Mathematical modeling of the excessive 234U formation in groundwater
- Authors: Tokarev I.V.1
-
Affiliations:
- Science Park, St. Petersburg State University
- Issue: No 1 (2024)
- Pages: 13-22
- Section: MODELS IN ENGINEERING GEOLOGY AND HYDROGEOLOGY
- URL: https://journal-vniispk.ru/0869-7809/article/view/260036
- DOI: https://doi.org/10.31857/S0869780924010023
- EDN: https://elibrary.ru/GOXBFD
- ID: 260036
Cite item
Full Text
Abstract
Excess of uranium-234 in natural water (ratio 234U/234U > 1 in comparison to the equilibrium value as 1 by activity) correlates with global climate variations, increasing during warm and decreasing during cold periods. The hurricane disequilibrium of 234U/234U >> 10 are found in groundwater. Based on mathematical models, it is shown that such anomalies are the result of a geologically long stay of aquifers in a frozen state in the past and the subsequent melting of ground ice with the formation of “revived” water. Non-freezing film moisture present in permafrost rocks make a decisive contribution to the formation of hurricane 234U excess.
Full Text
ВВЕДЕНИЕ
Голоценовое потепление ведет к деградации евразийского пятна мерзлоты [8]. Уменьшение площади, занятой многолетнемерзлыми горными породами (ММГП), будет продолжаться в будущем, даже при сохранении нынешних климатических параметров неизменными [30]. Количественные характеристики процесса таяния ММГП в региональном плане оценены плохо, хотя они чрезвычайно важны, как для фундаментальных исследований, например, построения климатических моделей, так и для прикладных работ, в частности, для прогноза условий хозяйствования в арктическом и субарктическом регионах.
Равновесное отношение дочернего и родительского изотопов в ряду урана-238 равно 234U/238U = 1 (по активностям) и пренебрежимо мало отличается от равновесного для пород, имеющих возраст более 1 млн лет. Однако в среднем для Мирового океана 234U/238U = 1.14 ± 0.01 (за исключением окраинных морей), что является хорошей текущей усредняющей оценкой для гидросферы в целом, так как время жизни урана в морской воде составляет порядка n × 105 лет, а основным его источником в океане является сток с континентов [6, 25, 31, 35, 38]. Подземные воды, определяющие поступление урана в речной сток, как правило, обогащены 234U вплоть до 234U/238U ~ 3 [5, 13, 18, 19, 21, 39, 41]. В арктических и субарктических регионах периодически отмечаются ураганные избытки урана-234 в подземных водах, когда отношение 234U/238U > 10 и достигает в отдельных случаях величин 234U/238U ~ 50–120 [10, 13, 15, 16, 23, 26, 31, 45].
В работах автора [15, 16, 42, 43] на базе фактических данных показано, что изотопное отношение 234U/238U в природных водах коррелирует с глобальными климатическими вариациями. При этом избытки урана-234 над равновесным отношением 234U/238U = 1 возрастают в теплые и уменьшаются в холодные климатические периоды. Влияние становления и таяния мерзлоты на отношение 234U/238U обсуждалось также в [3, 40]. Отсюда следует, что диагностика наличия мерзлоты в прошлом может быть выполнена на основании изотопного отношения 234U/238U. В комплексе датированием и с данными об изотопном составе воды (содержаниях дейтерия и кислорода-18) этот трассер позволяет получить в региональных масштабах количественные оценки темпов деградации ММГП [14].
В настоящей работе на модельном уровне обосновывается механизм формирования ураганных избытков урана-234 за счет выщелачивания из вмещающих пород и зависимость величины избытков урана-234 в подземных водах от наличия мерзлоты в прошлом и ее таяния под действием потепления.
2. КОНЦЕПТУАЛЬНЫЕ МОДЕЛИ ПОЯВЛЕНИЯ ИЗБЫТКОВ УРАНА-234 В ПОДЗЕМНЫХ ВОДАХ
Общепринято, что избыточное, по сравнению с равновесным, обогащение подземных вод ураном-234 может быть обусловлено двумя типами процессов.
Первый тип. Радиокинетическое разделение родительского и дочернего изотопов при выщелачивании урана из пород [19, 21, 26], включая:
а) локальное разрушение кристаллической решетки минералов α-частицами и ядрами отдачи при распаде урана-238, а также появление микротрещин и дислокаций в минералах, обусловленное другими физико-химическими процессами;
б) преимущественная мобилизация урана-234, находящегося в степени окисления +6 (водорастворимая форма), в отличие от урана-238, имеющего степень окисления +4 (нерастворимая форма) в кристаллической решетке большинства рудных и акцессорных минералов.
Второй тип. Прямое поступление ядер отдачи 234Th из минеральной матрицы в воду, их осаждением на поверхность минералов вследствие малой растворимости тория и последующим распадом 234Th → 234U [32, 33, 35].
Обогащение подземных вод ураном-234 по описанным выше механизмам в дальнейшем будем называть одностадийной моделью радиокинетического разделения изотопов урана. Концептуальная схема обогащения подземных вод ураном-234 в рамках одностадийной модели приведена на (рис. 1).
Рис. 1. Концептуальная схема обогащения подземных вод ураном‑234 в рамках одностадийной модели радиокинетического разделения [19, 21, 36].
Расчеты для модели прямого выхода ядер отдачи 234Th из минеральной матрицы показывают, что появление существенных избытков урана-234 (234U/238U > 5) возможно только для мелкодисперсных минеральных индивидов с удельной поверхностью S > 104 см2/см3 [22]. В то время, как в большинстве случаев в природных материалах водоносных горизонтов этот параметр редко превышает величину S = 500 см2/см3 [37].
Приведенные оценки поддерживаются моделью [24, 29], представленной на рис. 2, из которого видно, что время, необходимое для формирования отношений 234U/238U > 10, составляет не менее нескольких сотен лет. Между тем отмечается накопление урана-234 уже в хвостах переработки урановых руд, относительно исходного материала [11, 12, 21], а также в выщелатах из урановых минералов и ураноносных пород [19].
Рис. 2. Изменение отношения 234U/238U (кривая 1, шкала слева) и время установления радиоактивного равновесия в поровой воде (кривая 2, шкала справа) в зависимости от размера элементарного зерна при концентрациях урана в матрице [U]MATR = 3 мкг/г, [U]PORE = 3 нг/г и длине трека отдачи 234Th / = 55 нм (адаптировано из [24] и рассчитано по модели [29]).
В естественных условиях механизм формирования избытков урана-234 за счет прямого выброса ядер отдачи за границы зерна, по-видимому, работает в случае высоких содержани й урана в мелкоразмерных акцессориях и интерстициях. При существовании 238U в виде изоморфной примеси в субмиллиметровых и более крупных минеральных зернах избыточные количества урана-234 в поровой воде за счет ядер отдачи накапливаться не могут. Кроме того, наличие водообмена в поровой среде приводит к тому, что текущее отношение 234U/238U, рассчитанное по модели [29] и определяемое динамическим равновесием между скоростью потока жидкости и скоростью выхода ядер отдачи, будет сдвигаться в сторону равновесных значений 234U/238U, то есть может быть реализовано только в мощных региональных водоупорах. Поэтому этот вариант одностадийной модели в данной статье далее рассматриваться не будет.
В. А. Поляков [10] выдвинул идею объяснения сверхвысоких обогащений 234U нахождением пород в мерзлом состоянии в течение геологически значимого периода времени. В период промерзания пород из-за перехода воды в лед происходит накопление урана-234 в минеральной матрице, как нормального члена радиоактивной цепочки, а затем он быстро теряется при появлении жидкой воды. Возможность влияния замерзания воды на процесс выщелачивания урана-234 за счет появления дополнительных нарушений в кристаллической решетке минералов допускалась также в [20]. Эта модель, включающая этап накопления урана-234 с последующей его быстрой экстракцией из пород, далее будет называться двухстадийной. В данной работе на базе количественных математических моделей автором развивается идея Полякова В. А.
Как будет показано далее, принципиальным для корректного описания условий формирования ураганных избытков урана-234 в подземных водах с формированием отношений 234U/238U > 10 является выдвинутое автором предположение [17] о решающей роли наличия пленочной незамерзающей влаги в ММГП, существование которой в ММГП доказано большим количеством экспериментов [4, 9].
МАТЕМАТИЧЕСКОЕ МОДЕЛИРОВАНИЕ ФОРМИРОВАНИЯ ИЗБЫТКОВ 234U В ПОДЗЕМНЫХ ВОДАХ
Оценка диффузионных параметров
Оценим разницу в диффузионной подвижности 238U (минеральная матрица) и 234U (α-треки) по данным травления α-треков. Форма и длина треков определяется энергией α-частиц, плотностью упаковки кристаллической матрицы, а также близостью трека к ближайшей свободной грани и ориентацией относительно нее, составляя от 2–5 мкм в цирконах до 10–15 мкм в апатите и слюдах [27]. В ходе травления растворение минеральной матрицы и материала треков идет с различной скоростью, из-за чего возникают визуально видимые пустоты. Важным для дальнейшей оценки является то, что “перетравленные” или “недотравленные” треки имеют изометричную форму [27].
Моделирование выполнялось на программном комплексе MtWolf, включающем блоки моделирования фильтрации и массопереноса (автор программы — В. А. Румянцев, Санкт-Петербургское отделение Института геоэкологии РАН), а также на пакете Procecing ModFlow, ver. 10). Математическая модель травления трека строилась, исходя из предположения, что разница в скоростях растворения материала α-трека и ненарушенной матрицы определяется только различиями в коэффициентах диффузии. Коэффициент диффузии 238U в кристаллической матрице для акцессорных минералов типа циркона, являющихся “концентраторами” урана в породах вне рудных месторождений урана, составляет D238 ≈ n × 10(–18…–20) см2/год [1]. В минералах с менее плотной упаковкой коэффициент диффузии урана выше, например, для железо-марганцевых конкреций D238 ~ 5 × 10–8–10–6 см2/год [28].
На однослойной модели с равномерной разбивкой 150×150 и размером блоков 0.1×0.1 мкм область разрушения кристаллической решетки (α-трек) задавалась прямоугольником длиной 10 мкм и поперечником 1 мкм. Травление рассчитывалось для коэффициентов диффузии DМАТРИЦА = 10–10 см2/сут и DТРЕК = 10(–6…–9) см2/сут. При DТРЕК/DМАТРИЦА < 100 выраженные треки не возникают, и все полости имеют изометричные очертания (рис. 3).
Рис. 3. Формы и размеры полостей, возникающих на месте трека α-частицы при травлении. Трек расположен: а — по нормали к ближайшей грани, б — под 45° к ближайшей грани. Цифры около кривых — продолжительность травления. Расчетная сетка не показана для удобства визуализации.
Травление моделировалось для различных соотношений коэффициента молекулярной диффузии в материале трека и кристаллической матрице (величины показаны на рис. 3). Начальная длина и поперечник разрушенной α-частицей области — 10 мкм и 1 мкм, соответственно; размер элементарного расчетного блока 0.1 × 0.1 мкм. При DТРЕК/DМАТРИЦА > 1000, наоборот, невозможно получить изометрические структуры (невозможно воспроизвести эффект “перетравливания”). Поэтому примем, что, в среднем, D234/D238 ≈ 500. Откуда коэффициент молекулярной диффузии в материале трека D234 ≈ 5 × 10–8 см2/сут.
Расчет выноса урана-234 из кристаллической матрицы в динамических условиях
Моделирование выполнялось методом Монте-Карло (автор программы В. Э. Асминг, КНЦ РАН, г. Апатиты). Реализована однослойная модель 1000×1000 расчетных блоков размером 1×1×1 мкм (рис. 4). Модель минерального зерна включала следующие области:
1) индивидуальное кристаллическое зерно, содержащее α-треки;
2) микронарушения (межзерновые контакты минеральных индивидов, жидкие включения, микротрещины и т. п.);
3) поры с гравитационной водой или льдом.
Рис. 4. Фрагмент сеточной модели зерна для расчетов методом Монте-Карло: слева — вариант “матрица + треки”, справа — вариант “матрица + треки + микронарушения”. 1 — поры, содержащие гравитационную воду или лед; 2 — минеральная матрица (гидравлически непроницаема k = 10–10 м/сут); 3 — треки; 4 — микронарушения (контакты минеральных индивидов, газово-жидкие включения, микротрещины и т. п.); 5 — границы первого рода (HВХ = const, HВЫХ = const и C0 = 0); 6 — направление движения гравитационной воды по порам. Расчетная сетка не показана для удобства визуализации.
При наличии жидкой воды поток по порам принимался стационарным, движение вещества в макропорах осуществлялось за счет адвективного переноса, при условии пренебрежения дисперсионным рассеянием. Зерно принималось гидравлически непроницаемым, движение вещества в нем осуществлялось только за счет диффузии при DМАТРИЦА ≈ n × 10(–18…–20) см2/год и соотношениях DТРЕК/DМАТРИЦА = 100, 300, 1000, 3000, а также DМИКРОНАРУШЕНИЕ/DТРЕК = 10 и 100 [44].
В треках и кристаллической матрице начальные концентрации изотопов U (количество частиц и их веса) задавались таким образом, чтобы в целом для зерна соблюдалось атомное отношение 234U/238U = 5.5 × 10–5 (или 234U/238U = 1 по активностям). Начальная концентрация изотопов урана на входе воды в поровое пространство C0 = 0. Количество треков составляло 300, 1000 и 3000 штук на модель (при средней длине трека 10 мкм, что соответствует плотности 0.0012–0.012 мкм/мкм2). Начальная концентрация U в гравитационной воде и пленочной влаге (микронарушения и поверхность зерна) равнялась нулю. Образование 234U и убыль 238U за расчетный период учитывалось, но новые α-треки не генерировались. Пористость (пустотность) в треках и льду принималась равной n = 10–6, в гравитационной воде n = 1, в пленочной влаге (микронарушения и поверхность зерна) n = 0.8. Соотношение между гравитационной и пленочной влагой по объему 50 : 1. Модель решалась в стационарной по гидравлическим условиям постановке. Выделением и поглощением тепла и изменением объема жидкости при фазовых переходах жидкость ↔ лед пренебрегали.
Рассмотрим несколько основных реализованных вариантов модели.
Вариант 1. Одностадийная модель Чердынцева-Чалова с постоянным потоком воды.
Вариант 2. Двухстадийная модель с двумя периодами по гидравлическим условиям и подвариантами по длительности каждого из них:
2.1) отсутствие потока воды — мерзлотные условия и накопление 234U, время — 10(3–5) лет;
2.2) наличие потока воды — таяние мерзлоты и вынос 234U, время — 10(0–4) лет.
Использовано два подварианта условий по отношению к пленочной влаге.
Вариант 1. Отсутствие пленочной влаги в микронарушениях и на поверхности зерна для всего времени моделирования.
Вариант 2. Наличие пленочной влаги в микронарушениях для всего времени моделирования, а также на поверхности зерна в период существования ММГП.
3.2.1. Проверка одностадийной модели. Типичные выходные кривые для 234U/238U в поровой воде для одностадийной модели Чердынцева-Чалова представлены на рис. 5.
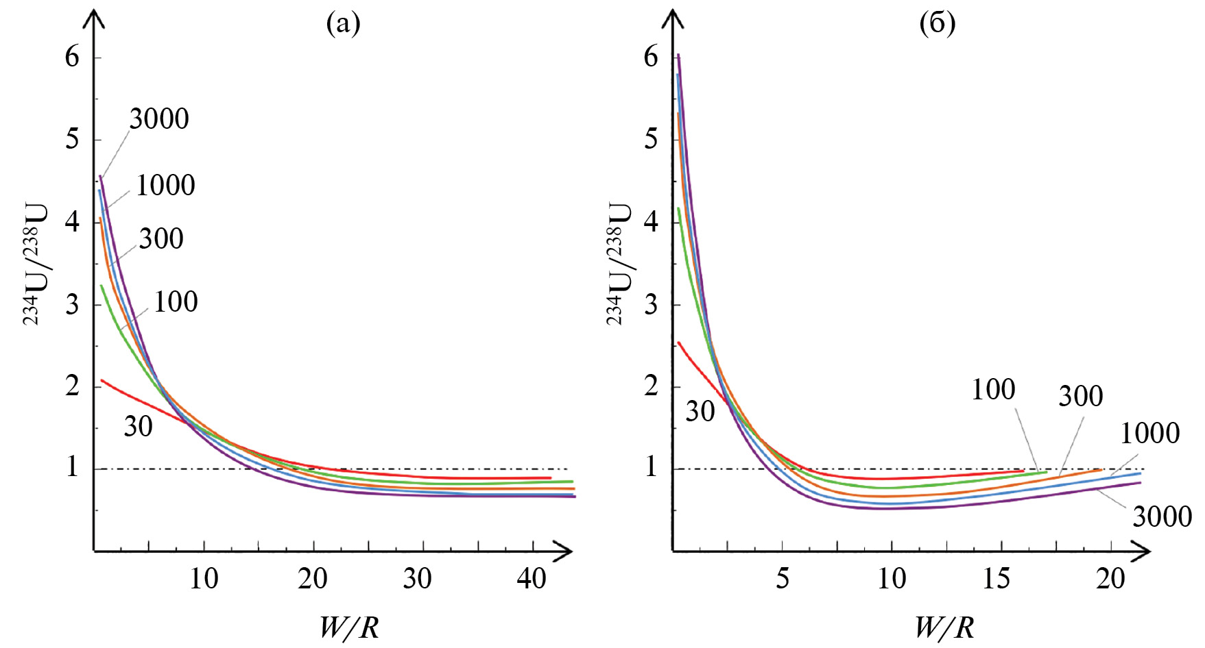
Рис. 5. Одностадийная модель — варианты расчета 234U/238U на выходе из модели при стационарном потоке поровой влаги: а — “матрица + треки”, б — “матрица + треки + микронарушения”; параметр W/R — отношение объема профильтровавшейся воды к объему зерна; цифры около кривых — отношение DТРЕК/DМАТРИЦА; черная штрих-пунктирная линия — равновесное отношение 234U/238U = 1 (геометрия модели на рис. 4, плотность треков — 0.012 мкм/мкм2, матрица зерна гидравлически непроницаема k = 10–10 м/сут, пленочная влага отсутствует).
Вплоть до отношений диффузии DТРЕК/DМАТРИЦА = =3000 в численных экспериментах по схеме, соответствующей одностадийной модели Чердынцева-Чалова, отношение 234U/238U < 10 для поровой воды на выходе из модели. Наличие микронарушений увеличивает пиковые значения 234U/238U на 15–30% по сравнению с вариантом их отсутствия. Выше было показано, что наиболее вероятный диапазон отношений коэффициентов диффузии в треках и матрице 102 < DТРЕК/DМАТРИЦА < 103. Следовательно, модель одностадийного радиокинетического разделения не объясняет сверхвысокие (234U/238U > 10) обогащения подземных вод ураном-234. Моделирование поведения урана-234 для неурановых минералов, исходящее из вероятностной схемы поведения атомов в кристаллической решетке, также дает максимально возможные величины отношений 234U/238U < 10 [7]. Следует отметить, что после прохождения “волны” выноса урана-234 подземные воды на некоторое время им обедняются, и отношение 234U/238U становится меньше единицы.
3.2.2. Проверка двухстадийной модели. Для реализации двухстадийной модели таяние льда моделировалось скачкообразным увеличением проницаемости пор с k = 10–10 до k = 0.01 м/сут, но для пленочной влаги коэффициент фильтрации сохранялся равным k = 10–8 м/сут. Для подварианта с наличием пленочной влаги коэффициенты диффузии были приняты: а) в пленочной влаге D = 5 × 10–7 см2/сут для периода оледенения и больше на порядок после потепления; б) во льду D = 10–9 см2/сут; в) в матрице и треках D = 10–10 см2/сут и 5 × 10–8 см2/сут, соответственно. Результаты расчета отношения 234U/238U в поровой влаге на выходе из модели для периода после “таяния” льда приведены на рис. 6.
Рис. 6. Вариант расчета 234U/238U в поровой воде для двухстадийной модели: а — при отсутствии пленочной влаги, б — при наличии пленочной влаги в ММГП; параметр W/R — отношение объема профильтровавшейся воды к объему зерна; цифры около кривых — отношение DТРЕК/DМАТРИЦА; остальные обозначения на рис. 5.
Двухстадийная модель в отсутствие пленочной влаги дает расчетный рост отношения в подземных водах на выходе из модели 234U/238U > 10, но только для нереально высоких отношений коэффициентов диффузии в минеральной матрице и треках на уровне DТРЕК/DМАТРИЦА = 3 × 103. Искомые ураганные избытки урана-234, приводящие к формированию отношений 234U/238U >> 10 в талых мерзлотных водах, достигаются только при условии наличия этапа диффузии урана-234 в незамерзающую пленочную влагу в период существования мерзлоты.
Отметим, что извлечение 234U из пород, как правило, должно мало влиять на его содержания во вмещающих породах в целом, поскольку а) его потери со временем восполняются образованием из 238U; б) для одного и того же объема водоносного горизонта в скелете породы содержится, как правило, минимум в 103 раз больше урана, чем в поровой воде. Согласно результатам моделирования, после прохождения фронта свежих инфильтрационных вод, вытесняющих талые мерзлотные воды (“возрожденные” по терминологии В.А. Полякова) из-за уменьшения доступности урана-234 для извлечения из вмещающих пород, должен наступать период, когда отношения 234U/238U в подземных водах должны оказываться ниже равновесных. В ряде реально исследованных обстановок действительно наблюдается обеднение подземных вод ураном-234, когда отношение 234U/238U снижается вплоть до 0.3–0.4 [2, 5, 34].
ВЫВОДЫ
- Модель Чердынцева-Чалова, предполагающая одностадийное радиокинетическое разделение изотопов в ряду урана-238 и обогащение подземных вод ураном-234 только вследствие его преимущественного выщелачивания из минеральной матрицы, не может объяснить появления сверхбольших отношений 234U/238U > 10.
- Модель В. А. Полякова, предполагающая двухстадийный механизм обогащения подземных вод ураном-234, когда имеют место стагнация водообмена в период существования мерзлоты и резкое обогащение талых мерзлотных вод указанным изотопом после восстановления водообмена, в полной мере не поддерживается моделированием. Численное моделирование показало, что отношения 234U/238U > 10 могут быть достигнуты только в случае принятия нереально высоких различий в коэффициентах диффузии родительского и дочернего изотопов в кристаллической матрице и треках, соответственно. 3. Развитие автором двухстадийной модели на базе предположения о миграции 234U в незамерзающую пленочную влагу в период существования ММГП и последующего его быстрого перехода в гравитационную влагу в период таяния подземных льдов объясняет возникновение ураганных избытков урана-234 234U/238U >> 10. Такое обогащение ураном-234 является временным, и, вслед за прохождением фронта вытеснения талых вод свежими инфильтрационными, избытки 234U исчезают.
Таким образом, обнаружение сверхбольших обогащений в системе урана 234U/238U > 10 позволяет идентифицировать подземные воды, образовавшиеся в ходе таяния мерзлоты.
Работа выполнена в Ресурсном центре “Рентгенодифракционные методы исследования” Научного парка Санкт-Петербургского государственного университета в рамках программы ГЗ № АААА-А19-119091190094-6.
About the authors
I. V. Tokarev
Science Park, St. Petersburg State University
Author for correspondence.
Email: i.tokarev@spbu.ru
Russian Federation, Dekabristov per., 16, V.O., St. Petersburg, 199155
References
- Bogomolov, E.S. [Diffusion of radiogenic lead in zircons]. Extended abstract of Cand. (Geol.-Min.) Sci. Dissertation, St. Petersburg, 1992, 17 p. (in Russian)
- Bondarenko, G.N., Gudzenko, I.S., Kovalyukh, N.N. [Formation of a front of radioactive and stable isotopes in the discharge zone of an artesian basin]. In: [Study of natural waters using isotope methods]. Moscow, Nauka Publ., 1981, pp. 157–164. (in Russian)
- Goldberg, E.L., Grachev, M.A., Edzhington, D.N. et al. [Direct uranium-thorium dating of the last two interglacials in sediments of Lake Baikal]. Doklady Akademii mauk, 2001, vol. 380, no. 6, pp. 805–808. (in Russian)
- Karpenko, F.S., Kutergin, V.N., Frolov, S.I., Sobin, R.V. [The influence of changes in the properties of hydrate films under temperature influences on the strength of clayey soils]. Geoekologiya, 2021, no. 1, pp. 69–78. (in Russian)
- Kiselev, G.P. [Even isotopes of uranium in the geosphere]. Yekaterinburg, UrO RAN Publ., 1999. 220 p. (in Russian)
- Kuznetsov, Yu.V. [Radiochronology of the ocean]. Moscow, Atomizdat Publ., 1976, 279 p. (in Russian)
- Kucherenko, N.L. [Modeling of disordering areas of 238U alpha recoil and the ratio of activities of even uranium isotopes in galena and chalcocine]. Vestnik Kyrgyzsko-Rossiiskogo Slavyanskogo universiteta, 2005, vol. 5, no. 1, pp. 89–91. (in Russian)
- [Glaciation of Northern Eurasia in the recent past and near future]. V.M. Kotlyakov, Ed., Moscow, Nauka Publ., 2007, 366 p. (in Russian)
- Osipov, V.I. [Physico-chemical theory of effective stresses in soils]. Moscow, IEG RAS, 2012, 74 p. (in Russian)
- Polyakov, V.A. [Study of changes in hydrochemistry and groundwater resources of coastal water intakes in Estonia using isotope data]. Abstracts of the All-Union Conference on Hydrogeology. Zvenigorod, 1991, pp. 60–62. (in Russian)
- Starik, I.E. [Fundamentals of radiochemistry]. Moscow, AN SSSR Publ., 1959, 460 p. (in Russian)
- Titaeva, N.A. [Nuclear geochemistry]. Moscow, MGU Publ., 2000, 336 p. (in Russian)
- Tikhonov, A.I. [Nonequilibrium uranium under conditions of active water exchange and its use in geology and hydrogeology]. Cheboksary, L.A. Naumova Publ., 2009. 453 p. (in Russian)
- Tokarev, I.V. [The use of isotope data (δ2Н, δ18О, 234U/238U) in studying the processes of permafrost degradation as a result of long-term climate variations]. Notes of the Mining Institute. Thematic issue on trends and prospects for the development of hydrogeology and engineering geology in modern economic conditions of Russia. 2008, vol. 176, pp. 191–195. (in Russian)
- Tokarev, I.V., Zubkov, A.A., Rumynin, V.G., Pozdnyakov, S.P., et al. [Assessing the long-term safety of radioactive waste disposal. 1. Paleoreconstruction of the conditions for the groundwater formation]. Vodnye resursy, 2009, vol. 36, no. 2. pp. 219–227. (in Russian)
- Tokarev, I.V., Zubkov, A.A., Rumynin, V.G., Pozdnyakov, S. P. [Assessing the long-term safety of radioactive waste disposal. 2. Study of water exchange in a multilayer system using isotope methods]. Vodnye resursy, 2009, vol. 36, no. 3. pp. 363–374. (in Russian)
- Tokarev, I.V., Kharkhordin, I.L., Polyakov, V.A., Rumyantsev, V.A., Tikhonov, A.I. [Study of the behavior of δ2Н-δ18О and 234U/238U isotope systems in the post-cryogenic period using numerical filtration models]. Abstracts of the international conference “Priority directions in the study of the Earth’s cryosphere.” May 25–28, 2005, Pushchino, 2005, pp. 54–55. (in Russian)
- Chalov, P.I. [Dating using nonequilibrium uranium]. Frunze, Ilim Publ., 1968, 110 p. (in Russian)
- Chalov, P.I. [Isotope fractionation of natural uranium]. Frunze, Ilim Publ., 1975, 204 p. (in Russian)
- Chalov, P.I., Tikhonov, A.I., Vasiliev, I.A., Komissarov, V.V. Svetlichnaya, N.A. [Using uranium isotope information to model water movement in frozen fractured rocks]. Vodnye resursy, 1991, no. 2, pp. 96–108. (in Russian)
- Cherdyntsev, V.V. [Uranium-234]. Moscow, Atomizdat Publ., 1967, 238 p. (in Russian)
- Andrews, J.N., Giles, I.S., Kay, R.L.F., Lee, D.J. et al. Radioelements, radiogenic helium and age relationships for groundwaters from the granites at Stripa, Sweden. Geochimica et Cosmochimica Acta, 1982, vol. 46, pp.1533–1543.
- Arndt, M.F., West, L. A Study of the factors affecting the gross alpha measurement, and a radiochemical analysis of some groundwater samples from the state of Wisconsin exhibiting an elevated gross alpha activity. In: Wisconsin groundwater management practice monitoring project, DNR-176. Final report, 2004, 57 p.
- Calsteren, van P., Thomas, L. Uranium-series dating applications in natural environmental science. Earth-Science Reviews, 2006, vol. 75, pp. 155–175.
- Dickin, A.P. Isotope geology. Cabridge, Cabridge University Press, 2005, 497 p.
- Fleischer, R.L. Alpha-recoil damage: Relation to isotopic disequilibrium and leaching of radionuclides. Geochimica et Cosmochimica Acta, 1988, vol. 52, pp. 1459–1466.
- Fleischer, R.L., Price, P.B., Walker, R.M. Nuclear tracks in solids. University of California Press. 1975, 983 p.
- Henderson, G.M., Burton, K.W. Using 234U/238U to assess diffusion rates of isotopic tracers in ferromanganese crusts. Earth Planet. Sci. Lett., 1999, vol. 170, pp. 169–179.
- Henderson, G.M., Slowey, N.C., Haddad, G.A. Fluid flow through carbonate platforms: Constraints from 234U/238U and Cl– in Bahamas pore-waters. Earth Planet. Sci. Lett., 1999, vol. 169, pp. 99–111.
- IPCC. Climate Change 2023: Synthesis Report. Contribution of Working Groups I, II and III to the Sixth Assessment Report of the Intergovernmental Panel on Climate Change [Core Writing Team, H. Lee and J. Romero (eds.)]. IPCC, Geneva, Switzerland, 2023. 184 p.
- Ivanovich, M., Harmon, R.S. Uranium-series disequilibrium: Applications to earth, marine, and environmental sciences. Oxford University Press, 2nd edition. 1992, 972 p.
- Kigoshi, K. Alpha-recoil 234Th: dissolution into water and the 234U/238U disequilibrium in nature. Science, 1971, vol. 173, pp. 47–48.
- Kronfeld, J. Uranium deposition and Th-234 alpha-recoil: an explanation for extreme U-234/U-238 fractionation within the Trinity aquifer. Earth Planet. Sci. Lett., 1974, vol. 21, pp. 327–330.
- Kronfeld, J., Godfrey-Smith, D.I., Johannessen, D., Zentilli, M. Uranium series isotopes in the Avon Valley, Nova Scotia. J. Environmental Radioactivity, 2004, vol. 73, pp. 335–352.
- Ku, T.-L. An evaluation of the234U/238U method as a tool for dating pelagic sediments. J. Geophys. Res., 1965, vol. 70, no.14, pp. 3457–3474.
- Lambert, S.J. Carter, J.A. Uranium-isotope systematics in groundwaters of the Rustler formation, northern Delaware basin, southeastern New Mexico I: Principles and preliminary results. In: Sandia Report SAND87–0388 UC-721. Sandia National Laboratories, Albuquerque. New Mexico and Livermore, California. For the US DOE, Contract DE-AC04-76DP00789, 1987, 88 p.
- Madsen, F.T. Clay mineralogical investigations related to nuclear waste disposal. Clays Minerals, 1998, vol. 34, pp. 109–129.
- Moore W.S., Sackett W.M. Uranium and thorium series in equilibrium in seawater. J. Geoph. Res., 1964, vol. 69, pp. 5401–5405.
- Osmond, K., Cowart, J. B. The theory and uses of natural uranium isotopic variations of hydrology. Atomic Energy Rev., 1976, vol. 14, 621 p.
- Rosenthal, Y., Boyle, E.A., Labeyrie, L., Oppo, D. Glacial enrichments of authigenic Cd and U in subantarctic sediments: A climatic control on the elements’ oceanic budget? Paleoceanography, 1995, vol. 10, no. 3, pp. 395–413.
- Rosholt, N. Radioactive disequilibrium studies as an aid in understanding the natural migration of uranium and its decay products. Proc. United Nations Intern. Conf. on the Peaceful Uses of Atomic Energy, Geneva, Proc. v. 2. 1958.
- Tokarev, I.V., Zubkov, A.A., Rumynin, V.G., Polyakov, V.A. et al. Origin of high 234U/238U ratio in post-permafrost aquifers. In: Uranium in the environment (Mining impact and consequences). Merkel B.J. and Hasche-Berger A., Eds., Springer, 2005, pp. 847–856.
- Tokarev, I., Yakovlev, E. Non-equilibrium uranium as an indicator of global climate variations — The World Ocean and large Lakes. Water, 2021, vol. 13, p. 3514.
- Tuovinen, H.P. Mobilization of natural uranium series radionuclides at three mining sites in Finland. Academic dissertation. Faculty of Science of the University of Helsinki, Department of Chemistry. Helsinki, 2015, 56 p.
- Yakovlev, E., Tokarev, I., Zykov, S., Iglovsky, S., Ivanchenko, N. Isotope signs (234U/238U, 2H, 18O) of groundwater: an investigation of the existence of paleo-permafrost in European Russia (pre-Volga region). Water, 2021, vol. 13, p. 1838.
Supplementary files








