаимного ускорения в начале реакции приводит к полной остановке конверсии последнего. Впервые показано, что конверсия 4-броманизола в условиях конкуренции с 4-бромнитробензолом может быть увеличена за счет добавок солей натрия (NaCl, NaBr, CH3COONa), которые, по-видимому, способны ускорять стадию трансметаллирования. Интересно также, что, независимо от предположения о лимитирующей стадии, в случае, когда источником каталитически активных частиц служат НЧ Pd0, ключевую роль, вероятно, играют поверхностные соединения палладия, участвующие в активации фенилбороновой кислоты до стадии активации арилгалогенида.
Пары арилбромидов, содержащих электроноакцепторные заместители (4-бромнитробензол и 4-бромбензальдегид), замедляют друг друга. Данный эффект особенно сильно проявляется в случае восстановленного катализатора 1% Pd/SНФ-R, что, вероятно, есть следствие практической неспособности выбранных арилгалогенидов переводить палладий в растворимую активную форму и удерживать его от осаждения. Изменение формы фазовых траекторий конверсии 4-бромнитробензола и 4-бромбензальдегида при повторном использовании образцов 1% Pd/SНФ и 1% Pd/SНФ-R также свидетельствует об изменении морфологии катализаторов, что подтверждается данными электронной микроскопии.
Следует отметить, что обе каталитические системы (1% Pd/SНФ и 1% Pd/SНФ-R) после использования в реакции Сузуки оказываются близки по морфологии и, предположительно, содержат “коктейль” из различных форм Pd. В невосстановленном образце в ходе реакции происходит формирование НЧ, в то время как в предварительно восстановленном катализаторе – процессы растворения, переосаждения и миграции Pd, сопровождающиеся изменением распределения НЧ по размерам.
ФИНАНСИРОВАНИЕ
Работа выполнена при финансовой поддержке Российского научного фонда (грант № 23-29-00604).
БЛАГОДАРНОСТИ
Авторы выражают благодарность к.ф.-м.н. Васильеву А.Л. (ИК РАН) за помощь в проведении ПРЭМ, а также к.х.н. Быкову А.В. (ФГБОУ ВО ТвГТУ) за помощь в проведении РФЭС.
КОНФЛИКТ ИНТЕРЕСОВ
Авторы заявляют об отсутствии конфликта интересов, требующего раскрытия в данной статье.
Об авторах
Л. Ж. Никошвили
Тверской государственный технический университет
Автор, ответственный за переписку.
Email: nlinda@science.tver.ru
Россия, Тверь
Е. С. Бахвалова
Тверской государственный технический университет
Email: nlinda@science.tver.ru
Россия, Тверь
М. Г. Сульман
Тверской государственный технический университет
Email: nlinda@science.tver.ru
Россия, Тверь
Список литературы
- Trzeciak A.M., Augustyniak A.W. // Coord. Chem. Rev. 2019. V. 384. P. 1.
- Pagliaro M., Pandarus V., Ciriminna R., Béland F., DemmaCarà P. // ChemCatChem. 2012. V. 4. P. 432.
- Eremin D.B., Ananikov V.P. // Coord. Chem. Rev. 2017. V. 346. P. 2.
- Афанасьев В.В., Беспалова Н.Б., Белецкая И.П. // Российский химический журнал. 2006. Т. 50. № 4. С. 81.
- Ashraf M., Ahmad M.S., Inomata Y., Inomata Y., Ullah N., Tahir M.N., Kida T. // Coord. Chem. Rev. 2023. V. 476. P. 214928.
- Kashin A.S., Ananikov V.P. // J. Org. Chem. 2013. V. 78. P. 11117.
- Astruc D. // Inorg. Chem. 2007. V. 46. P. 1884.
- Шмидт А.Ф., Аль-Халайка А., Смирнов В.В., Курохтина А.А. // Кинетика и катализ. 2008. Т. 49. № 5. С. 669. (Schmidt A.F., Al-Halaiqa A., Smirnov V.V., Kurokhtina A.A. // Kinet. Catal. 2008. V. 49. P. 638.)
- Chinchilla R., Nájera C. // Chem. Soc. Rev. 2011. V. 40. P. 5084.
- D’Alterio M.C., Casals-Cruañas È., Tzouras N.V., Talarico G., Nolan S.P., Poater A. // Chem. Eur. J. 2021. V. 27. P. 13481.
- Galushko A.S., Boiko D.A., Pentsak E.O., Eremin D.B., Ananikov V.P. // J. Am. Chem. Soc. 2023. V. 145. P. 9092.
- Шмид А.Ф., Курохтина А.А., Ларина Е.В., Лагода Н.А., Явсин Д.А., Гуревич С.А., Зеликман В.М., Кротова И.Н., Ростовщикова Т.Н., Тарханова И.Г. // Кинетика и катализ. 2023. T. 64. № 1. С. 39. (Schmidt A.F., Kurokhtina A.A., Larina E.V., Lagoda N.A., Yavsin D.A., Gurevich S.A., Zelikman V.M., Krotova I.N., Rostovshchikova T.N., Tarkhanova I.G. // Kinet. Catal. 2023. V. 64. P. 32.)
- Денисов Е.Т. Кинетика гомогенных каталитических реакций: учеб. пособие для вузов. 2-е изд. Москва: Высшая школа, 1978. 367 с.
- Шмидт А.Ф., Курохтина А.А., Ларина Е.В. // Кинетика и катализ. 2012. Т. 53. № 1. С. 86. (Schmidt A.F., Kurokhtina A.A., Larina E.V. // Kinetics and Catalysis. 2012. V. 53. № 1. P. 84.)
- Шмидт А.Ф., Курохтина А.А., Ларина Е.В., Лагода Н.А. // Тонкие химические технологии. 2023. Т. 18. № 4. С. 328. (Schmidt A.F., Kurokhtina A.A., Larina E.V., Lagoda N.A. // Fine Chem. Technol. 2023. V. 18. P. 328.)
- Ларина Е.В., Курохтина А.А., Лагода Н.А., Григорьева Т.А., Шмидт А.Ф. // Кинетика и катализ. 2023. Т. 64. № 4. С. 428. (Larina E.V., Kurokhtina A.A., Lagoda N.A., Grigoryeva T.A., Schmidt A.F. // Kinet. Catal. 2023. V. 64. № 4. P. 431.)
- Ларина Е.В., Ярош Е.В., Лагода Н.А., Курохтина А.А., Шмидт А.Ф. // Кинетика и катализ. 2019. Т. 60. № 3. С. 358. (Larina E.V., Yarosh E.V., Lagoda N.A., Kurokhtina A.A., Shmidt A.F. // Kinet. Catal. 2019. V. 60. № 3. P. 337.)
- Bakhvalova E.S., Bykov A.V., Markova M.E., Lugovoy Y.V., Sidorov A.I., Molchanov V.P., Sulman M.G., Kiwi-Minsker L., Nikoshvili L.Z. // Molecules. 2023. V. 28. P. 4938.
- Tan L., Tan B. // Chem. Soc. Rev. 2017. V. 46. Р. 3322.
- Yadav C., Maka V.K., Payra S., Moorthy J.N. // J. Catal. 2020. V. 384. Р. 61.
- Wang G., Wu Z., Liang Y., Liu W., Zhan H., Song M., Sun Y. // J. Catal. 2020. V. 384. Р. 177.
- Dalla Valle C., Zecca M., Rastrelli F., Tubaro C., Centomo P. // Polymers. 2020. V. 12. P. 600.
- Sapunov V.N., Nikoshvili L.Z., Bakhvalova E.S., Sulman M.G., Matveeva V.G. // Processes. 2023. V. 11. P. 878.
- Gao M., Wang J., Shang W., Chai Y., Dai W., Wu G., Guan N., Li L. // Catal. Today. 2023. V. 410. P. 237.
- Ruiz J.R., Jiménez-Sanchidrián C., Mora M. // Tetrahedron. 2006. V. 62. P. 2922.
- Xiao Q., Sarina S., Jaatinen E., Jia J., Arnold D.P., Liu H., Zhu H. // Green Chem. 2014. V. 16. P. 4272.
- Adamo C., Amatore C., Ciofini I., Jutand A., Lakmini H. // J Am. Chem. Soc. 2006. V. 128. P. 6829.
- Collins G., Schmidt M., O’Dwyer C., Holmes J.D., McGlacken G.P. // Angew. Chem. Int. Ed. 2014. V. 53. P. 4142.
- Saini S., Kumar K., Saini P., Sethi M., Meena P., Dandia A., Weigand W., Parewa V. // ACS Appl. Mater. Interfaces. 2024. Article ASAP.
- Jang W., Yun J., Ludwig L., Jang S.G., Bae J.Y., Byun H., Kim J.-H. // Front. Chem. 2020. V. 8. P. 834.
- Nikoshvili L., Bakhvalova E.S., Bykov A.V., Sidorov A.I., Vasiliev A.L., Matveeva V.G., Sulman M.G., Sapunov V.N., Kiwi-Minsker L. // Processes. 2020. V. 8. P. 1653.
- Шмидт А.Ф., Курохтинa А.А., Ларинa Е.В. // Кинетика и катализ. 2019. Т. 60. № 5. С. 555. (Schmidt A.F., Kurokhtina A.A., Larina E.V. // Kinet. Catal. 2019. V. 60. № 5. P. 551.)
- Бахвалова Е.С., Быков А.В., Никошвили Л.Ж., Киви Л.Л. // Физико-химические аспекты изучения кластеров, наноструктур и наноматериалов. 2021. № 13. С. 646.
- Ларинa Е.В., Курохтинa А.А., Лагода Н.А, Шмидт А.Ф. // Кинетика и катализ. 2022. Т. 63. № 2. С. 234. (Larina E.V., Kurokhtina A.A., Lagoda N.A., Schmidt A.F. // Kinet. Catal. 2022. V. 63. № 2. P. 207.)
- Scott N.W.J., Ford M.J., Jeddi N., Eyles A., Simon L., Whitwood A.C., Tanner T., Willans C.E., Fairlamb I.J.S. // J. Am. Chem. Soc. 2021. V. 143. P. 9682.
- Kalek M., Jezowska M., Stawinski J. // Adv. Synth. Catal. 2009. V. 351. P. 3207.
- Jutand A. // Appl. Organometal. Chem. 2004. V. 18. P. 574.
- Ivančič A., Košmrlj J., Gazvoda M. // Commun. Chem. 2023. V. 6. P. 51.
- Fu F., Xiang J., Cheng H., Cheng L., Chong H., Wang S., Li P., Wei S., Zhu M., Li Y. // ACS Catal. 2017. V. 7. P. 1860.
- Mohajer F., Heravi M.M., Zadsirjan V., Poormohammad N. // RSC Adv. 2021. V. 11. P. 6885.
Дополнительные файлы










