Mineral composition and parameters of metamorphism of granulite in the Khapchan orogenic belt (Anabar shield)
- Authors: Yurchenko A.V.1, Skublov S.G.1,2, Gusev N.I.3, Romanova L.Y.3
-
Affiliations:
- Institute of Precambrian Geology and Geochronology RAS
- Saint Petersburg Mining University
- Karpinsky Russian Geological Research Institute
- Issue: Vol CLIII, No 5 (2024)
- Pages: 13-37
- Section: Articles
- URL: https://journal-vniispk.ru/0869-6055/article/view/281286
- DOI: https://doi.org/10.31857/S0869605524050021
- EDN: https://elibrary.ru/PCPXAM
- ID: 281286
Cite item
Full Text
Abstract
The calculation of temperature and pressure of metamorphic mineral formation was carried out by methods of mineral thermobarometry for granulites of the Khapchan Group. Peak metamorphism conditions were hidden by a post-culmination partitioning of Fe and Mg between minerals at the retrograde stage of metamorphism. The maximum temperature and pressure obtained with the winTWQ are 820—855 °C and 6.6—7.0 kbar. The retrograde stage of metamorphism was characterized by a synchronous decrease in temperature and pressure down to 560 °C and 3 kbar. It is embodied in a composition of biotite: Ti, Sr, and REE contents in this mineral are lowered when temperature is decreased. The rare-element composition of garnets with a well-defined negative Eu anomaly and high value of SmN/GdN ratio is typical for low-calcium garnets of granulite facies.
Full Text
ВВЕДЕНИЕ
Высокотемпературные комплексы характерны для многих докембрийских кратонов, что свидетельствует о том, что тектонические процессы в истории Земли могли происходить в экстремальных условиях. Определение Р–Т условии метаморфизма для таких комплексов актуально, но осложнено регрессивными преобразованиями пород, а в случае полиметаморфических комплексов — возможным наложением более позднего низкотемпературного метаморфического события на более раннее высокотемпературное. Охлаждение пород приводит к перераспределению железа и магния между сосуществующими минералами, что приводит к более низким температурам минеральных равновесий. Поэтому для установления пиковых условий метаморфизма используют минералы, в состав которых входят элементы с пониженными коэффициентами внутрикристаллической диффузии — Ca, Al (гранат, ортопироксен, плагиоклаз) или примеси редких элементов (Pattison et al., 2003; Kawasaki, Motoyoshi, 2016; Clark et al., 2019; Абдрахманов и др., 2021; Гульбин и др., 2022; Abdrakhmanov et al., 2024).
В северной части Евразийского континента древним докембрийским ядром является Сибирский кратон, сформировавшийся в результате амальгамации архейских глубокометаморфизованных блоков в палеопротерозое 1.9—1.8 млрд лет назад (Розен и др., 2006; Donskaya, 2020). На большей части своей территории Сибирский кратон перекрыт мощным осадочным чехлом мезопротерозойского и раннемелового возраста. Анабарский щит является северным выступом глубоко эродированного основания докембрийского кристаллического фундамента, преобладающая часть которого сложена метаморфическими породами гранулитовой фации. Породы Анабарского щита испытали гранулитовый метаморфизм, по меньшей мере, дважды: в архее — 2.7 млрд лет и в раннем протерозое — 1.97 млрд лет (Архей.., 1988; Rosen, 2003). Условия метаморфизма: 750‒950 °C, 5.5—11 кбар (Вишневский, 1978) и 870‒930 °C, 10—11 кбар (Архей.., 1988). Высокие температуры образования пород Анабарского щита подтверждаются наличием в его центральной части чарнокитов (Ножкин и др., 2022) и сапфиринсодержащих гранулитов (Лутц, Копанева, 1968; Ножкин и др., 2019), которые являются индикаторами ультравысокотемпературного (UHT) метаморфизма. В случае сапфиринсодержащих пород пиковые условия метаморфизма составили: 920—1000 °C и 9—11 кбар, при этом возраст метаморфизма был определен как протерозойский (Ножкин и др., 2019).
По результатам U–Pb датирования циркона в породах Анабарского щита фиксируется время как архейского, так и протерозойского гранулитового метаморфизма (Гусев и др., 2021, и ссылки в этой работе). Однако наиболее ранние процессы гранулитового метаморфизма с возрастом 2.7 млрд лет проявлены локально, тогда как большая часть возрастных оценок оказывается существенно моложе — 2.0—1.8 млрд лет (Розен и др., 2006) и совпадает с возрастом амальгамации архейских гранулитовых террейнов. Наше исследование посвящено определению параметров метаморфизма пород хапчанской серии, для которых протерозойский метаморфизм является единственным. Достоверно установлено, что породы хапчанской серии сформировались в осадочном бассейне в интервале 2.46—2.10 млрд лет (Zlobin et al., 2002; Гусев, 2013), а время метаморфизма установлено как 1928±21 млн лет (Гусев, 2013), что позволяет при их изучении получить более корректные оценки параметров протерозойского метаморфизма. Это исследование объединяет данные петрографии, результаты изучения химического состава минералов, данные геотермобарометрии с целью установления условий метаморфизма и построения Р–Т тренда гранулитовых пород Анабарского щита для лучшего понимания их тектоно-метаморфической эволюции.
КРАТКАЯ ГЕОЛОГИЧЕСКАЯ ХАРАКТЕРИСТИКА
В пределах Анабарского щита обнажаются террейны трех тектонических провинций (рис. 1, а): Маганской тоналит-трондьемит-гнейсовой на западе, Анабарской гранулит-ортогнейсовой в средней части и Хапчанской гранулит-парагнейсовой на востоке щита (Rosen, Turkina, 2007). Шовные зоны между провинциями представлены на западе Анабарского щита — Котуйкан-Монхолинской, на востоке — Салтах-Билляхской сутурами. Вдоль Салтах-Билляхской сутуры контактируют архейские гранулиты Джелиндинской глыбы и гранулиты палеопротерозойского Хапчанского орогенного пояса (Розен и др., 2006).
Рис. 1. Тектонические схемы: а — северной части фундамента Сибирского кратона по (Rosen et al., 1994; Griffin et al., 1999); б — Анабарского щита.
1, 2 — архейские гранулитовые глыбы, формации: 1 — метабазит-плагиогнейсовая (далдынская серия), 2 — плагиогнейсовая (верхнеанабарская серия); 3, 4 — палеопротерозойский гранулитовый Хапчанский пояс, формации: 3 — метавулканогенная; 4 — метакарбонатно-парагнейсовая (хапчанская серия); 5 — зоны смятия (тектонит-гранит-мигматитовая формация); 6, 7 — интрузивные образования, формации: 6А — анортозитовая, 6G — габбро-диоритовая; 7 — гранитовая; 8 — главные разломы: а — крутопадающие, б — надвиги; 9 — платформенный чехол; 10 — Попигайская астроблема; 11 — Хардахский участок. Гранулитовые глыбы (цифры в кружках): I — Западная, II — Верхнекуонамская, III — Ильинская, IV — Далдынская, V — Джелиндинская, VI — Хапчанская, VII — Попигайская. Шовные зоны смятия (цифры в квадратах): 1 — Чурбукулахская, 2 — Ламуйкская, 3 — Котуйкан-Монхолинская, 4 — Ченгелехская, 5 — Харапская, 6 — Билляхская, 7 — Салтахская.
Fig. 1. Tectonic schemes: а — of the northern Siberian Craton after (Rosen et al., 1994; Griffin et al., 1999), б — Anabar shield.
1, 2 — Archean granulite blocks, associations: 1 — metamafic–plagiogneiss (Daldyn Group), 2 — plagiogneiss (Upper Anabar Group); 3, 4 — Paleoproterozoic granulite Khapchan belt, associations: 3 — metavolcanogenic; 4 — metacarbonate-paragneiss (Khapchan Group); 5 — shear zone (tectonite–granite–migmatite associations); 6, 7 — intrusive rocks, associations: 6A — anorthosite, 6G — gabbrodiorite; 7 — granite; 8 — main faults: a — steep, б — overthrusts; 9 — platform cover; 10 — Popigai astrobleme; 11 — Khardakh site. Granulite blocks (numbers in circles): I — Western, II — Upper Kuonamka, III — Il’inskaya, IV — Daldyn, V — Dzhelinda, VI — Khapchan, VII — Popigai. Shear zones (numbers in boxes): 1 — Churbukulakh, 2 — Lamui, 3 — Kotuikan-Monkholin, 4 — Chengelekh, 5 — Kharap, 6 — Billyakh, 7 — Saltakh.
В строении Хапчанского орогенного пояса участвуют два гранулитовых комплекса. Нижний комплекс (хардахский) представлен метаморфизованными магматическими породами: основными кристаллосланцами, мезократовыми и лейкократовыми двупироксеновыми и ортопироксеновыми гнейсами, слагающими слои и пачки различной мощности. U-Pb возраст протолита метамагматических пород составляет 2.1—2.03 млрд лет, возраст гранулитового метаморфизма — 1.96 млрд лет. Магматический источник метамагматических пород соответствует породам деплетированной мантии (Gusev et al., 2021).
Верхний комплекс (хапчанская серия), сложен метаосадочными породами — гранатовыми, биотитсодержащими гранат-силлиманитовыми с кордиеритом и пироксен-гранатовыми гнейсами, мраморами, кальцифирами, пироксен-скаполитовыми породами, протолиты которых формировались в Хапчанском осадочном бассейне (Zlobin et al., 2002). U–Pb возраст метаморфизма парагнейсов составляет 1928±21 млн лет (Гусев, 2013).
Хапчанская серия со стратиграфическим несогласием залегает на подстилающих ее метамагматических образованиях и разделяется на две толщи: нижнюю — хаптасыннахскую и верхнюю — биллээх-тамахскую. Для парапород хапчанской серии характерна тонкая слоистость с элементами ритмичности. Геохимические особенности парагнейсов хапчанской серии указывают, что их протолитами были граувакки, подобные накапливающимся в палеозое на активных или пассивных континентальных окраинах (Condie et al., 1991; Zlobin et al., 2002).
Метапелиты хапчанской серии изучены нами в пределах Хардахской площади на восточной окраине Анабарского щита в районе впадения р. Хардах в р. Бол. Куонамка (рис. 2). Здесь предшественниками (Строение…, 1986) закартирована антиклинальная складка, в ядре которой залегают породы верхнеанабарской серии (по нашим данным хардахский комплекс), на крыльях — хаптасыннахская толща хапчанской серии. Этот участок был также детально изучен в 1990 г. с поисковыми задачами (в том числе с бурением скважин) в связи с обнаруженным здесь в замке антиклинальной складки куста кимберлитовых трубок «Хардах». Ядерная часть складки сложена темно-зелеными и зеленовато-серыми среднезернистыми кристаллосланцами в разной степени мигматизированными и калишпатизированными. Переходная зона между хардахской и хаптасыннахской толщами сложена карбонатными породами (карбонатно-силикатными породами и мраморами), которые часто являются цементом осадочных брекчий. Обломочный материал брекчий представлен кристаллосланцами, в том числе иногда калишпатизированными. Выше по разрезу залегают светлоокрашенные высокоглиноземистые метапелиты: гранатовые, биотитсодержащие гранат-силлиманитовые с кордиеритом и пироксен-гранатовые гнейсы.
Рис. 2. Схематическая геологическая карта участка Хардах.
1 — аллювиальные отложения квартера (Q); 2—3 — хардахский комплекс (PR1hr), 2 — двупироксеновые плагиогнейсы, 3 — двупироксеновые кристаллосланцы мигматизированные; 4—5 — хаптасыннахская толща хапчанской серии (PR1ht), 4 — гранатовые и пироксен-гранатовые гнейсы, силлиманит- и кордиеритсодержащие; 5 — кальцифиры, мраморы и кальцифировые брекчии; 6 — дайки долеритов; 7 — кимберлиты; 8 — разрывные нарушения; 9 — номера точек отбора образцов.
Fig. 2. A geologic scheme of the Khardakh area.
1 — alluvial Quaternary sediments (Q); 2—3 — Khardakh Formation (PR1hr), 2 — two-pyroxene plagiogneiss, 3 — migmatized two-pyroxene crystalline schist; 4—5 — Khaptasynnakh series of the Khapchan Group (PR1ht), 4 — garnet and pyroxene-garnet gneiss, sillimanite- and cordierite-bearing; 5 — carbonate and metacarbonate rocks; 6 — dolerite dikes; 7 — kimberlite; 8 — faults; 9 — numbers of sampling localities.
МЕТОДЫ ИССЛЕДОВАНИЙ
Для изучения вещественного состава супракрустальных пород Хапчанского пояса использована коллекция образцов, отобранная авторами в период полевых работ 2011‒2014 гг. по составлению Государственной геологической карты масштаба 1:1000000 листа R-49. Серия образцов (около 60) отобрана из обнажений в районе правого притока р. Бол Куонамка — реки Хардах (рис. 2). Для определения параметров метаморфизма были выбраны реперные по минеральному составу и текстурно-структурным особенностям образцы. Исследования состава минералов по главным элементам проводилось на сканирующем электронном микроскопе JSM-6510LA, оснащенным энергодисперсионным спектрометром JEOL JED-2200 (ИГГД РАН, аналитик О. Л. Галанкина). Условия анализа: ускоряющее напряжение 20 кВ, ток 1 нА, ZAF-метод коррекции матричных эффектов. Предел обнаружения определяемых элементов — 0.1 %. Представительные химические составы изученных минералов приведены в табл. 1. Содержание редких и редкоземельных элементов в минералах определялось методом масс-спектрометрии вторичных ионов (SIMS) на ионном зонде Cameca IMS-4f в Ярославском филиале Физико-технологического института РАН. Условия съемки: первичный пучок ионов 16О2¯, диаметр которого составляет ~15‒20 мкм; ток ионов 5‒7 нА; ускоряющее напряжение первичного пучка 15 кэВ. Каждое измерение состояло из 3 циклов, что позволяло оценить индивидуальную воспроизводимость измерения. Общее время анализа одной точки в среднем составляло 30‒40 минут. Погрешность измерения редких элементов: до 10 % для концентраций выше 1 ppm и до 20 % для диапазона концентраций 0.1‒1 ppm; порог обнаружения для различных элементов варьирует в пределах 5‒10 ppb. Редкоэлементный состав породообразующих минералов определялся примерно в тех же точках, что и анализ главных элементов методом SEM-EDS (с учетом различной локальности методов). При построении спектров распределения редкоземельных элементов (REE) составы породообразующих минералов нормировались на состав хондрита CI (McDonough, Sun, 1995). Данные по геохимии изученных минералов приведены в табл. 2 с указанием соответствия точкам анализа содержаний главных элементов.
P–T параметры минералообразования определялись методом мультиравновесной геотермобарометрии (TWEEQU) с помощью программы winTWQ (Berman, 1991) версии 2.64 с базами термодинамических данных dec06.dat (термодинамические константы) и dec06.sln (модели твердых растворов) (Berman, Aranovich, 1996; Berman at al., 2007), которая позволяет оценивать, наряду с температурой и давлением, степень приближения минеральных составов к равновесным. Для определения пиковых условий метаморфизма была использована программа RCLC (Pattison et al. 2003), которая позволяет рассчитывать давление и температуру для парагенезиса Grt + Opx + Pl + Qz ± Bt на основе растворимости Al в ортопироксене в равновесии с гранатом с поправкой на поздний Fe-Mg обмен 1. Также применялись «классические» минеральные геотермобарометры: Grt-Bt геотермометр (Holdaway, 2000), Grt-Bt-Pl-Qz (GBPQ) геобарометр (Wu et al., 2006), Grt-Opx геотермометр (Harley, 1984а; Ganguly et al., 1996), Grt-Opx геобарометр (Harley, 1984b) Grt-Opx-Pl-Qz геобарометр (Eckert et al., 1991), Grt-Crd геотермобарометр (Aranovich, Podlesskii, 1989), «Ti-в-кварце» геотермометр (Wark, Watson, 2006) и «Ti-в-гранате» геотермометр (Kawasaki, Motoyoshi, 2016).
РЕЗУЛЬТАТЫ ИССЛЕДОВАНИЙ
Петрографическая характеристика. По данным петрографических наблюдений, в гранулитах участка преобладают Grt–Bt–Sil, Grt–Sill–Crd и Grt–Opx кварцсодержащие парагенезисы. В породах в разном количестве встречаются также плагиоклаз, калиевый полевой шпат (часто в виде пертита), биотит, иногда графит. Рудные минералы представлены магнетитом, ильменитом, рутилом и шпинелью. Ниже приведено петрографическое описание наиболее информативных образцов, которые в дальнейшем используются для определения условий метаморфизма пород участка.
Образец 217. Мигматизированный рассланцованный Sil–Crd–Bt–Grt гнейс. Осветленные слои Qz+Fsp+Pl состава с биотитом, силлиманитом и обилием рудного вещества перемежаются с прослоями, содержащими порфиробласты граната (размером до 1 см), вытянутыми по направлению рассланцевания. Гранат содержит обильные включения кварца, плагиоклаза, силлиманита, биотита, циркона, рудных минералов. В зонах с интенсивным рассланцеванием, по краю кристаллов граната развивается кордиерит, встречаются кварц-кордиеритовые симплектиты (рис. 3, а). Кордиерит также содержит включения силлиманита. Коричневый биотит встречается как в матриксе, так и во включениях в гранате, на краях зерен граната появляется вторичный зеленый биотит. В породе отмечены лейсты графита.
Рис. 3. Фотографии шлифов изученных гранулитов.
а — Bt–Crd–Sil–Grt гнейс; пинитизированный кордиерит замещает гранат и содержит включения силлиманита, гранат содержит многочисленные включения Sil, Bt, Qz; б — Grt–Opx гнейс, матрикс; в — Grt–Opx гнейс, лейкосома с Grt, Bt и Opx; г — Sil–Bt–Grt гнейс, порфиробласты граната вытянуты по направлению рассланцевания, обтекаются силлиманитом и биотитом; д — та же порода, калиевый полевой шпат насыщен пертитовыми вростками; е — включения шпинели и кварца в гранате. а, б, в, г — изображения в проходящем свете без анализатора, д — с анализатором; е — изображение в обратно-отраженных электронах.
Fig. 3. Photomicrographs of thin sections of granulite studied.
a — Bt–Crd–Sil–Grt gneiss; pinitized cordierite which replaces garnet and contains inclusions of sillimanite; garnet which contains Sil, Bt, and Qz inclusions; б — Grt–Opx gneiss, matrix; в — Grt–Opx gneiss, leucosome with Grt, Bt, and Opx; г — Sil–Bt–Grt gneiss, Grt porphyroblasts elongated along the foliation, flanked by sillimanite and biotite; д — the same rock, K-feldspar saturated with perthite ingrowths; е — spinel and quartz inclusion in garnet. a, б, в, г — transmitted light images without an analyzer, д — with an analyzer; е — BSE image.
Образец 861. Среднезернистый мигматизированный Grt–Opx гнейс. Порода с неоднородным распределением минералов вследствие проявленной в ней мигматизации, из-за которой в одной части образца развит преимущественно меланократовый Grt–Opx–Pl субстрат, а в лейкократовой части находятся обогащенные калиевым полевым шпатом, кварцем и гранатом участки мощностью до 1—2 см, где ортопироксена заметно меньше, но по размеру зерна значительно крупнее (рис. 3, б, в). В матриксе наблюдается более мелкозернистый гранат и ортопироксен, их зерна вытянуты по направлению рассланцевания; плагиоклаз преобладает над калиевым полевым шпатом.
Образец 39—1. Среднезернистый Grt–Bt гнейс. Порфиробласты граната (размером до 3 мм) содержат большое количество включений минералов матрикса (кварца, плагиоклаза, биотита, калиевого полевого шпата) и находятся в осветленных участках породы. В этих участках коричневого биотита заметно меньше, чем в матриксе без граната.
Образец 225—2. Рассланцованный Sil–Bt–Grt гнейс. Рассланцевание подчеркнуто игольчатыми кристаллами силлиманита. Порфиробласты граната (размером до 7 мм) также вытянуты в направлении рассланцевания (рис. 3, г). Калиевый полевой шпат с обилием пертитов присутствует как в матриксе породы (рис. 3, д), так и во включениях в гранате (рис. 3, е). Присутствуют реакционные структуры: по краю зерен граната образуется силлиманит в результате реакции плагиоклаза с гранатом. Во включениях и в краевой части выделений граната встречается зеленая шпинель в ассоциации с кварцем (рис. 3, е); шпинель с кварцем встречена и в матриксе породы, где часто замещается магнетитом.
Составов минералов по главным элементам. Гранат имеет пироп-альмандиновый состав (максимальное содержание Py минала — 41 мол.%) с небольшой примесью спессартинового (0—2 мол.%) и гроссулярового компонентов (0—3 мол.%, максимальное содержание гроссулярового компонента в гранате из гнейса с ортопироксеном — 4—7 мол.%). Зерна граната демонстрируют регрессивную зональность: от центра к краям уменьшается содержание пиропового минала, возрастает — альмандинового минала (табл. 1).
Таблица 1. Представительные составы минералов (мас.%)
Table 1. Representative compositions of minerals (wt %)
Образец | 217 | 861 | ||||||||||||||||||
Минерал | Grt r | Grt | Grt | Grt | Grt c | Bt | Bt | Grt | Grt r | Grt | Grt | Grt r | Grt c | Opx | Opx | Opx | Bt | Bt | Bt | Bt |
Анализ | 6 | 29 | 37 | 54 | 78 | 40 | 83 | 3 | 23 | 12 | 46 | 48 | 75 | 7 | 52 | 61 | 27 | 53 | 54 | 67 |
SiO2 | 38,6 | 38,0 | 38,6 | 39,0 | 38,7 | 35,5 | 36,2 | 31,8 | 38,0 | 37,3 | 38,0 | 37,5 | 38,2 | 50,9 | 50,9 | 51,6 | 36,3 | 36,2 | 37,0 | 40,1 |
TiO2 | – | – | – | – | – | 5,26 | 5,76 | – | – | – | – | – | – | – | – | – | 6,04 | 5,11 | 4,97 | 1,28 |
Al2O3 | 21,5 | 22,3 | 21,3 | 22,2 | 21,6 | 15,5 | 15,2 | 16,7 | 20,9 | 21,7 | 21,0 | 20,8 | 21,8 | 2,9 | 3,97 | 3,63 | 14,9 | 14,0 | 14,6 | 12,0 |
Cr2O3 | – | – | – | – | – | – | – | – | – | – | – | – | – | – | – | – | 0,25 | – | – | 0,05 |
FeO* | 29,2 | 28,7 | 29,0 | 30,4 | 29,0 | 9,6 | 11,2 | 28,2 | 29,6 | 28,6 | 29,7 | 29,5 | 28,1 | 26,0 | 24,0 | 22,7 | 10,2 | 10,1 | 10,7 | 7,10 |
MnO | 0,81 | 0,84 | 1,04 | 0,85 | 0,81 | – | – | 0,91 | 1,18 | 1,21 | 1,17 | 0,89 | 0,76 | 0,28 | 0,11 | 0,36 | – | – | 0,08 | – |
MgO | 8,34 | 9,44 | 8,93 | 7,86 | 9,18 | 16,2 | 15,0 | 6,73 | 6,99 | 7,41 | 7,75 | 7,32 | 9,23 | 19,8 | 21,0 | 21,3 | 16,2 | 16,1 | 16,5 | 21,4 |
K2O | – | – | – | – | – | 10,1 | 9,59 | – | – | – | – | – | – | – | – | – | 9,81 | 10,2 | 9,50 | 9,02 |
CaO | 0,81 | 0,80 | 0,70 | 0,82 | 0,67 | – | – | 2,09 | 2,35 | 2,26 | 2,37 | 2,06 | 1,91 | 0,16 | 0,14 | 0,33 | – | – | – | – |
Сумма | 99.26 | 100.08 | 99.57 | 101.13 | 99.96 | 92.16 | 92.95 | 86.43 | 99.02 | 98.48 | 100 | 98.07 | 100 | 100.04 | 100.1 | 99.92 | 93.70 | 91.71 | 93.35 | 90.95 |
Коэффициенты в формулах | ||||||||||||||||||||
Si | 3.015 | 2.941 | 3.007 | 3.000 | 2.998 | 2.770 | 2.815 | 2.939 | 3.008 | 2.957 | 2.979 | 2.992 | 2.960 | 1.926 | 1.904 | 1.922 | 2.799 | 2.842 | 2.842 | 3.022 |
Ti | – | – | – | – | – | 0.309 | 0.337 | – | – | – | – | – | – | – | – | – | 0.350 | 0.302 | 0.287 | 0.073 |
Al | 1.980 | 2.034 | 1.955 | 2.013 | 1.972 | 1.423 | 1.393 | 1.822 | 1.946 | 2.026 | 1.941 | 1.958 | 1.991 | 0.130 | 0.175 | 0.159 | 1.350 | 1.300 | 1.321 | 1.066 |
Cr | – | – | – | – | – | – | – | – | – | – | – | – | – | – | – | – | 0.015 | – | – | 0.003 |
Fe2+ | 1.908 | 1.857 | 1.889 | 1.956 | 1.879 | 0.626 | 0.731 | 2.128 | 1.962 | 1.896 | 1.948 | 1.971 | 1.821 | 0.821 | 0.750 | 0.708 | 0.659 | 0.666 | 0.684 | 0.448 |
Mn | 0.054 | 0.055 | 0.069 | 0.055 | 0.053 | – | – | 0.071 | 0.079 | 0.081 | 0.078 | 0.060 | 0.050 | 0.009 | 0.003 | 0.011 | – | – | 0.005 | – |
Mg | 0.971 | 1.089 | 1.037 | 0.901 | 1.060 | 1.887 | 1.736 | 0.928 | 0.825 | 0.877 | 0.906 | 0.872 | 1.066 | 1.116 | 1.171 | 1.184 | 1.862 | 1.887 | 1.893 | 2.399 |
K | – | – | – | – | – | 1.007 | 0.952 | – | – | – | – | – | – | – | – | – | 0.964 | 1.021 | 0.931 | 0.867 |
Ca | 0.068 | 0.066 | 0.058 | 0.068 | 0.056 | – | – | 0.207 | 0.199 | 0.192 | 0.199 | 0.176 | 0.159 | 0.006 | 0.006 | 0.013 | – | – | – | – |
Сумма | 8.00 | 8.04 | 8.02 | 7.99 | 8.02 | 8.02 | 7.96 | 8.10 | 8.02 | 8.03 | 8.05 | 8.03 | 8.05 | 4.01 | 4.01 | 4.00 | 8.00 | 8.02 | 7.96 | 7.88 |
Таблица 1. Продолжение
Образец | 225—2 | 39—1 | ||||||||||||||||||
Минерал | Grt | Grt r | Grt c | Grt | Bt | Bt | Bt | Bt | Spl | Spl | Spl | Spl | Spl | Spl | Spl | Grt | Grt | Grt | Bt | Bt |
Анализ | 5 | 8 | 22 | 34 | 4 | 10 | 11 | 41 | 48 | 49 | 11 | 18 | 20 | 21 | 23 | 1 | 8 | 17 | 11 | 18 |
SiO2 | 38.4 | 39.6 | 38.7 | 38.9 | 37.3 | 35.7 | 36.0 | 35.8 | 0.37 | 0.46 | 1.69 | 1.32 | 1.48 | 0.23 | 0.43 | 38.0 | 38.0 | 38.3 | 38.2 | 37.7 |
TiO2 | – | – | – | – | 0.47 | 3.75 | 4.65 | 5.47 | – | – | – | – | – | – | – | – | – | – | 4.39 | 5.43 |
Al2O3 | 21.9 | 21.3 | 21.4 | 21.1 | 14.3 | 13.8 | 15.0 | 14.9 | 57.8 | 58.5 | 57.1 | 58.3 | 57.8 | 58.9 | 59.8 | 21.6 | 22.0 | 21.4 | 15.1 | 16.6 |
Cr2O3 | – | – | – | – | – | – | – | – | 0.43 | 0.11 | 0.40 | 0.27 | 0.39 | 0.38 | 0.38 | – | – | – | – | – |
FeO* | 28.4 | 28.5 | 27.8 | 29.3 | 6.72 | 9.38 | 10.9 | 12.2 | 20.8 | 21.0 | 19.7 | 20.4 | 20.1 | 19.9 | 20.5 | 31.1 | 30.3 | 32.3 | 10.5 | 14.2 |
MnO | 0.32 | 0.38 | 0.33 | 0.31 | – | – | – | – | 0.15 | 0.09 | 0.06 | 0.03 | – | – | – | 1.21 | 0.90 | 0.94 | – | – |
MgO | 10.2 | 10.4 | 10.4 | 9.71 | 21.3 | 17.2 | 15.9 | 14.8 | 10.5 | 10.2 | 10.1 | 9.52 | 10.0 | 9.64 | 9.71 | 7.40 | 7.62 | 7.06 | 16.7 | 13.6 |
K2O | – | – | – | – | 10.6 | 9.82 | 9.77 | 10.2 | – | – | – | – | – | – | – | – | – | – | 9.98 | 10.0 |
CaO | 0.81 | 0.70 | 0.82 | 0.67 | – | – | – | – | – | – | – | – | – | – | – | 1.29 | 1.24 | 1.14 | – | – |
ZnO | – | – | – | – | – | – | – | – | 8.74 | 10.1 | 9.10 | 8.86 | 10.0 | 8.01 | 8.47 | – | – | – | – | – |
Сумма | 100.03 | 100.88 | 99.45 | 100 | 90.69 | 89.65 | 92.22 | 93.37 | 98.79 | 100.46 | 98.15 | 98.70 | 99.77 | 97.06 | 99.29 | 100.60 | 100.06 | 101.14 | 94.87 | 97.53 |
Коэффициенты в формулах | ||||||||||||||||||||
Si | 2.961 | 3.022 | 2.993 | 3.010 | 2.841 | 2.839 | 2.806 | 2.795 | – | – | – | – | – | – | – | 2.968 | 2.967 | 2.985 | 2.868 | 2.816 |
Ti | – | – | – | – | 0.027 | 0.224 | 0.273 | 0.322 | – | – | – | – | – | – | – | – | – | – | 0.248 | 0.305 |
Al | 1.990 | 1.915 | 1.951 | 1.924 | 1.281 | 1.289 | 1.379 | 1.369 | 1.890 | 1.892 | 1.905 | 1.931 | 1.901 | 1.953 | 1.946 | 1.988 | 2.025 | 1.965 | 1.337 | 1.458 |
Cr | – | – | – | – | – | – | – | – | 0.009 | 0.002 | 0.009 | 0.006 | 0.009 | 0.008 | 0.008 | – | – | – | – | – |
Fe2+ | 1.832 | 1.819 | 1.798 | 1.896 | 0.428 | 0.624 | 0.711 | 0.798 | 0.100 | 0.106 | 0.086 | 0.063 | 0.091 | 0.039 | 0.046 | 2.032 | 1.979 | 2.105 | 0.660 | 0.889 |
Fe3+ | – | – | – | – | – | – | – | – | 0.382 | 0.377 | 0.381 | 0.416 | 0.377 | 0.430 | 0.428 | – | – | – | – | – |
Mn | 0.021 | 0.025 | 0.022 | 0.020 | – | – | – | – | 0.004 | 0.002 | 0.001 | 0.001 | – | – | – | 0.080 | 0.060 | 0.062 | – | – |
Mg | 1.173 | 1.183 | 1.199 | 1.120 | 2.424 | 2.041 | 1.849 | 1.725 | 0.435 | 0.417 | 0.427 | 0.399 | 0.416 | 0.404 | 0.400 | 0.862 | 0.887 | 0.820 | 1.872 | 1.510 |
K | – | – | – | – | 1.034 | 0.996 | 0.972 | 1.021 | – | – | – | – | – | – | – | – | – | – | 0.955 | 0.954 |
Ca | 0.067 | 0.057 | 0.068 | 0.056 | – | – | – | – | – | – | – | – | – | – | – | 0.108 | 0.104 | 0.095 | – | – |
Zn | – | – | – | – | – | – | – | – | 0.179 | 0.204 | 0.190 | 0.184 | 0.207 | 0.166 | 0.173 | – | – | – | – | – |
Сумма | 8.04 | 8.02 | 8.03 | 8.03 | 8.04 | 8.01 | 7.99 | 8.03 | 2.82 | 2.80 | 2.81 | 2.82 | 2.82 | 2.79 | 2.83 | 8.04 | 8.02 | 8.03 | 7.94 | 7.93 |
Примечание. Коэффициенты в формулах рассчитаны на базе 12О (гранат), 11О (биотит), 4О (шпинель), 6О (ортопироксен). FeO* — суммарное железо, прочерк — содержание компонента ниже предела обнаружения, c — центр зерна, r — край зерна.
В образце 861 присутствуют два разных по составу граната, что связано с мигматизацией: в лейкократовой части (поле 2) гранат чуть более магнезиальный (Py29—36Alm57—61Sps1—2Grs4—6), с меньшим содержанием гроссулярового и спессартинового компонентов, чем в матриксе (поле 1) Py27—30Alm59—64Sps2—3Grs6—7 (рис. 4, г).
Рис. 4. Состав минералов из изученных пород.
а — классификационная диаграмма Phl-Ann-Eas-Sid для биотита; б — диаграмма Al2O3–ХMg для ортопироксена, нижняя шкала — содержание энстатитового минала в ортопироксене; в — соотношение XFe–Ti а. ф. (атомов на формулу) для биотита, неокрашенные фигуры — составы биотита во включениях в гранате; г — составы граната на тройной диаграмме Prp–Alm–(Grs+Sps); стрелками показаны направления изменения состава от центра (Ц) к краям (К) зерен.
Fig. 4. Composition of minerals in the studied rocks.
a — Phl-Ann-Eas-Sdph diagram for biotite; б — Al2O3–XMg diagram for orthopyroxene, lower scale is the content of enstatite end member in orthopyroxene; в — relationship between XFe and content of Ti (apfu) in biotite, uncolored figures — compositions of biotite inclusions in garnet; г — composition of garnet on Prp–Alm–(Grs+Sps) diagram, arrows show changes in the composition when passing from core (C) to rim (K) of garnet grains.
Биотит относится к магнезиальной разновидности (Mg# = Mg/(Mg + Fe) 0.64—0.77), с преобладанием в его составе истонитового компонента (табл. 1, рис. 4, а) и содержит примесь титана (TiO2 0—6.7 мас.%). Для биотита из включений в гранате характерен более магнезиальный состав, чем в матриксе, и более низкое содержание TiO2 (рис. 4, в). Исключение — состав биотита из образца 225—2: во включениях в гранате он имеет такое же содержания титана, что и в матриксе (рис. 4, в).
Ортопироксен в образце 861 представлен энстатитом (табл. 1, рис. 4, б). Наблюдается различие в его составе в зависимости от расположения зерен в определенном участке породы (рис. 4, б). Так, зерна ортопироксена, находящиеся рядом с гранатом в лейкократовой мигматизированной части образца (поле 2), более магнезиальные (XMg 0.61—0.63) и с большим содержанием Al2O3 (3.1—4.0 мас.%), чем в более мелкозернистом матриксе (поле 1) (XMg 57—62, Al2O3 2.7—3.4 мас.%).
Состав плагиоклаза однороден и соответствует олигоклаз-андезину, кроме включения плагиоклаза в гранате из обр. 861 — здесь у него более кислый состав (An 31 %), чем в матриксе (An 42—47 %). Также, в обр. 217, присутствует более основной по составу плагиоклаз (An 32 %), подверженный вторичным изменениям; в матриксе состав плагиоклаза составляет An 23—26 %.
Калиевый полевой шпат соответствует ортоклазу с примесью альбитового компонента. В обр. 225—2 максимальное содержание альбитового компонента в зернах с пертитами достигает 18—22 % Ab. Выполненный с помощью электронного микроскопа площадной анализ пертитовых зерен калиевого полевого шпата дает возможность оценить интегральный состав полевого шпата (Or28Ab58An14, Or31Ab56An13).
Шпинель присутствует в образце 861 в виде включений в гранате совместно с включениями кварца. Размер зерен шпинели составляет около 0.3 мм. Шпинель наблюдается и в матриксе, где она также ассоциирует с кварцем и находится в срастании с рутилом. На контакте шпинели с кварцем во включениях в гранате часто встречается плагиоклаз, его состав чуть более основной, чем в матриксе породы. В составе шпинели преобладает шпинелевый минал: Spl40—44Hc33‒41Ghn17—21 (n = 7) (табл. 1), этот минерал содержит примесь цинка (ZnO 8.0—10.1 мас.%), хрома (Cr2O3 0.1—0.4 мас.%) и марганца (MnO 0.0—0.15 мас.%).
Кордиерит в породе пинитизирован, имеет высокую магнезиальность (XMg = 0.83—0.84), содержит включения силлиманита и биотита.
Редкоэлементный состав минералов. В каждом из четырех реперных образцов на ионном зонде были определены содержания редкоземельных и редких элементов в гранате и биотите (табл. 2).
Таблица 2. Содержание малых и редких элементов (ppm) в минералах
Table 2. The content of minor and trace elements (ppm) in minerals
Mинерал | Grt | ||||||||||||||||
№ точки анализа методом SIMS | 217—1 | 217—6 | 217—7 | 217—9 | 217—13 | 217—17 | 861—3 | 861—6 | 861—7 | 861—9 | 861—11 | 861—14 | 861—19 | 861—20 | 39—1—1 | 39—1—6 | 39—1—8 |
№ точки анализа методом SEM-EDS | 6 | 29 | 37 | 43 | 54 | 78 | 26 | 23 | 3 | 12 | 46 | 48 | 75 | 60 | 1 | 8 | 17 |
La | 0.02 | 0.04 | 0.02 | 0.05 | 0.03 | 0.02 | 0.03 | 0.30 | 0.19 | 0.03 | 0.15 | 0.04 | 0.02 | 0.07 | 0.08 | 0.21 | 0.04 |
Ce | 0.20 | 0.13 | 0.11 | 0.25 | 0.08 | 0.05 | 0.08 | 0.52 | 0.47 | 0.13 | 0.45 | 0.17 | 0.08 | 0.19 | 0.16 | 0.63 | 0.12 |
Pr | 0.09 | 0.05 | 0.09 | 0.06 | 0.02 | 0.004 | 0.02 | 0.08 | 0.07 | 0.04 | 0.05 | 0.02 | 0.03 | 0.04 | 0.05 | 0.03 | 0.02 |
Nd | 3.69 | 2.34 | 2.76 | 2.25 | 1.85 | 0.21 | 0.84 | 1.31 | 1.28 | 1.14 | 0.62 | 1.01 | 0.75 | 1.33 | 1.37 | 0.40 | 0.36 |
Sm | 12.5 | 8.87 | 9.75 | 8.42 | 8.87 | 6.54 | 4.54 | 4.18 | 5.57 | 6.30 | 3.39 | 4.16 | 4.25 | 3.37 | 6.24 | 2.87 | 2.94 |
Eu | 0.12 | 0.07 | 0.07 | 0.05 | 0.03 | 0.05 | 0.11 | 0.06 | 0.13 | 0.13 | 0.11 | 0.08 | 0.14 | 0.11 | 0.10 | 0.05 | 0.04 |
Gd | 24.0 | 19.3 | 21.4 | 18.3 | 24.8 | 14.8 | 25.6 | 25.0 | 28.1 | 27.6 | 20.6 | 10.9 | 10.5 | 8.80 | 32.9 | 27.2 | 24.5 |
Dy | 13.5 | 13.6 | 20.4 | 14.6 | 20.6 | 35.0 | 44.7 | 61.4 | 38.5 | 28.1 | 44.9 | 13.9 | 13.2 | 13.8 | 56.8 | 53.0 | 47.3 |
Er | 3.58 | 3.24 | 10.8 | 3.91 | 5.76 | 15.9 | 23.2 | 49.9 | 15.3 | 13.6 | 31.5 | 6.62 | 16.7 | 7.12 | 34.4 | 33.3 | 27.8 |
Yb | 4.01 | 4.26 | 9.42 | 3.68 | 6.15 | 11.4 | 23.0 | 61.2 | 15.5 | 16.5 | 34.5 | 7.52 | 26.1 | 8.76 | 33.0 | 28.9 | 24.6 |
Lu | 1.03 | 0.99 | 1.47 | 1.00 | 1.32 | 2.03 | 3.36 | 8.13 | 2.95 | 3.01 | 5.10 | 1.33 | 3.57 | 1.41 | 5.61 | 4.23 | 3.94 |
Ti | 176 | 193 | 194 | 192 | 143 | 156 | 147 | 149 | 214 | 176 | 106 | 169 | 204 | 210 | 235 | 97.1 | 129 |
V | 189 | 185 | 197 | 175 | 216 | 137 | 241 | 221 | 227 | 195 | 192 | 187 | 216 | 192 | 166 | 141 | 138 |
Cr | 272 | 192 | 277 | 216 | 306 | 154 | 505 | 599 | 228 | 244 | 612 | 413 | 242 | 448 | 177 | 129 | 164 |
Sr | 0.58 | 0.91 | 0.25 | 1.42 | 0.31 | 0.42 | 0.40 | 1.36 | 2.08 | 0.62 | 0.66 | 0.45 | 0.30 | 0.79 | 0.42 | 0.52 | 0.52 |
Y | 47.5 | 45.7 | 123 | 57.8 | 93.5 | 186 | 243 | 432 | 173 | 149 | 268 | 82.0 | 107 | 88.3 | 369 | 346 | 317 |
Zr | 39.9 | 30.1 | 38.9 | 28.9 | 32.1 | 27.5 | 16.1 | 10.9 | 14.6 | 10.5 | 10.4 | 18.4 | 36.6 | 21.8 | 23.1 | 7.17 | 11.1 |
Nb | 0.11 | 0.10 | 0.06 | 0.09 | 0.02 | 0.02 | 0.05 | 0.06 | 0.11 | 0.04 | 0.05 | 0.03 | 0.13 | 0.04 | 0.07 | 0.02 | 0.03 |
Eu/Eu* | 0.01 | 0.01 | 0.005 | 0.004 | 0.002 | 0.01 | 0.01 | 0.01 | 0.01 | 0.01 | 0.01 | 0.01 | 0.02 | 0.02 | 0.01 | 0.01 | 0.004 |
REE | 62.7 | 52.8 | 76.3 | 52.6 | 69.5 | 86.0 | 125.4 | 212.0 | 108.2 | 96.5 | 141.4 | 45.8 | 75.5 | 45.0 | 170.7 | 150.8 | 131.7 |
Таблица 2. Продолжение
минерал | Grt | Bt | |||||||||||||||
№ точки анализа методом SIMS | 225—2—4 | 225—2—5 | 225—2—8 | 225—2—10 | 217—16 | 217—8 | 225—2—1 | 225—2—12 | 225—2—7 | 225—2—6 | 861—15 | 861—16 | 861—18 | 861—1 | 39—1—10 | 39—1—4 | 39—1—5 |
№ точки анализа методом SEM-EDS | 8 | 5 | 34 | 22 | 83 | 40 | 11 | 10 | 41 | 4 | 53 | 54 | 67 | 27 | 18 | 6 | 11 |
La | 0.01 | 0.01 | 0.03 | 0.04 | 0.30 | 0.68 | 0.63 | 0.19 | 0.85 | 0.08 | 2.93 | 1.24 | 0.06 | 1.97 | 2.89 | 9.97 | 6.22 |
Ce | 0.09 | 0.05 | 0.13 | 0.11 | 0.07 | 0.23 | 0.15 | 0.84 | 0.53 | 0.14 | 4.15 | 0.64 | 0.22 | 0.26 | 0.27 | 17.3 | 13.6 |
Pr | 0.04 | 0.02 | 0.07 | 0.01 | 0.01 | 0.01 | 0.01 | 0.03 | 0.02 | 0.03 | 0.48 | 0.09 | 0.01 | 0.03 | 0.02 | 1.77 | 2.10 |
Nd | 2.16 | 1.10 | 2.47 | 0.73 | 0.03 | 0.05 | 0.04 | 0.05 | 0.08 | 0.12 | 2.26 | 0.42 | 0.05 | 0.75 | 0.06 | 7.09 | 10.5 |
Sm | 6.71 | 6.84 | 7.32 | 6.05 | 0.09 | 0.10 | 0.08 | 0.04 | 0.05 | 0.03 | 0.83 | 0.19 | 0.03 | 3.73 | 0.50 | 1.72 | 2.71 |
Eu | 0.29 | 0.23 | 0.29 | 0.20 | n.d. | n.d. | n.d. | n.d. | n.d. | 0.01 | n.d. | n.d. | n.d. | 1.63 | n.d. | 0.18 | 0.61 |
Gd | 15.9 | 14.7 | 16.6 | 11.3 | n.d. | 0.11 | 0.02 | 0.12 | 0.03 | 0.03 | 1.03 | 0.14 | 0.01 | 16.2 | 0.08 | 2.58 | 2.42 |
Dy | 20.9 | 18.7 | 19.5 | 18.4 | 0.15 | 0.30 | 0.15 | 0.02 | 0.09 | 0.04 | 0.78 | 0.27 | 0.02 | 28.4 | 0.36 | 0.91 | 1.25 |
Er | 10.8 | 8.29 | 10.3 | 22.9 | 0.07 | 0.02 | 0.11 | 0.05 | n.d. | 0.04 | 0.25 | 0.44 | n.d. | 16.3 | n.d. | 0.39 | 0.21 |
Yb | 10.1 | 7.19 | 6.93 | 29.1 | 0.05 | 0.12 | 0.06 | 0.01 | 0.05 | 0.02 | 0.11 | 0.17 | 0.02 | 17.0 | 0.11 | 0.13 | 0.13 |
Lu | 1.52 | 1.22 | 1.31 | 4.38 | 0.01 | 0.02 | 0.01 | n.d. | 0.01 | 0.01 | 0.04 | 0.02 | 0.004 | 2.53 | 0.03 | 0.07 | 0.06 |
Ti | 198 | 206 | 238 | 106 | 34905 | 29098 | 27336 | 30294 | 23469 | 2474 | 29079 | 26767 | 8429 | 7864 | 38869 | 28778 | 26357 |
V | 97.4 | 100 | 92.3 | 86.9 | 1512 | 1887 | 779 | 1975 | 667 | 240 | 700 | 1038 | 597 | 569 | 1112 | 1023 | 910 |
Cr | 184 | 152 | 196 | 144 | 416 | 655 | 315 | 386 | 301 | 185 | 420 | 627 | 594 | 747 | 498 | 490 | 264 |
Sr | 0.44 | 0.28 | 0.56 | 0.48 | 4.68 | 9.60 | 5.55 | 5.40 | 5.88 | 1.51 | 28.3 | 26.5 | 2.90 | 5.79 | 5.57 | 12.9 | 5.20 |
Y | 131 | 99.2 | 136 | 156 | 0.09 | 0.15 | 0.06 | 0.14 | 0.13 | 0.14 | 2.35 | 0.36 | 0.07 | 183 | 0.11 | 3.16 | 2.40 |
Zr | 38.1 | 23.1 | 37.3 | 17.1 | 1.51 | 4.42 | 1.15 | 7.53 | 2.92 | 3.20 | 2.68 | 1.80 | 0.83 | 13.9 | 1.15 | 1.84 | 1.66 |
Nb | 0.06 | 0.11 | 0.07 | 0.05 | 6.53 | 1.76 | 38.1 | 32.8 | 26.6 | 1.14 | 11.0 | 12.4 | 12.5 | 6.35 | 112 | 104 | 65.3 |
Eu/Eu* | 0.03 | 0.02 | 0.03 | 0.02 | n.d. | n.d. | n.d. | n.d. | n.d. | 0.41 | n.d. | n.d. | n.d. | 0.21 | n.d. | 0.09 | 0.24 |
REE | 68.5 | 58.3 | 64.9 | 93.2 | 0.79 | 1.63 | 1.28 | 1.35 | 1.69 | 0.53 | 12.9 | 3.62 | 0.43 | 88.8 | 4.31 | 42.1 | 39.8 |
Примечание. n. d. — содержание не определялось.
Геохимия граната в последнее время активно используется для решения разнообразных вопросов петрогенезиса и рудообразования (Godet et al., 2022; Стативко и др. 2023; Abdrakhmanov et al., 2024). Редкоэлементный состав биотита также информативен при решении генетических задач (Cid et al., 2001; Samadi et al., 2021).
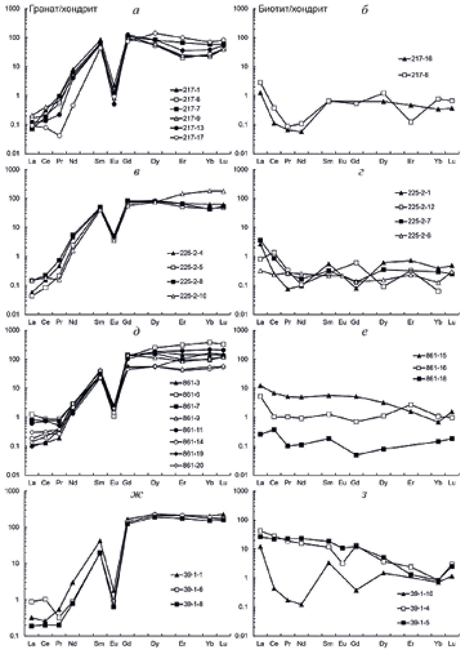
Образец 217. В этом образце гранат был проанализирован в шести зернах. Спектры распределения REE в гранатах (рис. 5, а) близки. Все они обладают четко выраженной отрицательной Eu аномалией (Eu/Eu* в среднем составляет 0.005) и субгоризонтальным характером распределения тяжелых REE, переходящим даже в отрицательный наклон с вогнутым профилем (LuN/GdN отношение варьирует от 0.35 до 1.12, в среднем составляет 0.55). Гранат в точке 17 отличается пониженным содержанием легких REE и повышенным — тяжелых REE. При этом по содержанию главных элементов эта область зерна граната не выделяется. Суммарное содержание REE варьирует от 52.6 до 86.0 ppm, составляя в среднем 66.6 ppm. В целом характер распределения REE в гранате из образца 217 с глубокой Eu аномалией и относительно высоким SmN/GdN отношением (в среднем — 0.60) является типичным для низкокальциевых гранатов гранулитовой фации метаморфизма (Скублов, 2005; Jung, Hellebrand, 2006). Содержание Y в гранате варьирует от 45.7 до 186 ppm (в среднем — 92.3 ppm), положительно коррелируя с содержанием тяжелых REE. На достаточно высоком уровне находится содержание Ti (в среднем — 176 ppm) и Zr (в среднем — 32.9 ppm). Содержание Sr находится на низком уровне (в среднем — 0.65 ppm), что указывает на совместную кристаллизацию граната и плагиоклаза.
Рис. 5. Спектры нормированных по хондриту (McDonough, Sun, 1995) концентраций редкоземельных элементов в гранате и биотите из образцов 217 (а, б), 225—2 (в, г), 861 (д, е) и 39—1 (ж, з).
Fig. 5. Diagrams of chondrite-normalized (McDonough, Sun, 1995) concentrations of rare earth elements in garnet and biotite from samples 217 (a, б), 225—2 (в, г), 861 (д, е), and 39—1 (ж, з).
Биотит был проанализирован в двух точках. Спектры распределения REE для них имеют сходный характер (рис. 5, б), за исключением «провала» по Er в точке 8, являющегося, скорее всего, аналитическим артефактом. Уровень содержания REE находится на субхондритовом уровне (в среднем составляет 1.21 ppm), в области легких REE (Ce–Nd) наблюдается отрицательная аномалия, возможно, связанная с совместной кристаллизацией биотита и минерала-концентратора этих элементов (монацита?) или фракционированием легких REE под воздействием флюидов (Скублов, 2005). Содержание Ti по данным ионного зонда составляет 34905 и 29098 ppm.
Образец 225—2. В этом образце (4 точки) спектры распределения REE в гранате типичны для низкокальциевых гранатов гранулитовой фации (рис. 5, в), и отличаются от таковых для граната из обр. 217 только меньшей амплитудой отрицательной Eu аномалии (Eu/Eu* в среднем составляет 0.03) и более горизонтальным характером спектра в области тяжелых REE. Суммарное содержание REE варьирует от 58.3 до 93.2 ppm, в среднем составляет 71.2 ppm. Содержание Y в гранатах варьирует от 99.2 до 156 ppm (в среднем составляет 130 ppm), положительно коррелируя с содержанием тяжелых REE. Содержание Ti (в среднем составляет 187 ppm) и Zr (в среднем составляет 28.9 ppm) также находится на высоком уровне, а содержание Sr — на низком уровне (в среднем составляет 0.44 ppm).
Распределение REE в биотите имеет различный характер. В трех точках (1, 7 и 12), по сравнению с остальными лантаноидами, заметно преобладают La и Ce, благодаря чему на спектрах наблюдается отрицательная аномалия Pr и Nd (рис. 5, г), также как и для обр. 217. Общий характер спектров REE изломанный. Суммарное содержание REE для этих точек составляет в среднем 1.44 ppm. В точке 6 спектр REE для биотита субгоризонтальный, суммарное содержание REE находится на таком же низком уровне –0.53 ppm. Точка 6 выделяется низким содержанием Ti — 2474 ppm (что подтверждается и по данным метода SEM-EDS). В других трех точках биотита содержание Ti варьирует от 23469 до 30294 ppm, составляя в среднем 27033 ppm. Разницу более чем на порядок нельзя объяснить обычными вариациями состава. Учитывая, что содержание Ti в биотите положительно коррелирует с температурой метаморфизма (Henry et al., 2005; Wu, Chen, 2015), можно утверждать, что состав биотита в точке 6 отражает регрессивную стадию метаморфизма. Помимо Ti, в точке 6 наблюдается понижение содержания V (от 1140 до 240 ppm), Cr (от 334 до 185 ppm), Sr (от 5.61 до 1.51 ppm) и Nb (от 32.5 до 1.13 ppm).
Образец 861. В этом образце в гранате спектры распределения REE распадаются на две группы — с более высоким уровнем содержания легких и тяжелых REE и с более низким уровнем (рис. 5, д). Такое разделение соответствует нахождению зерен граната в определенном участке породы — более низкое содержание REE характерно для зерен граната из мигматизированного участка (точки 14, 19, 20). Суммарное содержание REE составляет 154 ppm для точек 6, 7 и 11, и 77.6 ppm — для остальных точек. При этом характер спектров одинаков для всех точек, особенно по содержанию Eu и амплитуде отрицательной Eu аномалии (Eu/Eu* составляет в среднем 0.01). Тяжелые REE имеют практически горизонтальный характер распределения как для одной группы точек, так и для другой. Содержание Y в гранатах варьирует от 82.0 до 432 ppm (в среднем 193 ppm), положительно коррелируя с содержанием тяжелых REE. Содержание Ti не зависит от уровня содержания REE и составляет в среднем 172 ppm. Содержание Zr варьирует от 10.4 до 36.6 ppm (в среднем составляя 17.4 ppm), содержание Sr находится на низком уровне (в среднем составляя 0.83 ppm).
Редкоэлементный состав биотита в точке 18 (рис. 5, е) отличается пониженным уровнем содержания REE (0.43 ppm). Для этой точки установлено пониженное содержание Ti (8429 ppm), позволяющее отнести минерал к регрессивной стадии метаморфизма, а также Sr (2.90 ppm по сравнению со средним значением 27.4 ppm для точек 15 и 16). В точках 15 и 16 с высоким содержанием Ti (в среднем 27923 ppm) содержание REE заметно выше (в среднем 8.24 ppm), чем в точке 18 с низким содержанием Ti. Кроме того, в этих точках выше содержание V и Sr, чем в точке 18. Отрицательная аномалия в области легких REE практически не проявлена, эта особенность отличает высокотитанистый биотит из образца 861 от других образцов.
Образец 39—1. В этом образце спектры распределения REE для граната подобны друг другу (рис. 5, ж) и гранату из остальных проанализированных образцов. Присутствует четко выраженная отрицательная Eu аномалия (Eu/Eu* в среднем составляет 0.006). Суммарное содержание REE варьирует от 132 до 171 ppm, в среднем составляет 151 ppm. Содержание Y в гранатах варьирует в узком диапазоне от 317 до 369 ppm (в среднем — 344 ppm). Содержание Ti (в среднем — 154 ppm), Zr (13.8 ppm) и Sr (0.49 ppm) тоже соответствует гранату из других образцов.
Спектры распределения REE в биотите распадаются на две группы (рис. 5, з). Биотит (точка 10) с максимальным содержанием Ti 38869 ppm (предположительно относящийся к высокотемпературному этапу метаморфизма) имеет сходный характер распределения REE, как и биотит из образца 217 с близким содержанием Ti, — низкий уровень общего содержания REE (4.31 ppm) и отрицательная аномалия в области легких REE. Два других анализа (точки 4 и 5) с меньшим, но тоже достаточно высоким, содержанием Ti (в среднем — 27568 ppm) отличаются от точки 10 повышенным содержанием легких и средних REE и дифференцированным характером распределения REE с закономерным уменьшением их от легких к тяжелым REE. В области тяжелых REE спектры распределения для всех трех точек уже сближены. В обеих точках 4 и 5 проявлена умеренная отрицательная Eu аномалия (Eu/Eu* составляет 0.09 и 0.24 для точек 4 и 5 соответственно). В них содержание Y (в среднем — 2.78 ppm) выше, чем в точке 10 (0.11 ppm). По содержанию остальных измеренных редких элементов все три точки биотита сопоставимы. Общей чертой является высокое содержание Nb (в среднем 56.4 ppm), которое не наблюдается в биотите из других образцов. Подобное отличие по распределению REE трех точек биотитов друг от друга объяснить трудно, по главным элементам, за исключением TiO2, их составы пересекаются. Возможно, это следствие локального неравновесия и влияния сосуществующих минералов. Биотит в точке 10 равновесен с акцессорным минералом-концентратором легких REE (монацитом), поэтому в нем присутствует отрицательная аномалия в области легких REE. Биотит в точках 4 и 5 мог унаследовать REE от реликтовых минералов с подобным типом фракционирования REE (например, полевых шпатов). Наблюдаемые крайне интересные особенности распределения REE в биотите из образца 39—1 требуют проведения дополнительных специальных исследований.
ТЕРМОБАРОМЕТРИЯ И УСЛОВИЯ МЕТАМОРФИЗМА
Для оценки условий метаморфизма изученных пород использовались методы классической минеральной геотермобарометрии, в том числе и с использованием данных редкоэлементного состава минералов, а также метод мультиравновесной термобарометрии (табл. 3).
Таблица 3. Р–Т параметры метаморфизма гнейсов, полученные с помощью минеральных термобарометров
Table 3. Р–Т parameters of gneisses obtained by using of the mineral geothermobarometry
Образец / Минеральные термометры | Т (°C) | Р (кбар) | ||||||||||||||
Opx-Grt1* | Opx-Grt2 | RCLC | Grt-Crd | Grt-Bt | Ti-Grt | Ti-Qz | Ti-Bt | Grt-Opx | RCLC | Grt-Opx-Pl | Grt-Pl | Grt-Bt-Pl | Grt-Crd (Н2O) | Grt-Crd (СO2) | ||
39—1 | 650—720 | 770—815 | 630—690 | 4.8—7.0 | 4.4—6.3 | |||||||||||
861 поле 1 | Grt c | 695—745 | 750—870 | 800—890 | 815—955 | 785—800 | 5.7—8.6 | 7.7—8.7 | 4.8—5.3 | |||||||
Grt r | 630—690 | 690—830 | 3.6—5.9 | 4.0—5.5 | ||||||||||||
861 поле 2 | Grt c | 670—760 | 730—880 | 800—845 | 600—650 | 865—914 | 790 | 607—640 | 5.3—8.3 | 6.8—7.8 | 3.9—5.7 | 2.3—3.8 | ||||
Grt r | 590—675 | 660—800 | 555—620 | 610—640 | 2.8—5.5 | 4.1—5.1 | 2.0—3.5 | |||||||||
225—2 | Grt c | 635—695** | 800—805 | 610—640 | ||||||||||||
Grt r | 590—690** | 610—670 | ||||||||||||||
217 | Grt c | 650—710 | 640—725** | 760—820 | 640—710 | 6.6—7.1 | 5.0—5.6 | |||||||||
217 | Grt r | 600—650 | 600—715** | 660—715 | 5.8—6.1 | 4.2—4.5 | ||||||||||
Примечание. *Аббревиатуры, использованные для геотермометров: Opx-Grt1 (Harley, 1984a), Opx-Grt2 (Ganguly et al., 1996), RCLC (Pattison et al., 2003), Grt-Bt (Holdaway, 2000), Grt-Crd (Aranovich, Podlesskii, 1989), Ti-Grt (Kawasaki, Motoyoshi, 2016), Ti-Qz (Wark, Watson, 2006), Ti-Bt (Wu, Chen, 2015); геобарометров: Opx-Grt (Harley, 1984b), Grt-Opx-Pl (Eckert et al., 1991), Grt-Pl (Holdaway, 2001), Grt-Bt-Pl (Wu et al., 2004), Grt-Crd (Aranovich, Podlesskii, 1989). ** рассчитано при 5 кбар. c — центр зерна, r — край зерна.
С помощью геотеробарометров, основанных на обменных Fe-Mg реакциях, получены следующие температуры и давления: гранат-кордиеритовый геотермометр (Aranovich, Podlesskii, 1989) показал 600—650 °C для края зерна граната, 650—710 °C для центра зерна граната. Гранат-кордиеритовый барометр (Aranovich, Podlesskii, 1989) дает давление для края зерна граната 4.2—4.5 кбар для H2O-содержащего кордиерита и 5.8—6.1 кбар для CO2-содержащего кордиерита. Этот же барометр для центра зерна граната показал 5.0—5.6 кбар для H2O-содержащего кордиерита и 6.6—7.1 кбар для CO2-содержащего кордиерита. Гранат-ортопироксеновый геотермометр, основанный на Fe-Mg обмене между гранатом и ортопироксеном, показал 670—760 °C для центра граната, 590—690 °C для края граната (Harley, 1984а). Гранат-ортопироксен-плагиоклаз-кварцевый геобарометр определил 4.8—5.7 кбар для центра граната и 4.1—5.1 кбар для края граната (Eckert et al., 1991). Гранат-ортопироксеновый геобарометр (Harley, 1984b) показал для центра граната 5.3—8.6 кбар, для края граната 2.8—5.9 кбар. Гранат-ортопироксеновый геотермометр, основанный на Fe-Mg обмене между гранатом и ортопироксеном и учитывающий вхождение Са компонента в гранат (Ganguly et al., 1996), показал для центра граната 730—880 °C, для края граната 660—830 °C. Геотермометры, основанные на вхождении титана в структуру биотита (Wu, Chen, 2015), дали диапазон температур 610—710 °C. Гранат-биотитовый термометр (Holdaway, 2000) и согласованный с ним гранат-биотит-плагиоклаз-кварцевый геобарометр (Wu et al., 2004) показали 640—725 °C, 5.9—6.3 кбар для центра граната и 560—620 °C, 4.4—5.8 кбар для края граната. Более низкие значения по гранат-биотитовому парагенезису получены для ортопироксенсодержащего гнейса: 610—640 °C и 3—4 кбар. Таким образом во всех образцах мы видим снижение температуры и давления от центра к краю зерен граната. В целом, можно ограничить диапазон образования метаморфических парагенезисов, полученных разными геотермобарометрами, температурой 560—745 °C и давлением 3.0—6.3 кбар. Следует отметить, что в образцах 225—2 и 217 гранат имеет низкокальциевый состав, который не соответствует калибровкам использованных геобарометров, поэтому для расчета температуры использовалось фиксированное значение давления (5 кбар) (табл. 3).
С помощью программы RCLC (Pattison et al., 2003) было показано, что для ассоциации Grt–Opx–Pl–Qz (обр. 861), для поля 1, где значительно меньше биотита и присутствуют более мелкие зерна минералов, оценки пиковых температур и давлений, полученные в предположении, что количество алюминия в позиции М1 равно Al–(2–Si), составляют 855—890 °C, 7.7—8.7 кбар. Те же оценки, полученные в предположении, что XAl(M1) = Al/2, равны 800—830 °C, 7.8—8.2 кбар. Для поля 2 (мигматизированный участок породы, где в большом количестве присутствует биотит в ассоциации с гранатом и ортопироксеном) аналогичные оценки равны 800—815 °C, 7.4—7.8 кбар и 800—845 °C, 6.8—7.8 кбар соответственно.
Для оценки условий кристаллизации граната из обр. 861, ассоциирующего с ортопироксеном, кварцем и рутилом, был использован «Ti-в-гранате» геотермометр (Kawasaki, Motoyoshi, 2016). Для поля 1 содержание Ti в гранате составляет 106—214 ppm, рассчитанная температура — 815—955 °C. Для поля 2 содержание Ti в гранате равно 169—210 ppm, рассчитанная температура — 865—915 °C. Для оценки условий кристаллизации кварца привлекался «Ti-в-кварце» геотермометр (Wark, Watson, 2006). Кварц из включений в гранате характеризуется содержаниями Ti 158—168 ppm. Температура, рассчитанная для этих содержаний равна 805—820 °C. Кварц матрикса содержит меньше титана (109—138 ppm), и кристаллизовался при меньшей температуре (760—790 °C).
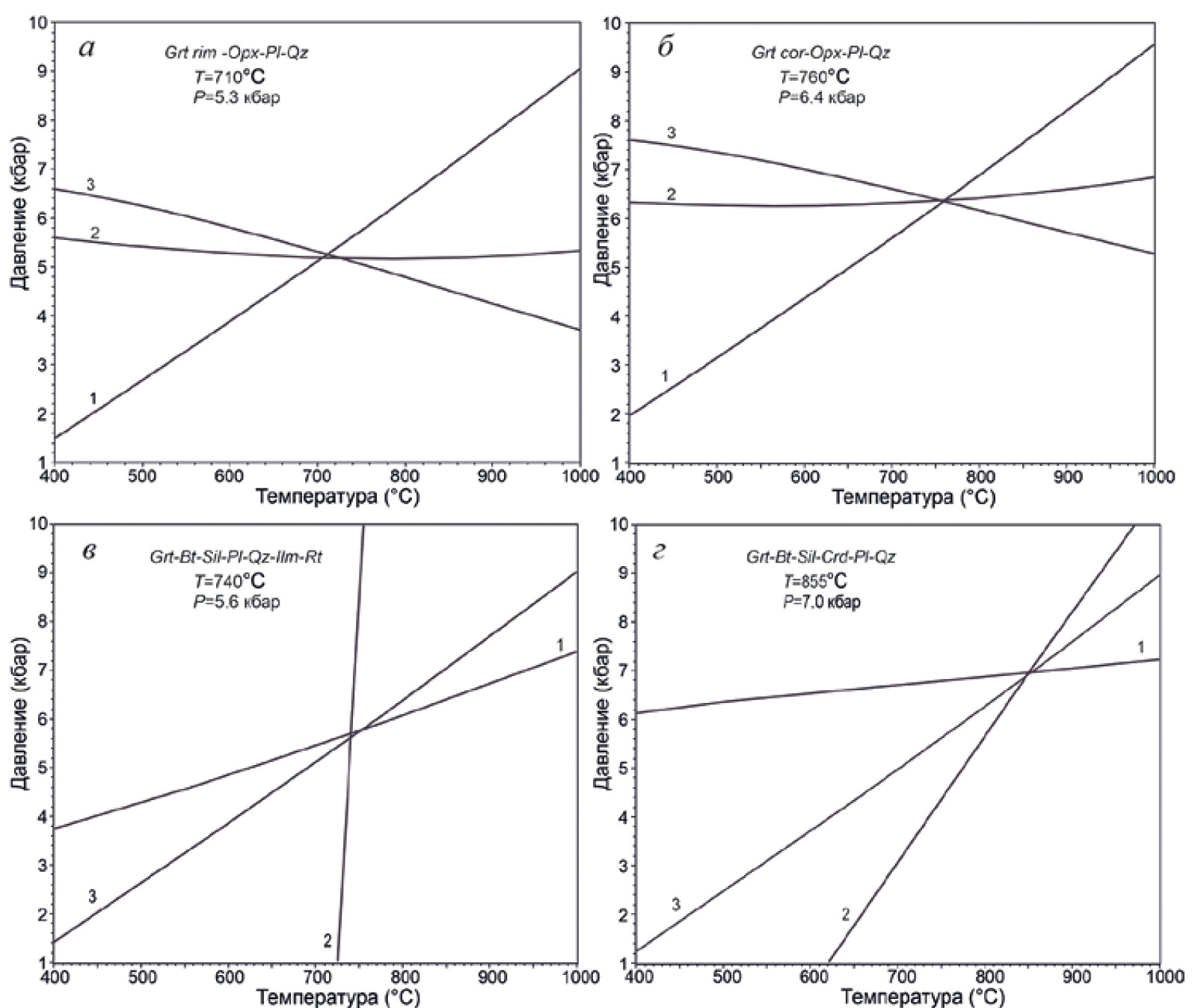
Результаты мультиравновесной термобарометрии, полученные с помощью программы winTWQ (Berman, 1991), представлены на рис. 6. Температуры и давления, рассчитанные по трем независимым реакциям для парагенезиса Grt–Opx–Pl–Qz составляют 760 °C, 6.4 кбар для центральных зон зерен граната (рис. 6, а) и 710 °C, 5.3 кбар для краевых зон зерен граната (рис. 6, б). Температура и давление, рассчитанные по трем независимым реакциям для парагенезиса Grt–Bt–Sil–Qz–Rt–Ilm (обр. 225—2) близки: 740 °C, 5.6 кбар (рис. 6, в). Наиболее высокие параметры получены по парагенезису Crd–Grt–Bt–Sil–Pl–Qz (обр. 217): 820—855 °C, 6.6—7.0 кбар (рис. 6, г).
Рис. 6. Оценки Р–Т параметров метаморфизма, рассчитанные с помощью программы winTWQ (Berman, 1991).
а — мигматизированный Grt-Opx гнейс (обр. 861), равновесие с участием краевой зоны граната, б — та же порода, равновесие с участием центральной зоны граната; в — рассланцованный Sil-Bt-Grt гнейс (обр. 217); г — мигматизированный рассланцованный Sil-Crd-Bt-Grt гнейс (обр. 225—2). Номера реакций: 1) 2Alm+Grs+3Qz=6Fs+3An, 2) Grs+2Prp+3Qz=6En+3An, 3) 3Qz+Grs+2Opx=3An (рис. а); 1) 2Alm+Grs+3Qz=6Fs+3An, 2) Grs+2Prp+3Qz=6En+3An, 3) 3Qz+Grs+2Opx=3An (рис. б); 1) Alm+3Rt=Sil+2Qz+3Ilm, 2) Alm+Phl=Prp+Ann, 3) 2Sil+Qz+Grs=3An (рис. в); 1) 2Prp+5Qz+4Sil=3Crd, 2) 3Qz+Eas+Alm=Ann+Crd, 3) Grs+Qz+2Sil=3An (рис. в).
Fig. 6. P–T parameters of metamorphism estimated with winTWQ (Berman, 1991).
a — migmatized Grt-Opx gneiss (sample 861), equilibrium with the garnet rim, б — the same rock, equilibrium with the garnet core; в — layered Sil-Bt-Grt gneiss (sample 217); г — migmatized layered Sil-Crd-Bt-Grt gneiss (sample 225—2).
ОБСУЖДЕНИЕ РЕЗУЛЬТАТОВ
По петрографическим наблюдениям и по особенностям состава минералов для пород хапчанской серии предполагаются гранулитовые условия метаморфизма. Об этом свидетельствуют: ассоциация высокомагнезиального граната с ортопироксеном, содержащим заметную примесь алюминия, присутствие в породах высокотитанистого биотита, пертитового калиевого полевого шпата, парагенезис шпинели с кварцем во включениях в гранате и матриксе (обр. 861).
Большая часть оценок температуры и давления (табл. 3), полученных с помощью минеральных геотермобарометров, попадает в интервалы 560—860 °C, 3.0—8.6 кбар.
Многие исследователи (Frost, Chacko, 1989; Harley, 1989, 1998; Perkins, 1990, и др.) предлагают с осторожностью использовать данные минеральной термобарометрии для установления пиковых условий высокотемпературного метаморфизма из-за постпикового диффузионного обмена и различающихся температур прекращения диффузии у разных катионов. Особенно это важно для определения температуры и давления при метаморфизме метапелитов в случае, когда Fe-Mg обмен продолжается после прекращения внутрикристаллической диффузии алюминия. Давления, рассчитанные с помощью гранат-ортопироксенового геобарометра, учитывающего активность Al, которая зависит от соотношения Fe/Mg, будут отличаться от давлений, рассчитанных с использованием независимых равновесий. Программа RCLC (Pattison et al., 2003), учитывает это обстоятельство; оценки пиковых условий метаморфизма, полученные с ее помощью для изученных пород, заключены в интервалах 800—890 °C, 6.8—8.7 кбар. Более высокие оценки температуры дает «Ti-в-гранате» геотермометр (Kawasaki, Motoyoshi, 2016): 815—955 °C. Показания «Ti-в-кварце» геотермометра (Wark, Watson, 2006) свидетельствуют о менее высокой температуре (770—820 °C), что может указывает на частичную потерю титана кварцем в процессе диффузии на ретроградной стадии. Эта возможность ограничивает применимость данного геотермометра для оценки пиковой температуры метаморфизма (Kelsey, Hand, 2015).
Возможное переуравновешивание железо-магнезиальных минералов на регрессивной стадии сказывается и на результатах мультиравновестной термобарометрии (рис. 6). Параметры метаморфизма, рассчитанные с помощью программы winTWQ (Berman, 1991) для образца 861, составляют 710—760 °C и 5.3—6.4 кбар, что на 100 °C и 2 кбар ниже, чем температуры и давления, оцененные с помощью Grt-Opx геотермобарометра и программы RCLC. Те же параметры, рассчитанные с помощью программы winTWQ для парагенезисов с кордиеритом, составляют 820—850 °C, 6.6—6.8 кбар, для краевых зон граната в Grt–Bt–Sil–Pl–Qz парагенезисе — 710 °C, 5.2 кбар.
Доказательством того, что минералы переуравновесились в ходе охлаждения, может служить регрессионная зональность в гранате по Fe и Mg, обусловленная внутрикристаллической диффузией. Редкоземельные элементы с пониженными коэффициентами диффузии (Brady, Cherniak, 2010) имеют сходные спектры распределения в центральных и краевых зонах граната. Одновременное присутствие в породах биотита разных генераций (подтверждаемое контрастными спектрами распределения REE) также отражается на результатах минеральной термобарометрии. Используя составы биотитов, мы видим снижение температуры и давления до 560 °C и 3 кбар.
Следует отметить присутствие в изученных породах ассоциации шпинели с кварцем. Шпинель отличается повышенным содержанием ZnO (8.0—10.1 мас.%), что, согласно экспериментам (Shulters, 1989; Nichols, 1992), расширяет поле устойчивого сосуществования двух минералов в области пониженных температур и повышенных давлений, а также стабилизирует шпинель в присутствии биотита (Tajcmanova et al., 2009).
Ранее в пределах Анабарского щита были выделены гранулитовые комплексы с разным режимом метаморфизма. Было показано, что в Анабарском комплексе давление и температура достигали 8—11 кбар и 820—950 °C, в Маганском комплексе — 7—9 кбар и 780—850 °C, в Хапчанском комплексе — 5.5—7.5 кбар и 750—820 °C (Вишневский, 1978). Параметры метаморфизма, оцененные с помощью двупироксенового геотермометра составили 870—930 °C и 10—11 кбар (Aрхей.., 1988), В центральной части Анабарского щита были описаны сапфиринсодержащие гранулиты (Ножкин и др., 2019); протерозойский метаморфизм здесь характеризуется трендом «против часовой стрелки» и пиковыми условиями 920—1000 °C, 9—11 кбар с последующим снижением температуры до 740 °C при незначительном снижении давлении до 9 кбар (Ножкин и др., 2019).
Р–Т условия формирования протерозойских гранулитов Хапчанского блока Анабарского щита, оцененные в настоящей работе, согласуются с данными предшественников, но отличаются от пиковых параметров метаморфизма, установленных для протерозойских гранулитов центральной части Анабарского щита. Показания геотермометров, основанных на распределении примесных элементов в минералах (например, «Ti-в-гранате» геотермометра), свидетельствуют о том, что метаморфизм Хапчанского блока мог быть более высокотемпературным. Этот вопрос заслуживает дальнейшего изучения.
Рис. 7. Сводная Р–Т диаграмма с результатами геотермобарометрии.
Прямоугольниками оконтурены области температур и давлений, рассчитанных с помощью минеральных геотермобарометров [1 — «Ti-в-кварце» геотермометра (Wark, Watson, 2006), 2 — «Ti-в-биотите» геотермометра (Wu, Chen, 2015), 3 — «Ti-в-гранате» геотермометра (Kawasaki, Motoyoshi, 2016)] и программы RCLC (Pattison et al., 2003) (4 — обр. 861: 1 — поле 1, 2 –поле 2), а также объединенные Р–Т параметры разных проб составов минералов (5 — центр зерен, 6 — край зерен). Эллипсами оконтурены области температур и давлений, рассчитанных с помощью программы winTWQ (Berman, 1991) (7 — парагенезис Grt–Bt–Sil–Crd–Pl–Qz (обр. 225—2), 8 — парагенезис Grt–Opx–Pl–Qz (обр. 861), 9 — парагенезис Grt–Bt–Sil–Pl–Qz (обр. 217); ц — центр граната, к — край граната). широкой серой стрелкой показан регрессивный тренд.
Fig. 7. A generalized P–T diagram with results of mineral thermobarometry.
ВЫВОДЫ
Пиковые условия гранулитового метаморфизма, установленные с помощью программы winTWQ (820—850 °C, 6.6—7.0 кбар), затушеваны последующими регрессивными преобразованиями и переуравновешиванием железо-магнезиальных минералов при охлаждении пород. Результатом синхронного снижения температуры и давления стали более низкие параметры метаморфизма (710 °C и 5.2 кбар). Поздняя генерация биотита, образованная на регрессивной стадии, образовалась при 560 °C и 3 кбар.
Понижение температуры метаморфизма на ретроградной стадии коррелирует с уменьшением содержаний Ti, Sr и редкоземельных элементов в биотите. Редкоэлементный состав гранатов с четко выраженной отрицательной Eu аномалией и высоким SmN/GdN отношением типичен для низкокальциевых гранатов гранулитовой фации.
Благодарности. Авторы благодарят О. Л. Галанкину (ИГГД РАН), Е. В. Потапова и С. Г. Симакина (ЯФ ФТИ РАН) за помощь в аналитических исследованиях минералов, а также рецензентов за улучшение рукописи.
Источник финансирования. Исследование выполнено за счет гранта Российского научного фонда № 23-27-00098, https://rscf.ru/project/23-27-00098/.
1 Сокращенные названия минералов даны по (Warr, 2021).
About the authors
A. V. Yurchenko
Institute of Precambrian Geology and Geochronology RAS
Author for correspondence.
Email: yurchenko-nastya@yandex.ru
Д. чл.
Russian Federation, Saint PetersburgS. G. Skublov
Institute of Precambrian Geology and Geochronology RAS; Saint Petersburg Mining University
Email: skublov@yandex.ru
д. чл.
Russian Federation, Saint Petersburg; Saint PetersburgN. I. Gusev
Karpinsky Russian Geological Research Institute
Email: nikolay_gusev@karpinskyinstitute.ru
Russian Federation, Saint Petersburg
L. Yu. Romanova
Karpinsky Russian Geological Research Institute
Email: yurchenko-nastya@yandex.ru
Russian Federation, Saint Petersburg
References
- Abdrakhmanov I. A., Gulbin Yu. L., Gembitskaya I. M. Fe–Mg–Al–Ti–Zn oxide assemblage in granulites of the Bunger Hills, East Antarctica: evidence of ultrahigh-temperature metamorphism. Zapiski RMO (Proc. Russian Miner. Soc.). 2021. Vol. 150. N4. P. 38—76 (in Russian, English translation: Geol. Ore Deposits. 2022. Vol. 64. N 8. P. 519—549).
- Abdrakhmanov I. A., Gulbin Yu. L., Skublov S. G., Galankina O. L. Mineralogical constraints on the pressure–temperature evolution of granulites in the Bunger Hills, East Antarctica. Minerals. 2024. Vol. 14 (5). Paper 488. https://doi.org/10.3390/min14050488
- Aranovich L. Ya., Podlesskii K. K. Geothermobarometry of high-grade metapelites: simultaneously operating reactions. Geol. Soc. London. Spec. Publ. 1989. Vol. 43. P. 45—61.
- Archaea of the Anabar Shield and Problems of Earth Evolution. Moscow: Nauka, 1988. 253 р. (in Russian).
- Berman R. G. Thermobarometry using multiequilibrium calculations: a new technique with petrologic applications. Canad. Miner. 1991. Vol. 32. P. 833—855.
- Berman R. G., Aranovich L. Y. Optimized standard state and solution properties of minerals: 1. Model calibration for olivine, orthopyroxene, cordierite, garnet, and ilmenite in the system FeO–MgO–CaO––—. Contrib. Miner. Petrol. 1996. Vol. 126. P. 1—24.
- Berman R. G., Aranovich L. Ya., Rancourt D. G., Mercier D. G. Reversed phase equilibrium constraints on the stability of Mg-Fe-Al biotite. Amer. Miner. 2007. Vol. 92. P. 139—150.
- Brady J. B., Cherniak D. J. Diffusion in minerals: an overview of published experimental diffusion data. Rev. Miner. Geochem. 2010. Vol. 72. P. 899—920.
- Cid J. P., Nardi L. V. S., Conceicao H., Bonin B. Anorogenic alkaline granites from northeastern Brazil: major, trace, and rare earth elements in magmatic and metamorphic biotite and Na-mafic minerals. J. Asian Earth Sci. 2001. Vol. 19. P. 375—397.
- Clark C., Taylor R. J. M., Johnson T. E., Harley S. L., Fitzsimons I. C. W., Oliver L. Testing the fidelity of thermometers at ultrahigh temperatures. J. Metamorph. Geol. 2019. Vol. 37. P. 917—934.
- Condie K. C., Wilks M., Rosen D. M., Zlobin V. L. Geochemistry of metasediments from the Precambrian Hapschan Series, eastern Anabar Shield, Siberia. Precambrian Res. 1991. Vol. 50. P. 37—47.
- Donskaya T. V. Assembly of the Siberian craton: Constraints from Paleoproterozoic granitoids. Precambrian Res. 2020. Vol. 348. 105869.
- Eckert J. O. Jr., Newton R. C., Kleppa O. J. The ΔH of reaction and recalibration of garnet-pyroxene-plagioclase-quartz geobarometers in the CMAS system by solution calorimetry. Amer. Miner. 1991. Vol. 76. P. 148—160.
- Ganguly J., Cheng W., Tirone M. Thermodynamics of aluminosilicate garnet solid solution: new experimental data, an optimized model, and thermometric applications. Contrib. Miner. Petrol. 1996. Vol. 126 (1—2). P. 137—151.
- Godet A., Raimondo T., Guilmette C. Atoll garnet: insights from LA-ICP-MS trace element mapping. Contrib. Mineral. Petrol. 2022. V. 177 (57). P. 1—15.
- Griffin W. L., Ryan C. G., Kaminsky F. V., O’Reilly S.Y., Natapov L. M., Win T. T., Kinny P. D., Ilupin I. P. The Siberian lithosphere traverse, mantle terranes and the assemble of the Siberian craton. Tectonophysics. 1999. Vol. 310. P. 1—35.
- Gulbin Yu. L., Abdrakhmanov I. A., Gembitskaya I. M., Vasiliev E. A. Oriented micro-inclusions of Al–Fe–Mg–Ti oxides in quartz from metapelitic granulites of the Bunger Hills, East Antarctica. Zapiski RMO (Proc. Russian Miner. Soc.). 2022. Vol. 151. N 4. P. 1—17 (in Russian, English translation: Geol. Ore Deposits. 2023. Vol. 65. N 7. P. 656—668).
- Gusev N. I. Anabar Shield of the Siberian Craton. Material composition, geochemistry, geochronology. Germany: LAP LAMBERT Academic Publishing, 2013. 181 р. (in Russian).
- Gusev N. I., Sergeeva L. Yu., Skublov S. G. Evidence of subduction of the Paleoproterozoic oceanic crust in the Khapchan belt of the Anabar Shield of the Siberian Craton. Petrology. 2021. Vol. 29. Р. 95—113.
- Harley S. L. An experimental study of the partitioning of Fe and Mg between garnet and orthopyroxene. Contrib. Miner. Petrol. 1984a. Vol. 86. P. 359—373.
- Harley S. L. The solubility of alumina in orthopyroxene coexisting with garnet in FeO-MgO–– and CaO–FeO–MgO––. J. Petrol. 1984b. Vol. 25. P. 665—696.
- Harley S. L. On the occurrence and characterization of ultrahigh-temperature crustal metamorphism. Geol. Soc. London. Spec. Publ. 1998. Vol. 138. P. 81—107.
- Henry D. J., Guidotti C. V., Thomson J. A. The Ti-saturation surface for low-to-medium pressure metapelitic biotites: implications for geothermometry and Ti-substitution mechanisms. Amer. Miner. 2005. Vol. 90. P. 316—328.
- Holdaway M. J. Application of new experimental and garnet Margules data to the garnet-biotite geothermometer. Amer. Miner. 2000. Vol. 85. P. 881—892.
- Holdaway M. J. Recalibration of the GASP geobarometer in light of recent garnet and plagioclase activity models and versions of the garnet-biotite geothermometer. Amer. Miner. 2001. Vol. 86. P. 1117—1129.
- Jung S., Hellebrand E. Trace element fractionation during high-grade metamorphism and crustal melting — constraints from ion microprobe data of metapelitic, migmatitic and igneous garnets and implications for Sm–Nd garnet chronology. Lithos. 2006. Vol. 87. P. 193—213.
- Kawasaki T., Motoyoshi Yo. Ti-in-garnet thermometer for ultrahigh-temperature granulites. J. Miner. Petrol. Sci. 2016. Vol. 111. P. 226—240.
- Lutz B. G., Kopaneva L. N. Pyrope-sapphirine rock of the Anabar Massif and conditions of its metamorphism. Doklady Acad. Sci. USSR. 1968. Vol. 179(5). Р. 1200—1202 (in Russian).
- McDonough W. F., Sun S.-S. The composition of the Earth. Chem. Geol. 1995. Vol. 120. P. 223—253.
- Nichols G. T., Berry R. F., Green D. H. Internally consistent gahnitic spinel-cordierite-garnet equilibira in the FMASHZn system: geothermobarometry and application. Contrib. Miner. Petrol. 1992. Vol. 111. P. 362—377.
- Nozhkin A. D., Likhanov I. I., Savko K. A., Krylov A. A., Serov P. A. Sapphirine-bearing granulites of the Anabar Shield. Geochem. Int. 2019. Vol. 57. Р. 524—539.
- Nozhkin A. D., Turkina O. M., Salnikova E. B., Likhanova I. I., Savko K. A. Charnokites of the central part of the Anabar Shield: distribution, petrochemical composition, age and formation conditions. Geochem. Int. 2022. Vol. 60. Р. 711—723.
- Pattison D. R. M, Chacko T., Farquhar J., McFarlane C. R. M. Temperatures of granulite facies metamorphism: constraints from experimental phase equilibria and thermobarometry corrected for retrograde exchange. J. Petrol. 2003. Vol. 44. P. 867—900.
- Perkins D. Thermometry and barometry of mafic granulites based on garnet-clinopyroxene-plagioclase-quartz assemblages. In: Granulites and Crustal Evolution. Kluwer Academic: Dordrecht, 1990. P. 435—450.
- Rosen O. M. Siberian craton: tectonic zoning stages of evolution. Geotectonics. 2003. Vol. 37 (3). Р. 157—192.
- Rosen O. M., Condie K. C., Natapov L. M., Nozhkin A. D. Archean and Early Proterozoic evolution of the Siberian Craton: a preliminary assessment. In: Archean Crustal Evolution. Amsterdam: Elsevier, 1994. P. 411—459.
- Rosen O. M., Turkina O. M. The oldest rock assemblages of the Siberian Craton. In: Precambrian ophiolites and related rocks. Development in Precambrian Geology. 2007. Vol. 15. P. 793—842.
- Rozen O. M., Manakov A. V., Zinchuk N. N. Siberian Craton: Formation and Diamond Content. Moscow: Nauchny Mir, 2006. 212 р. (in Russian).
- Samadi R., Torabi G., Kawabata H., Miller N. R. Biotite as a petrogenetic discriminator: chemical insights from igneous, meta-igneous and meta-sedimentary rocks in Iran. Lithos. 2021. Vol. 386. 106016.
- Shulters J. C., Bohlen S. R. The stability of hercynite and hercynite-gahnite spinels in corundum- or quartz-bearing assemblages. J. Petrol. 1989. Vol. 30. P. 1017—1031.
- Skublov S. G. Geochemistry of rare earth elements in rock-forming metamorphic minerals. Saint Petersburg: Nauka, 147 р. (in Russian).
- Stativko V. S., Skublov S. G., Smolenskiy V. V., Kuznetsov A. B. Trace and rare-earth elements in garnets from silicate-carbonate formations of the Kusa-Kopan complex (Southern Urals). Lithosphere. 2023. Vol. 23(2). Р. 225—246 (in Russian).
- Tajcmanova L., Konopasek J., Košler J. Distribution of zinc and its role in the stabilization of spinel in high-grade felsic rocks of the Moldanubian domain (Bohemian Massif). Eur. J. Miner. 2009. Vol. 21. P. 407—418.
- The structure of the Earth’s crust of the Anabar Shield. Ed. V. M. Moralev. Moscow: Nauka, 1986. 198 p. (in Russian).
- Vishnevskii A. N. Metamorphic complexes of the Anabar crystalline shield. Vol. 184. Leningrad: Nedra, 1978. 216 р. (in Russian).
- Wark D. A., Watson E. B. TitaniQ: a titanium-in-quartz geothermometer. Contrib. Miner. Petrol. 2006. Vol. 152. P. 743—754.
- Warr L. N. IMA–CNMNC approved mineral symbols. Miner. Mag. 2021. Vol. 85. P. 291—320.
- Wu C.-M., Chen H.-X. Revised Ti-in-biotite geothermometer for ilmenite- or rutile-bearing crustal metapelites. Sci. Bull. 2015. Vol. 60. P. 116—121.
- Wu C.-M., Zhang J., Ren L.-D. Empirical garnet-biotite-plagioclase-quartz (GBPQ) geobarometry in medium- to high-grade metapelites. J. Petrol. 2004. Vol. 45. P. 1907—1921.
- Zlobin V. L., Rosen O. M., Abbyasov A. A. Two metasedimentary basins of the Early Precambrian granulites of the Anabar Shield (Polar Siberia): normative mineral compositions calculated by the MINLITH program and basin facies interpretations. In: International Association of Sedimentologists Special Publication 33. Fluvial Sedimentology VII. 2002. Р. 275—291.
Supplementary files










