Новые гликозиды акацетина и другие фенольные соединения из Agastache foeniculum и их влияние на моноаминоксидазы А и В
- Авторы: Оленников Д.Н.1, Кащенко Н.И.1
-
Учреждения:
- Институт общей и экспериментальной биологии СО РАН
- Выпуск: Том 60, № 6 (2024)
- Страницы: 645-656
- Раздел: Статьи
- URL: https://journal-vniispk.ru/0555-1099/article/view/285214
- DOI: https://doi.org/10.31857/S0555109924060084
- EDN: https://elibrary.ru/QFJSVU
- ID: 285214
Цитировать
Полный текст
Аннотация
Ингибиторы моноаминоксидаз (МАО) являются эффективными терапевтическими средствами для лечения нейродегенеративных заболеваний. К их числу относятся флавоноиды, обнаруженные в видах Agastache. В ходе настоящего исследования из A. foeniculum было выделено и идентифицировано с применением УФ, ЯМР спектроскопии и масс-спектрометрии шесть новых ацилированных флавон-О-гликозидов – агастозидов A (акацетин 7-О-(2''-О-малонил)-β-D-глюкопиранозид), B (акацетин 7-О-(4''-О-малонил)-β-D-глюкопиранозид), C (акацетин 7-О-(2'',6''-ди-О-малонил)-β-D-глюкопиранозид), D (акацетин 7-О-(4'',6''-ди-О-малонил)-β-D-глюкопиранозид), E (акацетин 7-О-(2''-О-малонил-6''-О-ацетил)-β-D-глюкопиранозид) и F (акацетин 7-О-(4''-О-ацетил-6''-О-малонил)-β-D-глюкопиранозид). Использование флэш-хроматографии и жидкостной хроматографии-масс-спектрометрии позволило обнаружить еще 34 известных фенольных соединения. Исследование биологической активности показало, что гликозиды акацетина из A. foeniculum оказывали ингибиторное действиеие на МАО, причем наибольший эффект был отмечен для ацетильных и малонильных эфиров акацетин 7-О-глюкозида, которые могут быть перспективными соединениями для создания новых лекарственных средств.
Ключевые слова
Полный текст
Нейродегенеративные заболевания представляют собой третью по распространенности группу патологий человека в мире [1]. Одной из частых причин возникновений данных нарушений нервной деятельности является повышенная активность митохондриальных моноаминоксидаз (МАО), участвующих в процессах окислительного дезаминирования биогенных аминов (серотонина, адреналина, допамина и других), что может приводить к депрессии, тревожным расстройствам, а также болезни Альцгеймера и Паркинсона [2]. Для коррекции данного типа нарушений применяются ингибиторы МАО, предотвращающие разрушение моноаминных нейротрансмиттеров и повышающие тем самым их доступность. В настоящее время для этой цели применяются различные синтетические ингибиторы МАО (коргилин, L-депренил, разагинил), которые, несмотря на свою эффективность, обладают побочными эффектами, включая гипертензию, расстройства пищеварения, бессонницу, сонливость, головокружение и головные боли [3]. В ходе поисковых исследований было выявлено, что природные флавоноиды обладают способностью ингибировать МАО изоформ А (МАО-А) и В (МАО-В), не обладая негативными эффектами синтетических лекарств [4]. Среди множества известных флавоноидов, наибольший интерес представляют флавоны, широко представленные в растениях семейства Lamiaceae, в частности производные акацетина, обнаруженные в Agastache rugosa (Fisch. & C.A. Mey.) Kuntze и охарактеризованные как эффективные ингибиторы МАО-А и МАО-В [5].
В России наиболее распространенным видом рода Agastache является Agastache foeniculum (Pursh) Kuntze (син. Lophanthus anisatus (Nutt.) Benth.), для которого известно около 10 сортов, зарегистрированных в Государственном реестре селекционных достижений, широко применяемых с лекарственной и пищевой целью [6]. Сведения о химическом составе A. foeniculum ограничены данными о присутствии некоторых флавоноидов в сырье из Румынии [7]. Ранее было показано, что данный вид содержит акацетин 7-О-глюкозид и некоторые другие флавоны [8], однако углубленных исследований
метаболитов не проводились. В этой связи представляло интерес изучить состав фенольных соединений A. foeniculum сорта Франт, который наиболее распространен в России в качестве высокопродуктивного медоносного растения [9].
Цель работы – изучить фенольные соединения надземной части A. foeniculum, культивируемого в России, выделить основные флавоноиды, определить их количественное содержание и изучить их влияние на МАО-А и МАО-В.
МЕТОДИКА
Общие экспериментальные условия. Цветки и листья A. foeniculum (сорт Франт; ООО “Селекционная фирма Гавриш”, Россия) были собраны в экспериментальном тепличном хозяйстве Института общей и экспериментальной биологии СО РАН (Республика Бурятия, Россия) и высушены при 40°С до влажности <5% в конвекционном сушильном шкафу ПРО ШСП-У 35/150-120 (ООО “Новые технологии”, Россия). Для колоночной хроматографии использовали полиамид, нормально- (SiO2) и обращено-фазовый силикагель (ОФ-SiO2) Сефадекс LH-20 (“Sigma-Aldrich”, США). Спектры поглощения в ультрафиолетовой области (УФ) регистрировали для растворов в метаноле на спектрофотометре СФ-2000 (“ОКБ Спектр”, Россия), масс-спектры – на TQ-масс-спектрометре LCMS-8050 (“Shimadzu”, Япония) [10], спектры ЯМР – на спектрометре VXR 500S (“Varian”, США). Препаративную высокоэффективную жидкостную хроматографию (ПВЭЖХ) осуществляли на жидкостном хроматографе LC-20 Prominence (“Shimadzu”, Япония), снабженном колонкой Shim-pak PREP-ODS (20 мм × 250 мм × 15 мкм, “Shimadzu”, Япония) и фотодиодным детектором SPD-M30A (“Shimadzu”, Япония), при скорости – 1.0 мл/мин и температуре колонки 20°С.
Экстракты из высушенных цветков и листьев A. foeniculum получали в аппарате Сокслета после исчерпывающей экстракции изопропанолом. Выход изопропанольных экстрактов, от массы воздушно-сухого сырья: цветки 35.2%, листья – 22.6%.
Выделение соединений из A. foeniculum. Изопропанольный экстракт из цветков A. foeniculum экстрагировали хлороформом в аппарате Сокслета. После этого остаток экстракта переносили на полиамид для колоночной хроматографии (10 кг), промывали водой, 70%-ным этанолом и 0.5%-ным раствором аммиака в 90%-ном этаноле и после удаления растворителей были получены фракции ТФЭ-1, фракция ТФЭ-2 и фракция ТФЭ-3, соответственно [11]. Для выделения индивидуальных соединений фракции ТФЭ-2 (500 г) и ТФЭ-3 (550 г) хроматографировали методом флэш-хроматографии на Сефадексе LH-20 (2 × 90 см, элюент – этанол–вода 90 : 10 → 50 : 50), ОФ-SiO2 (2 × 40 см, элюент вода–ацетонитрил 80 : 20 → 20 : 80) и SiO2 (3 × 40 см, элюент этилацетат–этанол 100 : 0 → 60 : 40). Соединения с близкими временами удерживания разделяли, используя ПВЭЖХ в градиентном режиме. Элюент I – вода, элюент II – ацетонитрил; программа элюирования: 0–15 мин 10–30% I в II, 15–80 мин 30–70% I в II, 80–120 мин 70–100% I в II.
Гидролиз. Кислотный гидролиз соединений I–VI в 2 М ТФУ и последующий анализ продуктов гидролиза проводили как описано ранее [12]. Дезацилирование соединений I–VI осуществляли в среде 0.3%-ного NaOH по известной методике [13].
Биологическая активность. Исследование влияния экстрактов листьев и цветков A. foeniculum и индивидуальных соединений на активность моноаминооксидаз (рекомбинантная моноаминооксидаза А и В человека, КФ 1.4.3.4, “Sigma-Aldrich” США) осуществляли с использованием флуориметрического метода [14]. Толоксатон и паргилин применялись в качестве веществ сравнения (“SigmaAldrich”, США). Ингибиторная активность выражалась величиной IC50 (концентрация, вызывающая 50% ингибирование активности фермента) в мкг/мл, которую определяли графически после построения зависимости ингибиторной активности от концентрации.
Высокоэффективная хроматография с диодно-матричным и масс-спектрометрическим детектированием с ионизацией электрораспылением (ВЭЖХ-ДМД-ИЭР-МС). Анализ осуществляли на жидкостном хроматографе LCMS-8050 (“Shimadzu”, Япония), соединенном с диодно-матричным детектором (ДМД) и 3Q-детектором с ионизацией электрораспылением (ИЭР/МС), используя колонку ReproSil-Pur 120 C18-AQ (250 мм × 4,6 мм × 5 мм; “Dr. Maisch GmbH”, Германия). Условия ВЭЖХ: подвижная фаза, элюент A – вода, элюент В – ацетонитрил. Программа градиента – 0–20 мин 2–80% B, 20–30 мин 80–100% B, 30–35 мин 100% B, 35–40 мин 100–2% B; инжектируемый объем – 1 мкл; скорость потока – 1 мл/мин, температура колонки – 30°C; диапазон сканирования спектров поглощения – 200–600 нм. Условия ИЭР/МС: режим ионизации – электрораспыление, положительная ионизация; температура интерфейса ИЭР – 300°C; температура линии десольватации – 250°C; температура нагревательного блока – 400°C; скорость газа-распылителя (N2) – 3 л/мин; скорость газа-нагревателя (воздух) – 10 л/мин; давление газа, используемого для диссоциации, индуцируемой соударением (CID газ, Ar) – 270 кПa; скорость Ar – 0.3 мл/мин; напряжение на капилляре – 3 кВ; диапазон сканирования масс (m/z) 100–1900. Для построения градуировочных графиков серию разведений веществ сравнения (1–100 мкг/мл) хроматографировали в описанных выше условиях трижды для каждой концентрации вещества. По полученным данным строили градуировочные графики в координатах “концентрация, мкг/мл – площадь пика” с применением пакета программ Advanced Grapher ver. 2.2 (“Alentum Software, Inc.”, США).
Статистический анализ проводили с использованием однофакторного дисперсионного анализа (ANOVA). Значимость различий средних определяли с помощью многорангового теста Дункана. Отличия при р < 0.05 считались статистически значимыми. Данные представлены в виде среднего из трех (количественный анализ) и пяти (биологическая активность) определений ± среднеквадратичное отклонение (S.D.).
РЕЗУЛЬТАТЫ И ИХ ОБСУЖДЕНИЕ
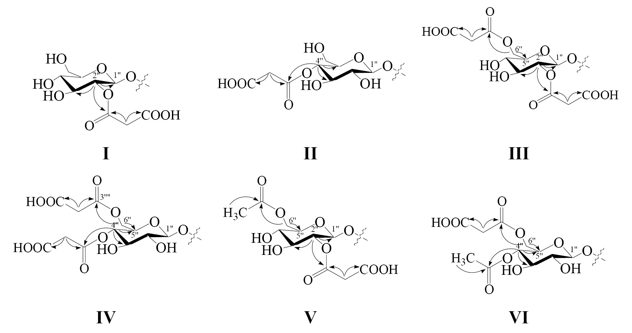
Для определения биологически активных компонентов цветков A. foenicilum изопропанольный экстракт (2.64 кг) предварительно обезжиривали хлороформом, после чего фракционировали на полиамиде, что позволило получить фракции, в которых сконцентрированы нефенольные гидрофильные компоненты (фракция ТФЭ-1, 810 г), неацилированные фенольные соединения (фракция ТФЭ-2, 550 г) и фенольные кислоты и ацилированные флавоноиды (фракция ТФЭ-3, 570 г). Фракции, содержание фенольные компоненты подвергали хроматографическому разделению на Сефадексе LH-20, обращено- и нормально-фазовом силикагеле, и очистке с применением ПВЭЖХ. В результате были выделены флавоноиды i–xiv – акацетин 7-О-глюкозид (25 г; i) и акацетин (7 г; ii), лютеолин 7-О-(6''-О-ацетил)-глюкозид (10 мг; iii), апигенин 7-О-(2''-О-ацетил)-глюкозид (25 мг; iv), диосметин 7-О-(6''-О-ацетил)-глюкозид (7.5 г; v), апигенин 7-О-(6''-О-ацетил)-глюкозид (18 г; vi), апигенин 7-О-(3''-О-ацетил)-глюкозид (30 мг; vii), апигенин 7-О-(4''-О-ацетил)-глюкозид (45 мг; viii), акацетин 7-О-(6''-О-малонил)-глюкозид (21 г; ix), акацетин 7-О-(2''-О-ацетил)-глюкозид (40 мг; x), акацетин 7-О-(6''-О-ацетил)-глюкозид (20 г; xi), акацетин 7-О-(2''-О-ацетил-6''-О-малонил)-глюкозид (125 г; xii), акацетин 7-О-(3''-О-ацетил-6''-О-малонил)-глюкозид (1 г; xiii) и лютеолин 7,4'-диметиловый эфир (520 мг; xiv) (рис. 1), а также 6 новых соединений – I (220 г), II (50 мг), III (3.5 г), IV (35 мг), V (5 г) и VI (14 г), идентифицированные по данным спектроскопии УФ, масс-спектрометрии (табл. 1) и ЯМР 1Н (табл. 2) и 13С (табл. 3) [15, 16].
Рис. 1. Строение известных флавоноидов i–xiv, выделенных из A. foenicilum: Ac – ацетил, Mal – малонил.
В масс-спектрах соединений I–VI были отмечены ионы, указывающие на присутствие одного (m/z 531 → 445; у I и II) или двух фрагментов малоновой кислоты (m/z 617 → 531, 445; у III и IV), уксусной и малоновой кислот (m/z 573 → 531, 487, 445; у V и VI), а также фрагмента гексозы (m/z 445 → 283; у I–VI) (табл. 1, рис. 2) [18]. Для определения природы агликона и углеводного остатка соединения I–VI подвергали гидролизу в среде 2 М ТФУ, после чего были идентифицированы акацетин (4'-метокси-апигенин) и D-глюкоза в соотношении 1 : 1. Форма УФ-спектров всех соединений указывала на замещение агликона по положению С-7, что характерно для производных акацетин 7-О-глюкозида (тилианина) (табл. 1) [17]. Это было подтверждено результатами щелочного дезацилирования соединений, приводившему к образованию тилианина. Данные спектроскопии ЯМР для всех изученных соединений были близки к таковым тилианина [19], но содержали сигналы, обусловленные влиянием фрагментов малоновой (δН 2.52–2.57; δС 42.0–42.4, 167.5–168.2, 168.7–170.5) и уксусной кислот (δН 2.09–2.11; δС 20.3–20.4, 169.4–169.6) [20] (табл. 2, 3).
Таблица 1. Молекулярная формула, данные УФ и масс-спектров соединений I–VI
№ соед. | Показатель | Значение |
I | Формула | C25H24O13 |
УФ-спектр, λmax, нм | 268, 332 | |
HR-ESI-MS, m/z | 531.431 [M–Н]– (расч. 531.446 для C25H23O13 [M–Н]–) | |
ESI-MS, m/z (%) | 531 (61) [M–Н]–, 445 (100) [(M–Н)–малонил]–, 283 (5) [(M–Н)–малонил–глюкоза]– | |
II | Формула | C25H24O13 |
УФ-спектр, λmax, нм | 267, 332 | |
HR-ESI-MS, m/z | 531.362 [M–Н]– (расч. 531.446 для C25H23O13 [M–Н]–) | |
ESI-MS, m/z (%) | 531 (60) [M–Н]–, 445 (100) [(M–Н)–малонил]–, 283 (2) [(M–Н)–малонил–глюкоза]– | |
III | Формула | C28H26O16 |
УФ-спектр, λmax, нм | 270, 330 | |
HR-ESI-MS, m/z | 617.301 [M–Н]– (расч. 617.492 для C28H25O16 [M–Н]–) | |
ESI-MS, m/z (%) | 617 (72) [M–Н]–, 531 (23) [(M–Н)–малонил]–, 445 (100) [(M–Н)–2×малонил]–, 283 (4) [(M–Н)–2×малонил–глюкоза]– | |
IV | Формула | C27H26O14 |
УФ-спектр, λmax, нм | 269, 333 | |
HR-ESI-MS, m/z | 573.196 [M–Н]– (расч. 573.483 для C27H25O14 [M–Н]–) | |
ESI-MS, m/z (%) | 573 (52) [M–Н]–, 531 (14) [(M–Н)–ацетил]–, 487 (9) [(M–Н)–малонил]–, 445 (100) [(M–Н)–ацетил–малонил]–, 283 (4) [(M–Н)–ацетил–малонил–глюкоза]– | |
V | Формула | C28H26O16 |
УФ-спектр, λmax, нм | 270, 331 | |
HR-ESI-MS, m/z | 617.254 [M–Н]– (расч. 617.492 для C28H25O16 [M–Н]–) | |
ESI-MS, m/z (%) | 617 (70) [M–Н]–, 531 (20) [(M–Н)–малонил]–, 445 (100) [(M–Н) –2×малонил]–, 283 (5) [(M–Н)–2×малонил–глюкоза]– | |
VI | Формула | C27H26O14 |
УФ-спектр, λmax, нм | 269, 332 | |
HR-ESI-MS, m/z | 573.207 [M–Н]– (расч. 573.483 для C27H25O14 [M–Н]–) | |
ESI-MS, m/z (%) | 573 (50) [M–Н]–, 531 (12) [(M–Н)–ацетил]–, 487 (5) [(M–Н)–малонил]–, 445 (100) [(M–Н)–ацетил–малонил]–, 283 (2) [(M–Н)–ацетил–малонил–глюкоза]– |
Рис. 2. Масс-спектры соединений I (а), II (б) и III (в): Ac – ацетил, Mal – малонил.
Таблица 2. Сигналы спектров ЯМР 1Н (500 МГц, ДМСО-d6, 333 K, dH, м.д., J/Гц) соединений I–VI
№ соединения | dH |
I | Акацетин – 6.98 (1H, с; H-3), 6.42 (1H, д, J = 2.0 Гц; H-6), 6.83 (1H, д, J = 2.0 Гц; H-8), 8.11 (2H, д, J = 9.0 Гц; H-2′, H-6′), 7.10 (2H, д, J = 9.0 Гц; H-3′, H-5′), 3.82 (3H, с; 4′-CH3O); 7-O-β-D-глюкопираноза – 5.43 (1H, д, J = 7.6 Гц; H-1′′), 4.89 (1H, м; H-2′′), 3.58 (1H, м; H-3′′), 3.47 (1H, м; H-4′′), 3.53 (1H, м; H-5′′), 3.73 (1H, дд, J = 11.8, 5.2 Гц; H-6′′A), 3.90 (1H, д, J = 11.8 Гц; H-6′′B); 2′′-O-малонил – 2.52 (2H, с; OC-CH2-COOH) |
II | Акацетин – 6.99 (1H, с; H-3), 6.10 (1H, д, J = 1.8 Гц; H-6), 6.80 (1H, д, J = 1.8 Гц; H-8), 8.09 (2H, д, J = 8.9 Гц; H-2′, H-6′), 7.11 (2H, д, J = 8.9 Гц; H-3′, H-5′), 3.85 (3H, с; 4′-CH3O); 7-O-β-D-глюкопираноза – 5.25 (1H, д, J = 7.8 Гц; H-1′′), 3.72 (1H, м; H-2′′), 3.62 (1H, м; H-3′′), 4.73 (1H, м; H-4′′), 3.58 (1H, м; H-5′′), 3.75 (1H, дд, J = 12.0, 5.0 Гц; H-6′′A), 3.94 (1H, д, J = 12.0 Гц; H-6′′B); 4′′-O-малонил– 2.54 (2H, с; OC-CH2-COOH) |
III | Акацетин – 6.96 (1H, с; H-3), 6.40 (1H, д, J = 2.0 Гц; H-6), 6.82 (1H, д, J = 2.0 Гц; H-8), 8.09 (2H, д, J = 9.0 Гц; H-2′, H-6′), 7.08 (2H, д, J = 9.0 Гц; H-3′, H-5′), 3.81 (3H, с; 4′-CH3O); 7-O-β-D-глюкопираноза – 5.45 (1H, д, J = 7.6 Гц; H-1′′), 4.92 (1H, м; H-2′′), 3.57 (1H, м; H-3′′), 3.50 (1H, м; H-4′′), 3.72 (1H, м; H-5′′), 4.35 (1H, дд, J = 11.9, 5.8 Гц; H-6′′A), 4.62 (1H, д, J = 11.9 Гц; H-6′′B); 2′′-O-малонил – 2.52 (2H, с; OC-CH2-COOH); 6′′-O-малонил – 2.57 (2H, с; OC-CH2-COOH) |
IV | Акацетин – 6.95 (1H, с; H-3), 6.42 (1H, д, J = 1.9 Гц; H-6), 6.84 (1H, д, J = 1.9 Гц; H-8), 8.10 (2H, д, J = 9.1 Гц; H-2′, H-6′), 7.12 (2H, д, J = 9.1 Гц; H-3′, H-5′), 3.83 (3H, с; 4′-CH3O); 7-O-β-D-глюкопираноза– 5.47 (1H, д, J = 7.6 Гц; H-1′′), 4.93 (1H, м; H-2′′), 3.55 (1H, м; H-3′′), 3.50 (1H, м; H-4′′), 3.73 (1H, м; H-5′′), 4.30 (1H, дд, J = 12.0, 5.6 Гц; H-6′′A), 4.58 (1H, д, J = 12.0 Гц; H-6′′B); 2′′-O-малонил – 2.52 (2H, с; OC-CH2-COOH); 6′′-O-ацетил – 2.11 (3H, с; OC-CH3) |
V | Акацетин – 6.95 (1H, с; H-3), 6.42 (1H, д, J = 2.1 Гц; H-6), 6.79 (1H, д, J = 2.1 Гц; H-8), 8.12 (2H, д, J = 8.8 Гц; H-2′, H-6′), 7.10 (2H, д, J = 8.8 Гц; H-3′, H-5′), 3.83 (3H, с; 4′-CH3O); 7-O-β-D-глюкопираноза – 5.25 (1H, д, J = 7.5 Гц; H-1′′), 3.70 (1H, м; H-2′′), 3.65 (1H, м; H-3′′), 4.82 (1H, м; H-4′′), 3.76 (1H, м; H-5′′), 4.38 (1H, дд, J = 11.8, 5.7 Гц; H-6′′A), 4.65 (1H, д, J = 11.8 Гц; H-6′′B); 4′′-O-малонил – 2.54 (2H, с; OC-CH2-COOH); 6′′-O-малонил – 2.57 (2H, с; OC-CH2-COOH) |
VI | Акацетин – 6.93 (1H, с; H-3), 6.40 (1H, д, J = 1.9 Гц; H-6), 6.82 (1H, д, J = 1.9 Гц; H-8), 8.14 (2H, д, J = 9.1 Гц; H-2′, H-6′), 7.09 (2H, д, J = 9.1 Гц; H-3′, H-5′), 3.81 (3H, с; 4′-CH3O); 7-O-β-D-глюкопираноза – 5.23 (1H, д, J = 7.8 Гц; H-1′′), 3.69 (1H, м; H-2′′), 3.62 (1H, м; H-3′′), 4.78 (1H, м; H-4′′), 3.79 (1H, м; H-5′′), 4.40 (1H, дд, J = 12.0, 5.7 Гц; H-6′′A), 4.69 (1H, д, J = 12.0 Гц; H-6′′B); 4′′-O-ацетил – 2.09 (3H, с; OC-CH3); 6′′-O-малонил – 2.57 (2H, с; OC-CH2-COOH) |
Таблица 3. Сигналы спектров ЯМР 13C (125 МГц, ДМСО-d6, 330 K, δС, м.д.) соединений I–VI и акацетин 7-О-глюкозида (AG)
С-атом | I | II | III | IV | V | VI | AG |
Акацетин | |||||||
2 | 163.3 | 163.4 | 163.2 | 163.1 | 163.5 | 163.4 | 163.2 |
3 | 103.0 | 103.2 | 103.2 | 103.0 | 103.1 | 103.3 | 103.1 |
4 | 181.9 | 182.0 | 181.8 | 181.8 | 182.1 | 181.8 | 181.8 |
5 | 158.5 | 158.2 | 158.6 | 158.2 | 158.1 | 158.2 | 158.3 |
6 | 99.4 | 99.1 | 99.2 | 99.2 | 99.4 | 99.2 | 99.3 |
7 | 161.9 | 162.0 | 162.1 | 162.0 | 162.2 | 162.1 | 162.0 |
8 | 95.4 | 95.2 | 95.6 | 95.3 | 95.3 | 95.4 | 95.2 |
9 | 156.8 | 156.4 | 156.7 | 156.7 | 156.2 | 156.4 | 156.7 |
10 | 105.4 | 105.1 | 105.2 | 105.4 | 105.4 | 105.3 | 105.2 |
1' | 122.4 | 122.5 | 122.0 | 122.2 | 122.4 | 122.0 | 122.5 |
2', 6' | 128.4 | 128.4 | 128.2 | 128.5 | 128.4 | 128.1 | 128.3 |
3', 5' | 114.4 | 114.2 | 114.4 | 114.6 | 114.5 | 114.4 | 114.0 |
4' | 162.6 | 162.4 | 162.7 | 162.7 | 162.8 | 162.9 | 162.5 |
4'-CH3O | 55.2 | 55.2 | 55.4 | 55.5 | 55.4 | 55.3 | 55.4 |
7-О-β-D-Глюкопираноза | |||||||
1'' | 96.8 | 100.1 | 96.5 | 100.2 | 96.4 | 100.1 | 100.2 |
2'' | 73.5 | 72.7 | 73.4 | 72.5 | 73.2 | 72.4 | 72.8 |
3'' | 73.8 | 76.2 | 73.9 | 76.0 | 73.8 | 75.8 | 77.3 |
4'' | 70.3 | 72.7 | 70.7 | 72.9 | 70.9 | 73.2 | 70.2 |
5'' | 76.2 | 75.1 | 75.3 | 74.8 | 75.0 | 74.7 | 76.4 |
6'' | 60.3 | 60.3 | 64.6 | 64.5 | 65.3 | 64.3 | 60.2 |
Малонил | |||||||
COO | 168.2 | 168.0 | 167.5, 168.1 | 168.0, 168.2 | 168.3 | 167.5 | |
CH2 | 42.0 | 42.2 | 42.0, 42.3 | 42.0, 42.3 | 42.1 | 42.4 | |
COOH | 170.6 | 170.3 | 168.7, 170.5 | 170.2, 170.5 | 170.5 | 168.7 | |
Ацетил | |||||||
CH3 | 20.4 | 20.3 | |||||
COO | 169.4 | 169.6 | |||||
Локализацию ацильных групп определяли по данным одно- и двумерной спектроскопии ЯМР (табл. 2, 3, рис. 3). Сравнительный анализ спектров тилианина и I выявил наличие сдвига в слабое поле сигнала С-2'' глюкозы (δС 72.8 → 72.5) и сильнопольные сдвиги сигналов соседних атомов С-1'' (δС 100.2 → 96.8) и С-3'' (δС 77.3 → 73.8) [15]. В спектре HMBC выявлены корреляции между сигналами Н-2'' (δН 4.89) и малонильным карбонилом (δС 168.2), что указывало на наличие замещения по положению С-2'' глюкозы и позволило описать строение I, как акацетин 7-О-(2''-О-малонил)-β-D-глюкопиранозида. У флавона II отмечены сдвиги в слабое поле сигнала С-4'' глюкозы (δС 70.2 → 72.7), а в спектре HMBC присутствовали корреляции между Н-4'' (δН 4.73) и малонильным карбонилом (δС 168.0), что возможно для акацетин 7-О-(4''-О-малонил)-β-D-глюкопиранозида. Ранее имелись сведения только об одном малонате тилианина – акацетин 7-О-(6''-О-малонил)-глюкозиде, выделенном из травы A. rugosa полностью [15].
Рис. 3. Строение углеводных фрагментов новых гликозидов акацетина I–VI. Стрелками указаны ключевые корреляции в спектрах HMBC.
Дималонильные эфиры тилианина III и IV представляли собой акацетин 7-О-(2'',6''-ди-О-малонил)-β-D-глюкопиранозид и акацетин 7-О-(4'',6''-ди-О-малонил)-β-D-глюкопиранозид соответственно. На это указывали сдвиги в слабое поле сигналов С-2'' (δС 72.8 → 73.4) и С-6'' (δС 60.2 → 64.6) у III и С-4'' (δС 70.2 → 72.9) и С-6'' (δС 60.2 → 64.5) у IV [21], а также взаимные корреляции в спектрах HMBC. Данные о природных или синтетических дималонатах тилианина отсутствуют.
Два ацетат-малоната тилианина были идентифицированы как акацетин 7-О-(2''-О-малонил-6''-О-ацетил)-β-D-глюкопиранозид (V) и акацетин 7-О-(4''-О-ацетил-6''-О-малонил)-β-D-глюкопиранозид (VI) на основании сдвигов в слабое поле сигналов С-2'' (δС 72.8 → 73.2) и С-6'' (δС 60.2 → 65.3) у V и С-4'' (δС 70.2 → 73.2) и С-6'' (δС 60.2 → 64.3) у VI и данных спектров HMBC. Известные ацетил-малонил тилианины – акацетин 7-О-(2''-О-ацетил-6''-О-малонил)-глюкозид и акацетин 7-О-(3''-О-ацетил-6''-О-малонил)-глюкозид, были обнаружены ранее только в A. rugosa [15]. Новым соединениям были даны названия агастозид А (I), В (II), C (III), D (IV), E (V) и F (VI).
Дополнительные сведения о компонентах A. foenicilum были получены в ходе ВЭЖХ-ДМД-ИЭР-МС профилирования экстрактов из цветков и листьев данного растения (рис. 4). В результате было установлено присутствие 40 соединений, в том числе 35 – в цветках и 34 – в листьях (табл. 4). Кроме выделенных флавоноидов в цветках A. foenicilum после сравнения спектральных данных с таковыми известных веществ было установлено присутствие 8 производных кофейной кислоты, включая 3-О- (5), 4-О- (1), 5-О- (4), 3,4-ди-О- (14), 3,5-ди-О- (17), 4,5-ди-О-кофеилхинные кислоты (20), розмариновую кислоту (12) и литоспермовую кислоту В (18), а также апигенин 7-О-глюкозида (7) и нарингенин 7-О-глюкозида (9).
Рис. 4. Хроматограмма (ВЭЖХ-ДМД, λ = 330 нм) экстракта цветков A. foenicilum и спектр поглощения гликозидов акацетина (на врезке). Номера соединений указаны как в табл. 4.
Природа пяти соединений (26, 31, 32, 36, 39) была установлена предварительно на основании УФ- и масс-спектральных данных в виде ацилированных гликозидов тилианина. Соединение 26 давало депротонированный ион с m/z 531, последовательно распадавшийся до ионов с m/z 445 и 283, что характерно для моно-малонатов тилианина [15]. Из четырех возможных эфиров тилианина с замещением по положениям С-2'', С-3'', С-4'' и С-6'', присутствие трех уже установлено в A. foenicilum (2''-О-малонил 23, 4''-О-малонил 27, 6''-О-малонил 24), что указывало на наиболее вероятное строение 26 в виде пока не охарактеризованного 3''-О-малонильного эфира тилианина.
Четыре изомерных флавона 31, 32, 36 и 39 были идентифицированы как тилианин ди-О-малонаты, так как масс-спектры содержали набор ионов с m/z 617, 531, 445 и 283, сходный с таковым у соединений 28 и 33. Из шести возможных соединений, замещенных по С-2'',3''; С-2'',4''; С-2'',6''; С-3'',4''; С-3'',6'' и С-4'',6'', известны лишь акацетин 7-О-(2'',6''-ди-О-малонил)-глюкозид (28) и акацетин 7-О-(4'',6''-ди-О-малонил)-глюкозид (33), описанные в данной работе, что указывает на существование еще четырех новых изомерных флавоноидов.
Хроматографический профиль листьев A. foenicilum был близок к таковому цветков, но отличался присутствием 2-О- (2) и 3-О-кофеилтреоновых кислот (3), лютеолин 7-О-глюкозида (6) и двух его моноацетатов 10 и 11, а также отсутствием минорных флавонов 7, 9, 31, 32, 36 и 39. Ранее в экстрактах травы A. foenicilum, культивируемой в Румынии, были обнаружены 5-О-кофеилхинная кислота (4), лютеолин 7-О-глюкозид (6), апигенин 7-О-глюкозид (7) и розмариновая кислота (12) [21], следовательно 36 соединений (1–3, 5, 8–11, 13–40) обнаружены впервые у этого вида. Флавоноиды 15, 22, 24, 25, 29, 34 и 35 были описаны как компоненты A. rugosa и A. mexicana первый раз полностью, т.к. другой вид [7] в отличие от 29 оставшихся фенольных соединений (1–3, 5, 8–11, 13, 14, 16–22, 23, 26–28, 30–33, 36–40), впервые выявленных у представителей рода Agastache.
Данные количественного анализа свидетельствовали о том, что содержание флавоноидов в цветках A. foenicilum (102.18 мг/г) в 4.7 раза выше такового в листьях (21.58 мг/г) (табл. 4). На долю производных акацетина приходилось 94% от идентифицированных флавоноидов цветков (96.32 мг/г) и 82% от флавоноидов листьев (21.58 мг/г). Основными флавонами цветков были агастозид А (39.26 мг/г) и акацетин 7-О-(2''-О-ацетил-6''-О-малонил)-глюкозид (38.20 мг/г), а в листьях – агастозид А (10.49 мг/г). Концентрация производных кофейной кислоты составила 57.62 и 33.43 мг/г соответственно в цветках и листьях, в то время как общее содержание идентифицированных фенольных соединений было 159.80 мг/г в цветках и 55.01 мг/г в листьях, что значительно выше такового для Европейских сортов A. foenicilum (2.2–2.8 мг/г) [22].
Таблица 4. Хроматографическая подвижность (tR), молекулярная формула, данные масс-спектров (ИЭР-МС) соединений 1–40 из A. foeniculum и их содержание в растительном сырье
№ | tR, мин | Соединение | Формула | УИа | ИЭР-МС, m/z | Содержание ± S.D., мг/г б | ||
[M+H]+ | дополнительные ионы | в цветках | в листьях | |||||
1 | 9.29 | 4-О-Кофеилхинная кислота | C16H18O9 | 1а | 353 | + | + | |
2 | 10.21 | 2-О-Кофеилтреоновая кислота | C13H14O8 | 1а | 297 | – | + | |
3 | 11.08 | 3-О-Кофеилтреоновая кислота | C13H14O8 | 1а | 297 | – | + | |
4 | 11.55 | 5-О-Кофеилхинная кислота | C16H18O9 | 1а | 353 | 9.37 ± 0.18 | 2.86 ± 0.05 | |
5 | 11.92 | 3-О-Кофеилхинная кислота | C16H18O9 | 1а | 353 | 1.93 ± 0.03 | 2.03 ± 0.04 | |
6 | 16.09 | Лютеолин 7-О-глюкозид (цинарозид) | C21H20O11 | 1а | 447 | 285 | – | + |
7 | 17.20 | Апигенин 7-О-глюкозид (космосиин) | C21H20O10 | 1а | 431 | 269 | + | – |
8 | 17.48 | Лютеолин 7-О-(6′′-О-ацетил)-глюкозид | C23H22O12 | 1б | 489 | 447, 285 | + | 1.58 ± 0.03 |
9 | 18.15 | Нарингенин 7-О-глюкозид (прунин) | C21H22O10 | 1а | 433 | 271 | + | – |
10 | 18.20 | Лютеолин 7-О-(X′′-О-ацетил)-глюкозидв | C23H22O12 | 2 | 489 | 447, 285 | – | + |
11 | 18.43 | Лютеолин 7-О-(X′′-О-ацетил)-глюкозидв | C23H22O12 | 2 | 489 | 447, 285 | – | + |
12 | 18.54 | Розмариновая кислота | C18H16O8 | 1а | 359 | 15.69 ± 0.31 | 26.73 ± 0.54 | |
13 | 19.21 | Апигенин 7-О-(2′′-О-ацетил)-глюкозид | C23H22O11 | 1б | 473 | 431, 269 | + | + |
14 | 19.65 | 3,4-Ди-О-кофеилхинная кислота | C25H24O12 | 1а | 515 | 355 | + | + |
15 | 19.81 | Диосметин 7-О-(6''-О-ацетил)-глюкозид | C24H24O12 | 1б | 547 | 461, 299, 285 | 1.85 ± 0.03 | 1.88 ± 0.03 |
16 | 20.04 | Апигенин 7-О-(6''-О-ацетил)-глюкозид | C23H22O11 | 1б | 473 | 431, 269 | 3.75 ± 0.07 | 0.27 ± 0.00 |
17 | 20.13 | 3,5-Ди-О-кофеилхинная кислота | C25H24O12 | 1а | 515 | 355 | + | + |
18 | 20.70 | Литоспермовая кислота В | C36H30O16 | 1а | 717 | 519 | 30.63 ± 0.62 | 1.81 ± 0.03 |
19 | 20.76 | Апигенин 7-О-(3''-О-ацетил)-глюкозид | C23H22O11 | 1б | 473 | 431, 269 | + | + |
20 | 20.81 | 4,5-Ди-О-кофеилхинная кислота | C25H24O12 | 1а | 515 | 355 | + | + |
21 | 21.98 | Апигенин 7-О-(4''-О-ацетил)-глюкозид | C23H22O11 | 1б | 473 | 431, 269 | + | + |
22 | 22.37 | Акацетин 7-О-глюкозид (тилианин) | C22H22O10 | 1б | 445 | 283 | 4.12 ± 0.08 | 0.68 ± 0.01 |
23 | 23.94 | Акацетин 7-О-(2''-О-малонил)-глюкозид (агастозид А) | C25H24O13 | 1б | 531 | 445, 283 | 39.26 ± 0.79 | 10.49 ± 0.21 |
24 | 24.59 | Акацетин 7-О-(6''-О-малонил)-глюкозид | C25H24O13 | 1б | 531 | 445, 283 | 3.76 ± 0.07 | 0.08 ± 0.00 |
25 | 24.75 | Акацетин 7-О-(2''-О-ацетил)-глюкозид (изоагастахозид) | C24H24O11 | 1б | 487 | 445, 283 | + | + |
26 | 24.87 | Акацетин 7-О-(X''-О-малонил)-глюкозид | C25H24O13 | 2 | 531 | 445, 283 | + | 0.95 ± 0.02 |
27 | 25.00 | Акацетин 7-О-(4''-О-малонил)-глюкозид (агастозид B) | C25H24O13 | 1б | 531 | 445, 283 | + | 0.23 ± 0.00 |
№ | tR, мин | Соединение | Формула | УИа | ИЭР-МС, m/z | Содержание ± S.D., мг/г б | ||
[M+H]+ | дополнительные ионы | в цветках | в листьях | |||||
28 | 25.08 | Акацетин 7-О-(2'',6''-ди-О-малонил)-глюкозид (агастозид C) | C28H26O16 | 1б | 617 | 531, 445, 283 | 1.05± 0.02 | 0.87± 0.02 |
30 | 25.55 | Акацетин 7-О-(2''-О-малонил-6''-О-ацетил)-глюкозид (агастозид E) | C27H26O14 | 1б | 573 | 531, 487, 445, 283 | 1.45 ± 0.03 | 0.10 ± 0.00 |
31 | 25.59 | Акацетин 7-О-(X'',Y''-ди-О-малонил)-глюкозидв | C28H26O16 | 2 | 617 | 531, 445, 283 | + | + |
32 | 25.70 | Акацетин 7-О-(X'',Y''-ди-О-малонил)-глюкозидв | C28H26O16 | 2 | 617 | 531, 445, 283 | + | – |
33 | 26.03 | Акацетин 7-О-(4'',6''-ди-О-малонил)-глюкозид (агастозид D) | C28H26O16 | 1б | 617 | 531, 445, 283 | + | – |
34 | 26.10 | Акацетин 7-О-(2''-О-ацетил-6''-О-малонил)-глюкозид | C27H26O14 | 1б | 573 | 531, 487, 445, 283 | 38.20 ± 0.79 | 3.75 ± 0.07 |
35 | 26.40 | Акацетин 7-О-(3''-О-ацетил-6''-О-малонил)-глюкозид | C27H26O14 | 1б | 573 | 531, 487, 445, 283 | 0.34 ± 0.00 | 0.36 ± 0.00 |
36 | 26.44 | Акацетин 7-О-(X'',Y''-ди-О-малонил)-глюкозидв | C28H26O16 | 2 | 617 | 531, 445, 283 | + | – |
37 | 26.62 | Лютеолин 7,4'-диметиловый эфир | C17H14O6 | 1б | 313 | 299, 285 | 0.26 ± 0.00 | + |
38 | 26.85 | Акацетин 7-О-(4''-О-ацетил-6''-О-малонил)-глюкозид (агастозид F) | C27H26O14 | 1б | 573 | 531, 487, 445, 283 | 3.32 ± 0.07 | 0.34 ± 0.00 |
39 | 26.91 | Акацетин 7-О-(X'',Y''-ди-О-малонил)-глюкозидв | C28H26O16 | 2 | 617 | 531, 445, 283 | + | – |
40 | 27.65 | Акацетин | C16H12O5 | 1б | 283 | 269 | 1.29 ± 0.02 | + |
Суммарное содержание: | ||||||||
- производных кофейной кислоты | 57.62 | 33.43 | ||||||
- производных лютеолина | 0.26 | 1.58 | ||||||
- производных апигенина | 3.75 | 0.27 | ||||||
- производных диосметина | 1.85 | 1.88 | ||||||
- производных акацетина | 96.32 | 17.85 | ||||||
- флавоноидов | 102.18 | 21.58 | ||||||
- фенольных соединений | 159.80 | 55.01 | ||||||
а Уровень идентификации: (1а) идентифицированное соединение после анализа данных УФ, масс-спектрометрии в сравнении с известным веществом; (1б) идентифицированное соединение после выделения и анализа данных УФ, ЯМР спектроскопии и масс-спектрометрии; (2) предположительно охарактеризованные соединения после сравнения данных УФ и масс-спектров с таковыми из литературы.б В пересчете на воздушно-сухую массу.в Символы X'' и Y'' указывают на то, что положение заместителей не определено.
Анализ биологической активности препаратов из A. foenicilum выявил, что экстракт цветков оказывал выраженное ингибиторное действие на МАО-А и МАО-В в дозе 50 мкг/мл (63.7% и 75.4% соответственно), в то время как экстракт листьев демонстрировал меньшую эффективность ингибирования ферментов (10.3% и 15.8%).
Исследование влияния различных флавоноидов A. foenicilum на активность МАО-А и МАО-В показало, что неацилированные 7-О-глюкозиды флавоноидов демонстрировали либо слабую выраженность действия на ферменты (лютеолин 7-О-глюкозид) либо были неэффективны (гликозиды акацетина, апигенина, нарингенина и диосметина) (табл. 5). Наличие ацетильной группы в составе углеводного фрагмента молекулы по положениям С-4'' и С-6'' приводило к значительному возрастанию способности соединений ингибировать ферменты (МАО-А/МАО-В: гликозиды акацетина 3.89/3.44 мкМ, гликозиды апигенина 3.52–3.87/3.31–3.53 мкМ, гликозиды лютеолина 2.83/2.97 мкМ). Присутствие заместителя у С-2'' и С-3'' глюкозы не влияло на активность соединения. Сходный паттерн в проявлении активности был отмечен при введении с молекулу флавонов фрагмента малоновой кислоты, причем 4''-О-малонаты были более эффективными ингибиторами, чем 6''-О-малонаты. Агастозид В (акацетин 7-О-(4''-О-малонил)-глюкозид; 1.53 мкМ) оказывал большее ингибиторное влияние на активность МАО-А, чем вещество сравнения толоксатон (1.78 мкМ). Диацилированные гликозиды также ингибировали МАО-А и МАО-В, причем 2'',6''- и 3'',6''-дизамещенные гликозиды были менее эффективными, чем соединения с 4'',6''-типом замещения. Так активность агастозида F (акацетин 7-О-(4''-О-ацетил-6''-О-малонил)-глюкозид) и D (акацетин 7-О-(4'',6''-ди-О-малонил)-глюкозид) в отношении МАО-А/МАО-В составила 1.95/1.63 и 1.58/1.30 мкМ соответственно. Ранее было показано, что присутствие малонильной группы у О-гликозилфлавонов по положению С-6'' может приводить к образованию водородных связей между ацильным фрагментом и участками молекулы ферментов (Cys172 и Ile477 у МАО-В) [5]. В настоящей работе впервые показано, что 4''-О-малонаты флавоноидов являются более активными ингибиторами МАО-А и МАО-В, чем их 6''-О-замещенные аналоги.
Таблица 5. Показатель 50%-ого ингибирования МАО-А и МАО-В флавоноидами (гликозидами акацетина, апигенина, лютеолина) из A. foeniculum, IC50 ± S.D., мкМ*
Углеводный фрагмент | Агликон | |||||
акацетин | апигенин | лютеолин | ||||
МАО-А | МАО-В | МАО-А | МАО-В | МАО-А | МАО-В | |
7-О-Glc | > 50 | > 50 | > 50 | > 50 | 12.8 ± 0.9† | 10.7 ± 0.8†† |
7-О-(2''-O-Ac)-Glc | > 50 | > 50 | > 50 | > 50 | – | – |
7-О-(3''-O-Ac)-Glc | – | – | > 50 | > 50 | – | – |
7-О-(4''-O-Ac)-Glc | – | – | 3.87 ± 0.24† | 3.53 ± 0.23†† | – | – |
7-О-(6''-O-Ac)-Glc | 3.89 ± 0.29† | 3.44 ± 0.25†† | 3.52 ± 0.21† | 3.31 ± 0.22†† | 2.83 ± 0.22† | 2.97 ± 0.21†† |
7-О-(2''-O-Mal)-Glc | > 50 | > 50 | – | – | – | – |
7-О-(4''-O-Mal)-Glc | 1.53 ± 0.11† | 1.48 ± 0.10†† | – | – | – | – |
7-О-(6''-O-Mal)-Glc | 2.30 ± 0.17† | 1.75 ± 0.12†† | – | – | – | – |
7-О-(2''-O-Ac-6''-O-Mal)-Glc | 2.35 ± 0.18† | 1.96 ± 0.15†† | – | – | – | – |
7-О-(3''-O-Ac-6''-O-Mal)-Glc | 2.37 ± 0.18† | 1.90 ± 0.15†† | – | – | – | – |
7-О-(4''-O-Ac-6''-O-Mal)-Glc | 1.95 ± 0.14 | 1.63 ± 0.11†† | – | – | – | – |
7-О-(2''-O-Mal-6''-O-Ac)-Glc | 3.95 ± 0.31† | 3.59 ± 0.27†† | – | – | – | – |
7-О-(2'',6''-O-Mal2)-Glc | 2.79 ± 0.19 | 2.56 ± 0.21†† | – | – | – | – |
7-О-(4'',6''-O-Mal2)-Glc | 1.58 ± 0.09† | 1.30 ± 0.09†† | – | – | – | – |
* Вещества сравнения: толоксатон – IC50 МАО-А 1.78 ± 0.08 мкМ; паргилин – IC50МАО-В 0.15 ± 0.01 мкМ. Отличия достоверны в сравнении с показателями веществ сравнения († – толоксазон, †† – паргилин).
Учитывая высокое содержание ацилированных производных тилианина у A. foenicilum можно высказать предположение, что присутствие именно этой группы соединений в экстрактах растения объясняет их способность ингибировать МАО. Дополнительно было изучено влияние некоторых нефлавоноидных соединений, обнаруженных в высоких концентрациях в A. foenicilum, на активность МАО-А и МАО-В и установлено, что розмариновая кислота, литоспермовая кислота В и 5-О-кофеилхинная кислота проявляли низкую выраженность действия (IC50 > 50 мкМ).
Таким образом, проведенные исследования показали, что A. foenicilum является источником различных фенольных соединений, включая производные кофейной кислоты и флавоноиды. Среди последних особое внимание заслуживают ацилированные гликозиды акацетина, которые обладают способностью ингибировать активность МАО-А и МАО-В и могут рассматриваться как перспективные кандидаты для создания новых лекарственных средств.
ФИНАНСИРОВАНИЕ. Исследование выполнено при поддержке Министерства науки и высшего образования Российской Федерации в рамках научного проекта FWSM-2021-0005 (№121030100227-7).
СОБЛЮДЕНИЕ ЭТИЧЕСКИХ СТАНДАРТОВ. В данной работе отсутствуют исследования человека или животных.
КОНФЛИКТ ИНТЕРЕСОВ. Авторы данной работы заявляют, что у них нет конфликта интересов.
Об авторах
Д. Н. Оленников
Институт общей и экспериментальной биологии СО РАН
Автор, ответственный за переписку.
Email: olennikovdn@mail.ru
Россия, Улан-Удэ, 670047
Н. И. Кащенко
Институт общей и экспериментальной биологии СО РАН
Email: olennikovdn@mail.ru
Россия, Улан-Удэ, 670047
Список литературы
- Lamptey R.N.L., Chaulagain B., Trivedi R., Gothwal A., Layek B., Singh J. // Int. J. Mol. Sci. 2022. V. 23. № 1851. https://doi.org/10.3390/ijms23031851
- Youdim M.B.H., Edmondson D., Tipton K.F.// Nature Rev. Neurosci. 2006. V. 7. P. 295–309. https://doi.org/10.1038/nrn1883
- Dhiman P., Malik N., Sobarzo-Sánchez E., Uriarte E., Khatkar A. // Molecules. 2019. V. 24. № 418. https://doi.org/10.3390/molecules24030418
- Chaurasiya N.D., Midiwo J., Pandey P., Bwire R.N., Doerksen R.J., Muhammad I., Tekwani B.L. // Molecules. 2020. V. 25. № 5358. https://doi.org/10.3390/molecules25225358
- Lee H.W., Ryu H.W., Baek S.C., Kang M.-G., Park D., Han H.-Y., Kim H. // Int. J. Biol. Macromol. 2017. V. 104. P. 547–553. https://doi.org/10.1016/j.ijbiomac.2017.06.076
- Абрамчук А.В., Карпухин М.Ю. // Аграрный вестник Урала. 2017. № 2. С. 6–9.
- Nechita M.-A., Toiu A., Benedec D., Hanganu D., Ielciu I., Oniga O., Nechita V.-I., Oniga I. // Plants. 2023. V. 12. № 2937. https://doi.org/10.3390/plants12162937
- Vogelmann J.E. // Biochem. Syst. Ecol. 1984. V. 12. P. 363–366. https://doi.org/10.1016/0305-1978(84)90067-X
- Чумакова В.В., Попова О.И., Чумакова В.В. // Растит. ресурсы. 2011. Т. 47. С. 51–55.
- Olennikov D.N., Kashchenko N.I. // Agronomy. 2023. V. 13. № 2410. https://doi.org/10.3390/agronomy13092410
- Olennikov D.N. // Separations. 2023. V. 10. № 255. https://doi.org/10.3390/separations10040255
- Olennikov D.N., Kashchenko N.I. // Appl. Biochem. Microbiol. 2023. V. 59. P. 530–538. https://doi.org/10.1134/S0003683823040099
- Olennikov D.N., Chirikova N.K. // Chem. Nat. Compd. 2019. V. 55. P. 1032–1038. https://doi.org/10.1007/s10600-019-02887-1
- Olennikov D.N. // Chem. Nat. Compd. 2022. V. 58. P. 816–821. https://doi.org/10.1007/s10600-022-03805-8
- Seo Y.H., Kang S.-Y., Shin J.-S., Ryu S.M., Lee A.Y., Choi G., Lee J. // J. Nat. Prod. 2019. V. 82. P. 3379–3385. https://doi.org/10.1021/acs.jnatprod.9b00697
- Park S., Kim N., Yoo G., Kim Y., Lee T.H., Kim S.Y., Kim S.H. // Biochem. Syst. Ecol. 2016. V. 67. P. 17–21. https://doi.org/10.1016/j.bse.2016.05.019
- Mizuno T., Seto H., Nakane T., Murai Y., Tatsuzawa F., Iwashina T. // Bull. Natl. Mus. Nat. Sci. B. 2023. V. 49. P. 57–64. https://doi.org/10.50826/bnmnsbot.49.2_57
- Kachlicki P., Piasecka A., Stobiecki M., Marczak Ł. // Molecules. 2016. V. 21. № 1494. https://doi.org/10.3390/molecules21111494
- Itokawa H., Suto K., Takeya K. // Chem. Pharm. Bull. 1981. V. 29. P. 1777–1779. https://doi.org/10.1248/cpb.29.1777
- Olennikov D.N., Kashchenko N.I. // Chem. Nat. Comp. 2016. V. 52. P. 996–999. https://doi.org/10.1007/s10600-016-1845-7
- Norazhar A.I., Lee S.Y., Faudzi S.M.M., Shaari K. // Appl. Sci. 2021. V. 11. № 3526. https://doi.org/10.3390/app11083526
- Duda S.C., Marghitas L.A., Dezmirean D., Duda M., Margaoan R., Bobis O. // Ind. Crops Prod. 2015. V. 77. P. 499–507. https://doi.org/10.1016/j.indcrop.2015.09.045
Дополнительные файлы







