Synthesis, Structure and Chemical Properties of 1-Oxydopyridinediazonium Sulfonates
- Authors: Krasnokutskaya E.A.1, Sanzhiev A.N.1, Erin K.D.1, Bondarev A.A.2, Potapov A.S.3, Filimonov V.D.1
-
Affiliations:
- National Research Tomsk Polytechnic University
- Altai State University
- Nikolaev Institute of Inorganic Chemistry of the Siberian Branch of Russian Academy of Sciences
- Issue: Vol 61, No 1 (2025)
- Pages: 88-101
- Section: ЭКСПЕРИМЕНТАЛЬНЫЕ СТАТЬИ
- URL: https://journal-vniispk.ru/0514-7492/article/view/291949
- DOI: https://doi.org/10.31857/S0514749225010071
- EDN: https://elibrary.ru/AFMPAQ
- ID: 291949
Cite item
Abstract
The products of diazotization of 2-, 3-, and 4-aminopyridin-1-oxides in the presence of TsOH, TfOH, and camphorsulfonic acid were investigated by IR, NMR, X-ray diffraction analysis, ESI/MS and MS2 spectroscopy, and B3LYP/aug-cc-pVDZ. The structures of the products and their stability during storage depend on the type of the starting aminopyridine. 4-Aminopyridin-1-oxide reacts to give stable diazonium sulfonates, and the 2-aminoisomer gives [1,2,3,5]oxotriazol[5,4-a]pyridinium-2 sulfonates. All products readily undergo reactions typical for diazonium salts. By the B3LYP/aug-cc-pVDZ method it was determined that 4-diazonium-pyridinium-1-oxide and benzoldiazonium cation have the highest stability in the series of diazonium cations of pyridine, pyridine-1-oxide and benzoldiazonium cation.
Full Text
ВВЕДЕНИЕ
Ароматические и гетероароматические соли диазония являются важными строительными блоками органического синтеза для получения красителей, лекарственных средств и других полезных продуктов [1, 2], а в настоящее время они активно используются для модификации твердых поверхностей при получении композитных материалов [2–4].
В отличие от ароматических солей диазония, диазосоединения пиридинового ряда менее известны и гораздо реже применяются в органическом синтезе. При соблюдении определенных условий в индивидуальном виде получен пиридин-3-диазония тетрафторборат, однако в сухом виде эта соль взрывоопасна [5]. Описано лишь 2 случая диазотирования 4-аминопиридина в присутствии HBF4 [6, 7], при этом сообщается, что пиридин-4-диазония тетрафторборат – крайне неустойчивое, быстро разлагающееся на воздухе соединение. Примеры успешного диазотирования 2-аминопиридина не найдены.
Целью настоящей работы являлась разработка метода синтеза 1-оксидопиридиндиазоний сульфонатов, экспериментальное и теоретическое исследование свойств этого нового класса диазониевых соединений.
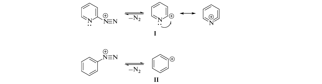
Сложности диазотирования аминопиридинов объясняют влиянием атома азота цикла: в сильно кислых средах он протонируется, что дезактивирует аминогруппу (особенно в положениях 2 и 4 цикла) [8]. В слабокислых средах диазотирование происходит, однако образующаяся соль диазония склонна к отщеплению диазогруппы, особенно в положениях 2 и 4 цикла. Причиной этого, согласно квантово-химическим расчетам M06–2X/6–311+G(d,p) [9], является повышенная термодинамическая стабильность образующихся в результате дедиазонирования 2- и 4-пиридилкатионов (I) по сравнению с фенилкатионом (II) (схема 1).
Схема 1
Таким образом, пиридиндиазониевые соли приближаются к неустойчивым диазониевым соединениям алифатического ряда, быстрый распад которых также определяется относительно высокой стабильностью образующихся алифатических карбкатионов.
Низкая стабильность пиридиндиазониевых катионов предопределяет их повышенную реакционную способность, что выражается, например, в легком замещении диазониевой группы на некоторые нуклеофилы без инициирования солями меди. В качестве примеров таких полезных превращений можно привести простое и эффективное диазотирование–йодирование аминопиридинов в присутствии TsOH и KI [10], образование пиридилсульфонатов PyOSO2R в результате диазотирования под действием TsOH, TfOH, камфорсульфокислоты [11–14]. Реакции диазотирования аминопиридинов в ацетонитриле или ДМФА приводят к образованию пиридинацетамидов [15] и N,N-диметиламинопиридинов соответственно [16]. Показано [17], что аминопиридины легко диазотируются в гексафторизопропаноле в отсутствие сильных кислот, давая селективно и с высокими выходами гексафторизопропилоксипиридины PyOCH(CF3)2. Эта же реакция с анилинами проходит неселективно с образованием смесей продуктов.
Таким образом, в ряде случаев неустойчивость пиридиндиазониевых катионов может быть использована для получения практически ценных соединений. Однако в целом неустойчивость солей диазония пиридинового строения – основная причина, тормозящая использование аминопиридинов в диазониевых превращениях столь же широко, как и анилинов.
РЕЗУЛЬТАТЫ И ОБСУЖДЕНИЕ
Одним из путей решения указанной проблемы может быть предварительное окисление аминопиридинов до аминопиридин-1-оксидов, диазотирование которых приводит к малоизученным пиридиндиазония-1-оксидам. Так, в индивидуальном виде получен только 1-оксипиридин-4-диазония тетрафторборат [18, 19], и опубликованы лишь отрывочные сведения о его свойствах [20]. Показано [21], что при диазотировании всех 3 изомерных аминопиридин-1-оксидов в присутствии TsOH и KI диазониевые соли, образующиеся in situ, превращаются в йодпиридин-1-оксиды. Однако приведенные данные не позволяют однозначно определить строение пиридиндиазоний-1-оксидов, оценить их устойчивость, реакционную способность и возможности практического использования.
Мы провели квантово-химические DFT расчеты методом B3LYP/aug-cc-VDZ диазоний-катионов 3 изомерных пиридин-1-оксидов (1a–c) в сопоставлении с диазонийпиридинами (2a–c) и бензолдиазоний-катионом (3). Все исследованные диазоний-катионы имеют однотипное строение с линейным расположением диазониевой группы, лежащей в плоскости ароматических ядер, что является типичным для диазоний-катионов ароматического характера (например, [9, 22]). В табл. 1 приведены полученные в результате оптимизации значения длин связей C–N, N≡N и частот колебаний диазониевой группы ν N≡N.
Таблица 1. Длины связей (Å) и частоты колебаний связей N≡N в спектрах ИК диазоний-катионов 1a–c, 2a–c, 3, вычисленные методом B3LYP/aug-cc-pVDZ
Соединение | C–N | N≡N | ν N≡N, см–1 |
1.363 | 1.116 | 2320.7 | |
1.387 | 1.113 | 2348.0 | |
1.363 | 1.119 | 2297.9 | |
1.425 | 1.109 | 2370.6 | |
1.379 | 1.114 | 2334.0 | |
1.396 | 1.111 | 2365.6 | |
3 | 1.382 | 1.114 | 2337.2 |
Длины связей N≡N и частоты колебаний ν N≡N катионов 1a–c, 2a–c оказываются типичными для диазониевой группы. Межатомные расстояния C–N в диазоний-катионах отражают прочность связывания диазониевой группы с ароматическими ядрами. Из приведенных в табл. 1 данных следует, что наиболее длинными являются C–N дистанции в пиридиндиазоний-катионах 2a и 2c, что согласуется с неустойчивостью 2- и 4-пиридиндиазониевых солей, как указано выше. В то же время наиболее короткие расстояния C–N показывают диазоний-катионы 1a и 1c, в которых диазониевая группа связана с кольцом пиридин-1-оксида. Приведенные результаты свидетельствуют в пользу большей стабильности диазониевых солей 1-оксидопиридинового строения.
На это же указывают и сравнительные данные по термодинамике реакций дедиазонирования диазоний-катионов 1a–c, 2a–c, 3 (табл. 2), вычисленные по уравнению (гетероарилкатионы Het+ рассматривались в синглетном состоянии):
. (1)
Таблица 2. Свободные энергии (∆G) разрыва связей C–N диазоний-катионов 1a–c, 2a–c, 3, вычисленные методом B3LYP/aug-cc-pVDZ в газовой фазе и в воде (приближение CPCM*)
Соединение | ∆G, ккал/моль | |
Газовая фаза | H2O | |
![]() | 15.10 | 15.98 |
![]() | 19.96 | 21.99 |
![]() | 35.95 | 31.36 |
![]() | –0.33 | –1.85 |
![]() | 13.99 | 15.12 |
![]() | 10.85 | 11.66 |
3 | 19.74 | 17.95 |
* CPCM – Conductor-like Polarizable Continuum Model.
В целом, для 3 типов изученных диазоний-катионов наблюдается соответствие энергий дедиазонирования с вычисленными длинами связей C–N (табл. 1). Наименьшие энергии гетеролиза пиридиндиазоний-катионов 1a–c, 2a–c соответствуют наиболее длинным связям C–N, а наибольшая энергия гетеролиза пиридиндиазоний-1-оксидов 1b, c сопутствует наиболее коротким связям C–N. Исключением выступает катион 1a, относительно низкая энергия распада которого определяется аномально низкой свободной энергией за счет стабилизации положительного заряда соседним атомом кислорода (схема 2).
Схема 2
Проведенные расчеты предсказывают повышенную устойчивость 1-оксидопиридиндиазоний-катионов 1b и 1c не только в сравнении с пиридиндиазоний-катионами 2a–c, но и c бензолдиазоний-катионом 3.
Важно также отметить различное влияние положения диазониевой группы в пиридиновом кольце на устойчивость диазоний-катионов в ряду изомерных пиридинов и пиридин-1-оксидов. Так, у пиридин-катионов 2a–c возрастание стабильности наблюдается в ряду 2a < 2c < 2b. В противоположность этому пиридин-3-диазоний-1-оксид 1b оказывается наименее устойчивым, а пиридин-2-диазоний-1-оксид 1a представляет особый случай, что будет обсуждаться ниже.
Полученные теоретические данные, наряду с более ранними результатами [18, 19, 21], подтвердили целесообразность получения диазониевых солей из аминопиридин-1-оксидов. В качестве целевых диазониевых солей из аминопиридин-1-оксидов выбраны диазонийсульфонаты, поскольку ранее установлено, что тозилаты, трифлаты и камфорсульфонаты в качестве противоионов увеличивают стабильность ароматических диазониевых солей, а также придают им иные положительные свойства (безопасность, хорошая растворимость) [23–26].
Мы показали, что аминопиридин-1-оксиды (4–9) диазотируются действием трет-бутилнитрита (t-BuONO) в растворе уксусной кислоты в присутствии таких кислот, как TsOH, TfOH и камфорсульфокислота (CamphSO3H) в течение 1 ч при 5–12°С с полной конверсией. Установлено, что природа образующихся продуктов и их свойства сильно зависят от строения исходных аминов и сульфокислот.
При диазотировании 4-аминопиридин-1-оксида 4 в присутствии TfOH и TsOH выделены устойчивые кристаллические соединения, идентифицированные методами ИК, ЯМР спектроскопии и масс-спектрометрии как ранее неизвестные 1-оксидопиридин-4-диазония трифлат 4a и тозилат 4b с выходами 61 и 88% соответственно (схема 3).
Схема 3
Полученные диазониевые соли 4a, b могут храниться в сухом состоянии без изменений в течение нескольких недель при 5–15°С. Их истинная диазониевая природа подтверждается поглощением ν N≡N в спектрах ИК при 2292 и 2264 см–1 соответственно. В спектрах ЯМР 13С в области 110 м.д. регистрируется сигнал экранированного ипсо-углерода при диазогруппе, что является характерным спектральным критерием хорошо изученных арендиазония сульфонатов [23, 24].
Диазония трифлат 4a фиксируется также в спектрах ESI/MS в форме кластерных частиц (C5H4NON2+)n TfO–n–1, состоящих из (n + 1) диазониевых катионов и n-анионов (TfO-) (рис. 1). Ранее подобные кластеры наблюдали и для арендиазония трифлатов [25]. Основным направлением фрагментации 1-оксидопиридин-4-диазоний-катиона 1c является отщепление молекулярного азота с образованием катиона C5H4NO+.
Рис. 1. Спектр ESI/MS C5H4NO-4-N2+ TfO– 4a в положительном режиме desrfе ионизации. A = [C5H4NON2+], m/z = 122.04; B = [C5H4NO+], m/z = 94.03; кластерные катионы Cn = [C5H4NON2+]n+1[TfO–]n. m/z для катионов C1...C6 = 393.02; 664.1; 935.00; 1205.99; 1476.97; 1747.96
Таким образом, в соответствии с вышеприведенными квантово-химическими расчетами диазониевые соли 4a, b оказываются достаточно устойчивыми соединениями, похожими в этом отношении на арендиазония сульфонаты. В случае использования камфорсульфокислоты нам не удалось выделить индивидуальные продукты, хотя диазотирование проходит с полной конверсией, реакционные смеси дают положительную пробу с 2-нафтолом, в ИК спектрах наблюдается поглощение при 2300 см–1.
Химические свойства диазония сульфонатов 4a, b оказались сходными со свойствами устойчивых арендиазония сульфонатов. Они легко реагируют с KI, NaN3, диэтиламином, а также вступают в реакцию кросс-сочетания со стиролом в присутствии Pd(OAc)2, образуя соответствующие замещенные 1-оксипиридины 4c–f (схема 4).
Схема 4
1-Оксипиридин-4-диазония тозилат 4b вступает в те же реакции, что и трифлат 4a, и не показывает при этом отличий в реакционной способности.
В отличие от 4-аминопиридин-1-оксида 4 диазотирование 3-аминопроизводного 5 в присутствии TfOH, TsOH и CamphSO3H протекает с образованием быстро разлагающихся на воздухе соединений, которые не удалось выделить в индивидуальном виде. Однако диазониевая природа данных продуктов подтверждалась положительной пробой с 2-нафтолом, ИК поглощением ν N≡N 2302 см–1 (TfO-) и 2316 см–1 (TsO–), а также ранее полученными результатами по диазотированию-иодированию 3-аминопиридин-1 оксида 5 [21]. Таким образом, экспериментально обнаруженная неустойчивость продуктов диазотирования 3-аминопиридин-1оксида 5 полностью подтверждает расчетные данные (табл. 1, 2), демонстрирующие слабую связь диазониевой группы в положении 3 с 1-оксипиридиновым циклом.
При диазотировании 2-аминопиридин-1-оксида 6 и его 6-метилзамещенного 7 в присутствии TfOH (схема 5, табл. 3) в указанных выше условиях были выделены устойчивые продукты, которые давали положительную пробу с 2-нафтолом и полностью превращались в 2-йодпиридин-1-оксид и 2-азидопиридин-1-оксид в реакциях с KI и NaN3 (см. ниже). Однако в ИК спектрах этих продуктов отсутствовали полосы поглощения в области 2200–2300 см–1, характерные для группы N≡N.
Схема 5
Таблица 3. Диазотирование 2-аминопиридин-1-оксидов 6–9 действием t-BuONO в AcOH (5–12°C, 1–2 ч)
Субстрат | Кислота | Продукт | Выход, % |
TfOH | 78 | ||
TsOH | 94 | ||
CamphSO3H | 96 | ||
TfOH | 80 | ||
TfOH | 54 | ||
TfOH | 70 |
Монокристалл продукта диазотирования 2-амино-6-метилпиридин-1оксида 7 был исследован методом рентгеноструктурного анализа (РСА). Полученные данные свидетельствуют о том, что продуктом реакции является не диазониевая соль, а 5-метил[1, 2, 3, 5]оксотриазол[5,4-а]пиридиния-2 трифлат 7a (рис. 2, схема 5, табл. 3).
Рис. 2. Структура 5-метил[1, 2, 3, 5]оксотриазол[5,4-а]пиридиния-2 трифлата 7a по данным РСА: (а) асимметричная единица кристаллической структуры, атомы водорода не показаны; (б) межмолекулярные взаимодействия при упаковке, вид вдоль оси b
Соединение 7a кристаллизуется в моноклинной сингонии, пространственная группа симметрии P21/c. Асимметричная единица включает один [1, 2, 3, 5]оксотриазол[5,4-а]пиридиниевый катион и один трифлат-ион (рис. 2, а). При упаковке ионов в кристаллической решетке между ними проявляются межмолекулярные взаимодействия в виде коротких контактов между атомами кислорода трифлат-ионов и атомами азота и углерода гетероциклического катиона со средним расстоянием O···N и O···C в 2.94 Å, а также атомами водорода метильной группы и ароматического цикла (расстояние O···H 2.38 Å) (рис. 2, b). Указанные межмолекулярные взаимодействия связывают ионы в супрамолекулярные слои, расположенные параллельно кристаллографической плоскости bc. Слои связаны посредством контактов F···F между трифлат-ионами (рис. 2, b). Межъядерное расстояние F···F составляет 2.726 Å, что на 0.214 Å меньше суммы ван-дер-ваальсовых радиусов атомов фтора и является самым коротким по имеющимся данным о контактах этого типа между трифлат-ионами [26, 27]. Следует также отметить, что полученная кристаллическая структура является первым примером структурно охарактеризованного соединения с [1, 2, 3, 5]оксотриазол[5,4-а]пиридиновым гетероциклом.
Ранее [1, 2, 3, 5]оксотриазол[5,4-а]пиридиния-2 тетрафторборат был получен с выходом 78% при диазотировании 2-аминопиридин-1-оксида 6 в присутствии HBF4 [18], но его строение определено лишь косвенными методами.
На примере 2-аминопиридин-1-оксида 6 показано, что диазотирование в присутствии других сульфокислот (TsOH, CamphSO3H) также приводит к образованию солей диазония оксотриазолпиридиниевой структуры 6b, c соответственно (табл. 3).
Таким образом, образование циклических соединений оксотриазолпиридиниевой структуры является общей характеристикой процессов диазотирования 2-аминопиридин-1-оксидов. Эти соединения можно отнести к классу внутримолекулярных “диазотатов” ArN=NOR, которые получаются из ароматических диазониевых солей и гидроксилсодержащих соединений обычно при повышенных значениях рН [28]. Можно предположить, что в образующемся изначально диазоний-катионе 1a' диазониевая группа вступает в ту же реакцию с нуклеофильным кислородом группы N→O (схема 6). Для понимания причин протекания описываемых трансформаций мы определили разницу свободных энергий катиона [1, 2, 3, 5]оксотриазол[5,4-а]пиридиния-2 1a и катиона 1a' методом B3LYP/aug-cc-pVDZ (схема 6).
Схема 6
Из результатов расчетов следует, что катион 1a является термодинамически более стабильной формой существования диазоний-катиона 1a'. При этом с возрастанием полярности среды разница в свободной энергии изоэлектронных форм 1a' и 1a снижается в силу большей полярности диазоний-катиона 1a'.
Спектры MS2 соединений 6a–c (рис. 3) свидетельствуют о том, что их фрагментация протекает иначе, чем для истинных диазониевых солей 4a, b. В данном случае происходит отщепление не N2, но N2O, т.е. одновременная потеря атомов азота диазониевой группы и атома кислорода N→О-группы. При этом нет линий, соответствующих потере отдельно кислорода, либо молекулярного азота, что свидетельствует о наличии сильного внутримолекулярного взаимодействия N–O–N=N– и дополнительно подтверждает пиридиноксотриазольную структуру этих соединений.
Рис. 3. MS2 спектр пиридиний-катиона 1a (122.04 m/z) для солей: а) C5H4NO-2-N2+ TfO- (6a), б) C5H4NO-2-N2+ TsO– (6b), в) C5H4NO-2-N2+ CamphSO3– (6c)
С учетом незначительной разницы свободных энергий диазоний-катиона 1a и катиона 1a' (схема 6) представляется вероятным, что заместители в кольце 2-аминопиридин-1-оксида 6 могут повлиять на соотношение 2 форм продуктов диазотирования.
Как было отмечено выше, 6-метилпроизводное (7) селективно образует только соответствующую циклическую форму 7a. Было показано, что продукты диазотирования 2-амино-5-хлорпиридин-1-оксида (8) и 2-амино-5-бромпиридин-1-оксида (9) представляют собой смеси циклических (8a, 9a) и линейных (8b, 9b) изомеров (табл. 3).
По данным спектров ЯМР 1Н, соотношение циклических и линейных форм составляет 2 : 1. Наличие в этих продуктах истинных диазониевых солей подтверждается и поглощением ν N≡N в спектрах ИК при 2275 см–1 (8b) и 2272 см–1 (9b). Расчеты методом B3LYP/aug-cc-pVDZ обеих форм 8a и 8b показали, что ∆G между ними составляет – 1.44 ккал/моль, что заметно меньше, чем для форм 1a и 1a' (схема 4), а в полярной H2O их свободные энергии практически одинаковы. В целом проведенные расчеты согласуются с экспериментами и объясняют особенности диазотирования 2-аминопиридин-1-оксидов.
Все полученные соли 6a–c, 7a, 8a, b, 9a, b хорошо растворимы, как в воде, так и в органических полярных и умеренно полярных растворителях (AcOH, ДМСО, ДМФА, MeCN, EtOH, CH2Cl2, CHCl3, ТГФ).
На примере 1-оксидопиридин-2-диазония трифлата 6a показана его высокая активность по отношению к KI, NaN3 и Et2NH с образованием продуктов 6d–f с сохранением N-оксидной группы пиридинового скелета (схема 7).
Схема 7
Тозилат 6b и камфорасульфонат 6c в указанных реакциях обеспечивают практически те же результаты, т.е. влияния аниона на реакционную способность в заметной степени не наблюдается.
Показанные на схеме 7 реакции с нуклеофилами типичны для ароматических диазониевых солей. Учитывая близость свободных энергий пиридиний-катиона 1a и диазоний-катиона 1a' (схема 4), нельзя исключать, что данные реакции протекают с участием диазоний-катиона 1a', находящегося в равновесии с циклической оксотриазольной формой 1a. С практической точки зрения это не играет значительной роли и демонстрирует возможности использования 2-аминопиридин-1-оксидов в синтезе в реакциях диазотирования.
ЭКСПЕРИМЕНТАЛЬНАЯ ЧАСТЬ
Все исходные аминопиридины компании Sigma-Aldrich использовали без дополнительной очистки. N-Оксиды аминогетероциклов 4–9 были получены по методике из литературы [29]. Контроль за ходом и окончанием реакций производили с помощью ГХ–МС и ТСХ на пластинах Sorbfil ПТСХ-АФ-А-УФ. Обнаружение пятен проводили с помощью УФ-лампы с длиной волны 254 нм. Хроматомасс-спектры регистрировали на газовом хроматографе Agilent Technologies 7890A GC System (США) с масс-селективным детектором Agilent 5975C (70 эВ), газ-носитель – гелий, колонка HP-5MS UI (30 м × 0.25 мм), 1–3 мин: 70°C, 3–17 мин: 70–280°C (15°C/мин), 17–22 мин: 280°C. Спектры ЯМР 1Н и 13С снимали на приборе Bruker AVANCE III HD (Германия) (рабочая частота 1Н – 400 МГц, 13С – 100 МГц). Температуры плавления полученных соединений установлены с помощью прибора METTLER TOLEDO MP 50 (Швейцария). Элементный анализ выполняли на элементном анализаторе фирмы EuroEA (Италия), модель ЕА3000, программа обработки результатов – Calidus 2E3 и масс-спектрометре высокого разрешения с ионизацией электроспреем. ИК спектры регистрировали на ИК Фурье-спектрометре Agilent Cary 630 (США) в твердых образцах и растворах (область 800–4000 см–1). Масс-спектры LC-HRMS (ESI, APCI) регистрировали на хроматографе Agilent Infnity с масс-детектором AccurateMass QTOF 6530 (США). Данные рентгеновской дифракции для монокристаллов соединения 7а записаны при 150 K на дифрактометре Bruker D8 Venture (Германия) с детектором CMOS PHOTON III и микрофокусным источником Mo-IμS 3.0, MoKα-излучение, λ = 0.71073 Å. Обработку данных проводили с помощью пакета APEX 3. Кристаллические структуры расшифрованы с использованием пакета SHELXT [30] и уточнены полноматричным методом наименьших квадратов в анизотропном (за исключением атомов водорода) приближении с использованием пакета SHELXL [31].
1-Оксидопиридиндиазония сульфонаты 4а, б, 6а–в, 7а, 8а, б, 9а, б. Общая методика. К раствору аминопиридин-1-оксидов 6–9 (2 ммоль) в 5 мл ледяной уксусной кислоты добавляли соответствующую сульфокислоту (3 ммоль), охлаждали до 5°С и прикапывали при интенсивном перемешивании трет-бутилнитрит 0.36 мл (3 ммоль). Реакционную массу выдерживали при 5°С в течение 40 мин. Контроль за ходом реакции осуществляли методом ТСХ (элюент CH2Cl2–EtOH, 9 : 1) и качественной реакцией на 2-нафтол. Далее к реакционной массе добавляли диэтиловый эфир (100 мл) и оставляли в течение 1 суток при –20°С. Выпавший осадок соли диазония отфильтровывали, промывали на фильтре холодным Et2O (4 × 15 мл), сушили под вакуумом. При необходимости дополнительную очистку продукта реакции проводили переосаждением из уксуснокислого раствора диэтиловым эфиром.
1-Оксидопиридин-4-диазония трифлат (4a). Выход 0.33 г (61%). Белые кристаллы. Тразл. = 124–126°С. ИК спектр, ν, см–1: 3120–3032 ср (CН), 2264 с (N≡N), 1300 с (N-O). Спектр ЯМР 1H (400 МГц, ДМСО-d6), δ, м.д.: 8.65-8.70 м (4Наром). Спектр ЯМР 13С (100 МГц, ДМСО-d6), δ, м.д.: 107.8, 115.9–125.5 к (J 320 Гц), 129.5, 142.3. Масс-спектр высокого разрешения с ионизацией электроспреем: катион – m/z [M]+ рассчитано для C5H4N3O+: 122.0349, найдено 122.0360; аддукт – m/z [M]+ рассчитано для (C5H4N3O)2+(CF3O3S) –: 393.0223; найдено 393.0208.
1-Оксидопиридин-4-диазония п-толуолсульфонат (4b). Выход 0.52 г (88%). Белые кристаллы. Тпл = 128–129°С. ИК спектр, ν, см–1: 3081–3023 ср (CН), 2292 с (N≡N), 1313 с (N–O). Спектр ЯМР 1H (400 МГц, ДМСО-d6), δ, м.д.: 2.28 с (3Н, CH), 7.11 д (2Наром, J 8 Гц),7.48 д (2Наром, J 8 Гц), 8.69 с (4Наром). Спектр ЯМР 13С (100 МГц, ДМСО-d6), δ, м.д.: 20.9, 108.0, 125.5, 128.2, 129.5, 137.9, 142.2, 145.4 Масс-спектр высокого разрешения с ионизацией электроспреем: m/z [M]+ рассчитано для C5H4N3O: 122.0349, найдено 122.0360; аддукт – m/z [M]+ рассчитано для (C5H4N3O)2+(C7H7O3S) –: 415.0819; найдено 415.0816.
1-Оксидопиридин-2-диазония трифлат (6a). Выход 0.423 г (78%). Белые кристаллы. Тпл = 86–88°С. ИК спектр, ν, см–1: 3081–3043 ср (CН). Спектр ЯМР 1H (400 МГц, ДМСО-d6), δ, м.д.: 8.65–8.69 м (1Наром), 8.83-8.87 м (1Наром), 9.37 д (1Наром, J 8.6 Гц), 10.22 д (1Наром, J 6.6 Гц). Спектр ЯМР 13С (100 МГц, ДМСО-d6), δ, м.д.:115.9–125.5 к (J 320 Гц), 131.1, 132, 142.1, 142.8. Масс-спектр высокого разрешения с ионизацией электроспреем: m/z [M]+ рассчитано для C5H4N3O+: 122.0349; найдено 122,0364; аддукт – m/z [M]+ рассчитано для (C5H4N3O)2+(CF3O3S) –: 393.0223; найдено 393.0236.
1-Оксидопиридин-2-диазония п-толуолсульфонат (6b). Выход 0.55 г (94%). Светло-коричневые кристаллы. Тпл = 117–119°С. ИК спектр, ν, см–1: 3318– 3120 ср (CН). Спектр ЯМР 1H (400 МГц, D2O), δ, м.д.: 2.25 c (3H, CH), 7.21 c (2H), 7.50 c (2H, CHаром), 8.46 c (1Hаром), 8.76 c (1H), 9.82 c (1Наром), 9.00 c (1Hаром). Спектр ЯМР 13С (100 МГц, ДМСО-d6), δ, м.д.: 20.8, 124.8, 125.5, 128.2, 131.1, 137.9, 141.9, 142.6, 145.4. Масс-спектр высокого разрешения с ионизацией электроспреем: m/z [M]+ рассчитано для C5H4N3O: 122.0349, найдено 122.0365; аддукт – m/z [M]+ рассчитано для (C5H4N3O)2+(C7H7O3S) –: 415.0819; найдено 415.0829.
1-Оксидопиридин-2-диазония камфорасульфонат (6c). Выход 0.67 г (96%). Белые кристаллы. Тпл = 118–120°С. ИК спектр, ν, см–1: 3084–3025 ср (CН). Спектр ЯМР 1H (400 МГц, ДМСО-d6), δ, м.д.: 0.73 с (3Н, CH), 1.03 с (3Н, CH), 1.27 д (2Н, J 8.7 Гц), 1.77–1.94 м (3Н), 2.21–2.26 м (1Н), 2.38 д (1Н, J 14.7 Гц), 2.61–2.66 м (1Н), 2.86 д (1Н, J 14.7 Гц), 6.84–6.87 м (1Hаром), 7.15 д (1H, J 8.7 Гц), 7.78–7.82 м (1Hаром), 8.24–8.29 м (1Hаром), 8.66–8.70 м (1Наром(триазол)), 8.84–8.88 м (1Наром(триазол)), 9.39 д (1Наром(триазол), J 8 Гц), 10.24 д (1Наром(триазол), J 6.6 Гц). Спектр ЯМР 13С (100 МГц, ДМСО-d6), δ, м.д.: 19.6, 20.1, 24.2, 26.4, 42.1, 46.8, 47.2, 58.2, 124.8, 131.2, 132.1, 142, 142.7, 216.2. Масс-спектр высокого разрешения с ионизацией электроспреем: m/z [M]+ рассчитано для C5H4N3O: 122.0349, найдено 122,0370; аддукт – m/z [M]+ рассчитано для (C5H4N3O)2+(C10H15O4S) –: 475.1394, найдено 475.1389.
6-Метил-1-оксидопиридин-2-диазония трифлат (7a). Выход 0.456 г (80%). Белые кристаллы. Тпл = 96–98°С. ИК спектр, ν, см–1: 3079–3000 ш (CН). Спектр ЯМР 1H (400 МГц, ДМСО-d6), δ, м.д.: 3.03 с (3Н, CH), 8.61 д (1Н, J 7.6 Гц), 8.83–8.87 м (1Н), 9.27 д (1Н, J 8.3 Гц). Спектр ЯМР 13С (100 МГц, ДМСО-d6), δ, м.д.: 16.7, 115.8–125.4 к (J 320 Гц), 121.8, 130.7, 143.1, 143.4, 143.5. Масс-спектр высокого разрешения с ионизацией электроспреем: m/z [M]+ рассчитано для C6H6N3O: 136.0505, найдено 136.0505; аддукт – m/z [M]+ рассчитано для (C6H6N3O)2+(CF3O3S) –: 421.0536, найдено 421.0511. Кристаллографические данные соединения 7a: (C6H6N3O)(CF3SO3), M 258.21 г/моль, моноклинная сингония, пространственная группа Р21/с, a = 11.378(3) Å, b = 6.9013(17) Å, c = 18.769(2) Å, β = 97.956(8)°, V = 1128.3(5) Å3, Z = 4, T = 150(2) K, μ = 0.34 мм–1, dвыч = 1.679 г/см3, 14858 измеренных отражений, 1989 независимых отражений (Rint = 0.075), добротность по F2 1.107, R-факторы с I > 2σ(I): R1 0.0886, wR2 0.167; R-факторы по всем данным: R1 0.0648, wR2 0.182. Полные таблицы межатомных расстояний и валентных углов, координаты атомов и параметры атомных смещений депонированы в Кембриджский банк структурных данных под номером CCDC 2324250 и могут быть запрошены по адресу www.ccdc.cam.ac.uk/data_request/cif, а также могут быть получены у авторов.
5-Хлор-1-оксидопиридин-2-диазония трифлат (смесь соединений 8a, 8b). Выход 0.33 г (54%). Желтые кристаллы. Тпл = 91–92°С. ИК спектр, ν, см–1: 3102– 3060 ср (CН), 2275 с (N≡N), 1393 с (N–O). Спектр ЯМР 1H (400 МГц, ДМСО-d6), δ, м.д.: 7.67–7.69 м (2Н, CHаром), 7.79–7.81 м (1Н, CHаром), 8.06 д (2Н, CHаром(триазол), J 8.8 Гц), 8.21 д (2Н, CHаром(триазол), J 8.8 Гц), 8.74 c (1Н, CHаром), 9.19 c (2Н, CHаром). Спектр ЯМР 13С (100 МГц, ДМСО-d6), δ, м.д.: 116.0–125.6 к (J 320 Гц), 123.4 (CHаром), 127.5 (CHаром), 128.7 (CHаром(триазол)), 129.9 (CHаром(триазол)), 134.0 (ССlаром), 137.9 (CNаром(триазол)), 138.7 (CHаром), 140.1 (ССlаром(триазол)), 140.7 (CHаром(триазол)), 153.8 (CN2 аром). Масс-спектр высокого разрешения с ионизацией электроспреем: m/z [M]+ рассчитано для C5H3ClN3O: 155.9959, найдено 155.9975; аддукт – m/z [M]+ рассчитано для (C5H3ClN3O)2+(CF3O3S) –: 460.9444, найдено 460.9450.
5-Бром-1-оксидопиридин-2-диазония трифлат (смесь соединений 9a, 9b). Выход 0.49 г (70%). Желтые кристаллы. Тпл = 115–117°С. ИК спектр, ν, см–1: 3100–3068 ср (CН), 2272 с (N≡N), 1391 с (N–O). Спектр ЯМР 1H (400 МГц, ДМСО-d6), δ, м.д.: 7.62 д (1H, CHаром, J 8.4 Гц), 7.92 д (1H, CHаром, J 8.4 Гц), 8.12 д (1H, CHаром(триазол), J 8.8 Гц), 8.18 д (1H, CHаром(триазол), J 8.8 Гц), 8.81 c (1H, CHаром), 9.27 c (1H, CHаром(триазол)). Спектр ЯМР 13С (100 МГц, ДМСО-d6), δ, м.д.: 116.0–125.6 к (J 320 Гц), 123.4 (CHаром), 121.8 (CBrаром), 123.5 (CHаром(триазол)), 128.6 (CBrаром(триазол)), 129.7 (СHаром(триазол), 130.1 (CHаром), 131.3 (CHаром(триазол)), 138.2 (СNаром(триазол)), 140.5 (CHаром), 142.5 (СHаром(триазол), 154.1 (CN2аром). Масс-спектр высокого разрешения с ионизацией электроспреем: m/z [M]+ рассчитано для C5H3BrN3O: 199.9454, найдено 199.9456; аддукт – m/z [M]+ рассчитано для (C5H3BrN3O)2+(CF3O3S) –: 548.8434, найдено 548.8445.
Йодпиридин-1-оксиды 4c, 6d. Общая методика. К раствору KI 0.216 г (1.3 ммоль) в 5 мл воды, охлажденному до 10–15°С, порциями при перемешивании добавляли 1-оксидопиридиндиазония сульфонат 4a или 6a 0.271 г (1 ммоль). Продолжали перемешивать в течение 20–30 мин. Окончание реакции фиксировали по отрицательной пробе на 2-нафтол. pH раствора доводили до значения 8.0–9.0 10%-ным раствором K2CO3. Выделяющийся йод восстанавливали 20%-ным раствором Na2SO3. Экстрагировали дихлорметаном 4 × 25 мл. Объединенный органический слой сушили над безводным Na2SO4. Растворитель вакуумировали. Продукт очищали флеш-хроматографией (элюент CH2Cl2–MeOH, 9 : 1).
4-Йодпиридин-1-оксид (4c) C5H4INO. Выход 0.144 г (65%). Белые кристаллы. Тпл= 169–170°C (170–171°С [21]).
2-Йодпиридин-1-оксид (6d) C5H4INO. Выход 0.186 г (84%). Светло-коричневые кристаллы. Тпл = = 121–122°C (119–12°С [21]).
Азидопиридин-1-оксиды 4d, 6e. Общая методика. К раствору NaN3 0.085 г (1.3 ммоль) в 5 мл воды, охлажденному до 10–15°С, порциями при перемешивании добавляли 1-оксидопиридиндиазония сульфонат 4a или 6a 0.271 г (1 ммоль). Продолжали перемешивать при охлаждении в течение 20 мин. Окончание реакции фиксировали по отрицательной пробе на 2-нафтол. pH раствора доводили до значения 8.0–9.0 10%-ным раствором K2CO3. Экстрагировали дихлорметаном 4 × 25 мл. Объединенный органический слой сушили над безводным Na2SO4. Растворитель вакуумировали. Продукт очищали колоночной хроматографией (элюент гексан–этилацетат, 8 : 1).
4-Азидопиридин-1-оксид (4d) C5H4N4O. Выход 0.054 г (40%). Белые кристаллы. Тпл = 138–139°C (140°С [32]).
2-Азидопиридин-1-оксид (6e) C5H4N4O. Выход 0.98 г (72%). Белые кристаллы. Тпл = 86–88°С (83.5–84.5°С [33]). Спектр ЯМР 1H (400 МГц, CDCl3), δ, м.д.: 6.96 д.д (1H, CHаром, J1 8 Гц, J2 2 Гц), 7.06–7.1 м (1Н, СНаром,), 7.24–7.28 м (1Н, СНаром), 8.17 д.д (1Н, СНаром, J1 6.4 Гц, J2 1.6 Гц). Спектр ЯМР 13С (100 МГц, CDCl3), δ, м.д.: 117.0, 120.7, 127.3, 139.2, 144.2.
4-Стирилпиридин-1-оксид (4f) C13H11NO. К раствору 1-оксидопиридин-4-диазония п-толуолсульфоната (4b) 0.293 г (1 ммоль) в 5 мл EtOH добавляли стирол 0.173 мл (1.5 ммоль) и Pd(OAc)2 0.011 г (5 мол. %). Реакционную массу перемешивали при 70°С. Окончание реакции фиксировали по отрицательной пробе на 2-нафтол. Растворитель вакуумировали. Продукт очищали колоночной хроматографией (элюент CH2Cl2–EtOH, 9 : 1). Выход 0.16 г (81%). Белые кристаллы. Тпл = 165–166°С. (167–169 [34]). Спектр ЯМР 1H (400 МГц, ДМСО-d6), δ, м.д.: 7.24 д (1H, J 16.5 Гц), 7.28–7.36 м (1H), 7.37–7.43 м (3H), 7.61 д (4H, J 7.1 Гц), 8.19 д (1H, J 6.7 Гц). Спектр ЯМР 13С (100 МГц, ДМСО-d6), δ, м.д.: 123.5, 124.6, 126.9, 128.4, 128.9, 131.5, 134.1, 136.4, 138.7.
Пиридилтриазены 4e, 6f. Общая методика. К раствору соли диазония 4a или 6a 0.54 г (2 ммоль) в 10 мл воды, охлажденному до 5°С, по каплям добавляли раствор диэтиламина 0.41 мл (4 ммоль) в 10 мл воды. Далее перемешивали реакционную массу при комнатной температуре в течение 1–2 ч. Окончание реакции фиксировали по отрицательной пробе на 2-нафтол, а также методом ТСХ (элюент CH2Cl2–EtOH, 9 : 1). Экстрагировали дихлорметаном (3 × 15 мл), объединенный органический слой сушили над безводным Na2SO4. Растворитель вакуумировали. Продукт очищали флеш-хроматографией (элюент CH2Cl2–EtOH, 9 : 1).
4-(3,3-Диэтилтриаз-1-ен-1-ил)пиридин-1-оксид (4e). Выход 0.29 г (74%), желтые кристаллы, Тпл 107–108°С. ИК спектр, ν, см–1: 3097–2871 ш (CH), 1465 (δs CH2), 1377 (δs CH3). Спектр ЯМР 1H (400 МГц, CDCl3), δ, м.д.: 1.2–1.23 м (3H, CH3), 1.32–1.36 м (3H, CH3), 3.77–3.83 м (4H, CH2), 7.28–7.3 м (2H, CHаром), 8.48 д (2H, CHаром, J 6 Гц). Спектр ЯМР 13С (100 МГц, CDCl3), δ, м.д.: 11.1, 14.4, 41.7, 49.5,79.9, 77.5, 115.3, 150.4, 157.4. Масс-спектр (ЭУ), m/z (Iотн, %): 194 (74, M+), 165 (4), 122 (42), 94 (100), 78 (25), 51 (10). Найдено, %: C 55.2; H 7.0; N 28.56. C9H14N4O. Вычислено, %: C 55.65; H 7.27; N 28.85.
2-(3,3-Диэтилтриаз-1-ен-1-ил)пиридин-1-оксид (6f). Выход 0.237 г (61%), масло. ИК спектр, ν, см–1: 3109–2870 ш (CH), 1466 (δs CH2), 1377 (δs CH3). Спектр ЯМР 1H (400 МГц, CDCl3), δ, м.д.: 1.25 т (3H, СH3, J 7.2 Гц), 1.34 т (3H, СH3, J 7.2 Гц), 3.82–3.87 к (2H, СH2, J 7.2 Гц), 3.92–3.97 к (2H, СH2, J 7.2 Гц), 7.00 т (1H, CHаром, J 6.5 Гц), 7.29 т (1H, CHаром, J 6.5 Гц), 7.44 д (2H, CHаром, J 6.5 Гц), 8.24 д (1H, CHаром, J 6.5 Гц). Спектр ЯМР 13С (100 МГц, CDCl3), δ, м.д.: 10.9, 14.2, 43.0, 50.1, 115.0, 120.6, 129.0, 140.0, 156.3. Масс-спектр (ЭУ), m/z (Iотн, %): 194 (50, M+), 177 (8), 122 (12), 95 (10), 78 (100), 51 (7). Найдено, %: C 55.22; H 7.08; N 28.6. C9H14N4O. Вычислено, %: C 55.65; H 7.27; N 28.85.
ЗАКЛЮЧЕНИЕ
Впервые показано, что 2-, 3- и 4-аминопиридин-1-оксиды 4–9 легко подвергаются диазотированию в присутствии сульфокислот. При этом 4-аминопроизводное 4, в отличие от 3-изомера 5, дает устойчивые диазониевые соли, а 2-аминопроизводное 6 образует оксотриазолпиридиния-2 сульфонаты 6a–c как стабильные изоэлектронные формы 2-диазоний-1-оксипиридина. Ни в одном случае не зафиксировано образование ковалентных 1-оксипиридилсульфонатов O-NPyOSO2R, что является характерным для диазотирования аминопиридинов. Полученные продукты диазотирования легко взаимодействуют с рядом нуклеофилов, открывая новые возможности использования 2- и 4-аминопиридин-1-оксидов в органическом синтезе. Квантово-химическими расчетами B3LYP/aug-cc-pVDZ определена относительная устойчивость диазоний-катионов ряда пиридина, пиридин-1-оксида и бензолдиазоний-катиона. Повышенная стабильность 4-диазоний-1-оксипиридина 1c в этом ряду подтверждена препаративными результатами и данными масс-спектрометрии ESI/MS и MS2.
ФОНДОВАЯ ПОДДЕРЖКА
Авторы выражают благодарность ЦКП ИНХ СО РАН за получение рентгенодифракционных данных. Работа выполнена в рамках государственного задания Министерства науки и высшего образования Российской Федерации (Наука № FSWW-2023-0008).
КОНФЛИКТ ИНТЕРЕСОВ
Авторы заявляют об отсутствии конфликта интересов.
About the authors
E. A. Krasnokutskaya
National Research Tomsk Polytechnic University
Author for correspondence.
Email: eak@tpu.ru
ORCID iD: 0000-0002-6292-7974
Russian Federation, 30, Lenin Ave., Tomsk, 634050
A. N. Sanzhiev
National Research Tomsk Polytechnic University
Email: eak@tpu.ru
ORCID iD: 0000-0002-9464-0281
Russian Federation, 30, Lenin Ave., Tomsk, 634050
K. D. Erin
National Research Tomsk Polytechnic University
Email: eak@tpu.ru
ORCID iD: 0009-0002-9137-4747
Russian Federation, 30, Lenin Ave., Tomsk, 634050
A. A. Bondarev
Altai State University
Email: eak@tpu.ru
ORCID iD: 0000-0002-8707-2394
Russian Federation, 61, Lenin Ave., Barnaul, 656049
A. S. Potapov
Nikolaev Institute of Inorganic Chemistry of the Siberian Branch of Russian Academy of Sciences
Email: eak@tpu.ru
ORCID iD: 0000-0003-2360-7473
Russian Federation, 3, Acad. Lavrentiev Ave., Novosibirsk, 630090
V. D. Filimonov
National Research Tomsk Polytechnic University
Email: eak@tpu.ru
ORCID iD: 0000-0003-4729-8871
Russian Federation, 30, Lenin Ave., Tomsk, 634050
References
- Mo F., Dong G., Zhang Y., Wang J. Org. Biomol. Chem. 2013, 11, 1582–1593. doi: 10.1039/C3OB27366K
- Мокрушин В.С., Садчикова Е.В. Химия гетероциклических диазосоединений. СПб.: Проспект Науки, 2013, 183–190.
- Li D., Luo Y., Onidas D., He L., Jin M., Gazeau F., Pinson J., Mangeney C. Adv. Colloid Interface Sci. 2021, 294, 102479. doi: 10.1016/j.cis.2021.102479
- Filimonov V.D., Krasnokutskaya E.A., Bondarev A.A. Aryl Diazonium Salts and Related Compounds Surface Chemistry and Applications. Eds. Chehimi M., Pinson J., Mousli F. Cham: Springer, 2022, 35–57. doi: 10.1007/978-3-031-04398-7_2
- Firth J.D., Fairlamb I.J.S. Org. Lett. 2020, 22, 7057–7059. doi: 10.1021/acs.orglett.0c02685
- Naidek K.P., Hoffmeister D.M., Pazinato J., Westphal E., Gallardo H., Nakamura M., Araki K., Toma H.E., Winnischofer H. Eur. J. Inorg. Chem. 2014, 7, 1150–1157. doi: 10.1002/ejic.201301442
- Coudret C. Synth. Commun. 1996, 26, 3543–3547. doi: 10.1080/00397919608003763
- Джоуль Д. Химия гетероциклических соединений, ред. Д. Джоуль, К. Милс, М: Мир, 2009, 129–131. [Joule J., Mills K., Heterocyclic Chemistry, Chichester: Wiley-Blackwell, 2009]
- Breton G.W. Comput. Theor. Chem. 2018, 1133, 51–57. doi: 10.1016/j.comptc.2018.04.013
- Krasnokutskaya E.A., Semenischeva N.I., Filimonov V.D., Knochel P. Synthesis. 2007, 1, 81–84. doi: 10.1055/s-2006-958936
- Tretyakov A.N., Krasnokutskaya E.A., Gorlushko D.A., Ogorodnikov V.D., Filimonov V.D. Tetrahedron Lett. 2011, 52, 85–87. doi: 10.1016/j.tetlet.2010.10.163
- Krasnokutskaya E.A., Kassanova A.Z., Estaeva M.T., Filimonov V.D. Tetrahedron Lett. 2014, 55, 3771–3773. doi: 10.1016/j.tetlet.2014.05.052
- Kassanova A.Z., Krasnokutskaya E.A., Beisembai P.S., Filimonov V.D. Synthesis. 2016, 48, 256–262. doi: 10.1055/s-0035-1560392
- Санжиев А.Н., Краснокутская Е.А., Ерин К.Д., Филимонов В.Д. ЖОрХ. 2021, 57, 842–851. [Sanzhiev A.N., Krasnokutskaya E.A., Erin K.D., Filimonov V.D. Russ. J. Org. Chem. 2021, 57, 922–929.] doi: 10.31857/S0514749221060069
- Чудинов А.А., Краснокутская Е.А. Довбня Р.С., Огородников В.Д., Филимонова И.Л. Изв. РАН. Сер. хим. 2016, 65, 2312–2314. [Chudinov A.A., Dovbnya R.S., Krasnokutskaya E.A., Ogorodnikov V.D., Filimonova I.L. Russ. Chem. Bull. 2016, 65, 2312–2314.] doi: 10.1007/s11172-016-1583-9
- Санжиев А.Н., Потапова М.И., Краснокутская Е.А., Филимонов В.Д. ЖОрХ. 2020, 56, 920–926. [San-zhiev A.N., Potapova M.I., Krasnokutskaya E.A., Filimonov V.D. Russ. J. Org. Chem. 2020, 56, 1023–1028.] doi: 10.31857/S0514749220060099
- Filimonov V.D., Sanzhiev A.N., Gulyaev R.O., Krasnokutskaya E.A., Bondarev A.A. Chem. Heterocycl. Compd. 2022, 58, 721–726. doi: 10.1007/s10593-023-03148-4
- Becker H.G.O., Böttcher H., Haufe H. J. für Prakt. Chemie. 1970, 312, 433–439. doi: 10.1002/prac.19703120306
- Быстров Д.М., Ферштат Л.Л. Изв. РАН. Сер. хим. 2024, 73, 33–52. [Bystrov D.M., Fershtat L.L. Russ. Chem. Bull. 2024, 73, 33–52.] doi: 10.1007/s11172-024-4120-2
- Kondo S., Funakoshi K., Saeki S., Hamana M. Chem. Pharm. Bull. 1986, 34, 7–14. doi: 10.1248/cpb.34.7
- Krasnokutskaya E.A., Chudinov A.A., Filimonov V.D. Synth. 2018, 50, 1368–1372. doi: 10.1055/s-0036-1591738
- Minaev B.F., Bondarchuk S.V., Gîrţu M.A. J. Mol. Struc.-Theochem. 2009, 904, 14–20. doi: 10.1016/j.theochem.2009.02.022
- Filimonov V.D., Trusova M.Е., Postnikov P.М., Krasnokutskaya E.A., Lee Y.M., Hwang H.Y., Kim H., Chi K.W. Org. Lett. 2008, 10, 3961–3964. doi: 10.1021/ol8013528
- Filimonov V.D., Krasnokutskaya E.A., Kassanova A.Z., Fedorova V.A., Stankevich K.S., Naumov N.G., Bondarev A.A., Kataeva V.A. Eur. J. Org. Chem. 2019, 2019, 665–674. doi: 10.1002/ejoc.201800887
- Bondarev A.A., Naumov E.V, Kassanova A.Z., Krasnokutskaya E.A., Stankevich K.S., Filimonov V.D. Org. Process Res. Dev. 2019, 23, 2405–2415. doi: 10.1021/acs.oprd.9b00307
- Bekiarian P.G., Doyle M., Farnham W.B., Feiring A.E., Morken P.A., Roelofs M.G., Marshall W.J. J. Fluor. Chem. 2004, 125, 1187–1204. doi: 10.1016/j.jfluchem.2004.05.007
- Bardajı́ M., Crespo O., Laguna A., Fischer A. K. Inorg. Chim. Acta. 2000, 304, 7–16. doi: 10.1016/S0020-1693(00)00052-9
- Zollinger H. Diazo Chemistry I: Aromatic and Heteroaromatic Compounds, Ed. Zollinger H. Weinheim: Wiley VCH. 1994, 96–98.
- Deady L.W. Synth. Comm. 1977, 7, 509–514. doi: 10.1080/00397917709409270
- Sheldrick G.M. Acta Cryst. 2015, A71, 3–8. doi: 10.1107/S2053273314026370
- Sheldrick G.M. Acta Cryst. 2015, C71, 3–8. doi: 10.1107/S2053229614024218
- Abramovitch R.A., Cue B.W. J. Am. Chem. Soc. 1976, 98, 1478–1486. doi: 10.1021/ja00422a034
- Katritzky A. R., Monro A. R. J. Chem. Soc., 1958, 150–153. doi: 10.1039/JR9580000150
Supplementary files




























