Bottom ash from municipal solid waste incineration: composition, leaching of heavy metals, treatment, possibilities of application and permissibility of burial
- 作者: Yuganova T.I.1, Putilina V.S.1
-
隶属关系:
- Sergeev Institute of Environmental Geoscience RAS
- 期: 编号 1 (2024)
- 页面: 96-110
- 栏目: UTILIZATION AND DISPOSAL OF WASTE
- URL: https://journal-vniispk.ru/0869-7809/article/view/260051
- DOI: https://doi.org/10.31857/S0869780924010108
- EDN: https://elibrary.ru/GNHGQH
- ID: 260051
如何引用文章
全文:
详细
The most important problem that arises when handling bottom ash from municipal solid waste incineration, due to possible environmental pollution, is considered. The composition, chemical properties and mineralogy of bottom ash are presented. Issues of pollutant leaching from bottom ash, leaching testing methods, and predictive modelling are considered. Heavy metals as the most hazardous pollutants for the environment have been studied. The role of pH and dissolved organic carbon in leaching heavy metals is described. Methods for processing bottom ash to reduce environmental impact, the possibilities of using slag and regulatory restrictions are presented.
全文:
ВВЕДЕНИЕ
Сжигание твердых коммунальных отходов (СТКО, MSWI) — распространенный метод их обработки, позволяющий уменьшить массу отходов на 70% и объем до 90%. При этом образуются так называемые твердые остатки (ОСТКО), которые необходимо обрабатывать дополнительно. Производятся два основных типа ОСТКО [15]: донная зола (bottom ash, BA) со шлаком (далее вместе “шлак”1) и летучая зола (ЛЗ, fly ash, FA). Образование и состав ОСТКО, общие для шлака и ЛЗ вопросы рециклинга, методы оценки токсичности, выщелачивание загрязняющих веществ (ЗВ) и проблемы его тестирования, способы обработки ОСТКО для уменьшения воздействия на окружающую среду описаны в [1].
Между шлаком и ЛЗ существуют большие различия в составе: шлак содержит значительно меньше токсичных веществ, чем ЛЗ. Поэтому проблемы выщелачивания ЗВ, поведение этих ОСТКО при захоронении, способы обработки для снижения воздействия на окружающую среду, нормативные ограничения необходимо исследовать раздельно.
Настоящая статья представляет собой аналитический обзор зарубежной литературы, посвященной изучению химических свойств и минералогии шлака, процессам выщелачивания тяжелых металлов (ТМ), обработке шлака для уменьшения воздействия на окружающую среду. Кроме того, рассмотрены вопросы использования и захоронения шлака.
СОСТАВ, ХИМИЧЕСКИЕ СВОЙСТВА И МИНЕРАЛОГИЯ ШЛАКА ОТ СТКО
Современные заводы Европы и США производят около 180–250 кг шлака на 1 т сжигаемых твердых коммунальных отходов (ТКО). Данные для Японии — около 100–150 кг/т — отражают гораздо более низкое содержание инертных веществ в ТКО Японии [28].
Шлак от СТКО весьма неоднороден. Обычно он содержит большое количество стекла, строительных материалов (например, плитки, кирпича), а также мелких фрагментов черных металлов (например, проволока в шинах) [22]. Шлак на 80–85 мас. % состоит из минеральной фракции, металлов (черных 7–10 мас. %, цветных 1–5 мас. %) и незначительной доли другого несгоревшего материала (< 1 мас.%) [3]. Под термином “металл” здесь понимаются куски металла со степенью окисления 0, которые можно отделить от основной массы шлака. Из-за своей экономической ценности металлы извлекаются и впоследствии перерабатываются в металлургической промышленности. Обычно из шлака извлекаются около 85–95 мас. % черных металлов и 40–65 мас. % цветных металлов.
Шлак составляет основную массу ОСТКО и повторно используется во многих странах в качестве строительного материала. Он известен своими физико-химическими характеристиками и метастабильным минералогическим составом и значительно обогащен токсичными микроэлементами по сравнению с исходным материалом отходов [11].
Шлакоподобный остаток собирается из камеры сгорания. В результате схожих условий эксплуатации шлак, образующийся на разных мусоросжигательных заводах (МСЗ), довольно близок по химическому составу [15]. Для иллюстрации в табл. 1 приведены данные по различным странам о количестве металлов и общего органического углерода (ООУ) в шлаке. В отчете [26] приведены представительные аналитические данные об образцах шлака с трех МСЗ Великобритании и отмечается преобладание Zn, Cu и Pb (ср. с табл. 1). Небольшое количество ЗВ и удовлетворительные механические свойства делают даже необработанный шлак пригодным для использования в качестве дорожно-строительного материала.
Таблица 1. Состав шлака от СТКО для разных стран
Компонент | Единица | Дания [15] | Дания [17] | США [17] | Тайвань [17] | Япония [17] | Испания [17] | Различные страны [18] |
Al | г/кг | 39.1–65.6 | 21.9–72.8 | |||||
Ca | - “ - | 96.5–108 | 0.37–123 | |||||
Cl | - “ - | 3.0–9.0 | 0.8–4.19 | |||||
Fe | - “ - | 79.9–100 | 4.12–150 | |||||
K | - “ - | 8.8–11.6 | 0.75–16 | |||||
Mg | - “ - | 10.0–13.1 | 0.4–26 | |||||
Na | - “ - | 23.2–29.4 | 2.87–42 | |||||
S | - “ - | 3.5–5.6 | 1–5 | |||||
Si | - “ - | 198–248 | 91–308 | |||||
Ag | мг/кг | 4.1–14 | 2–38 | 8.5–10.7 | 0.28–36.9 | |||
As | - “ - | 25.0–45.2 | 19–80 | 1.3–45 | 209–227 | 160 | 13 | 0.12–189 |
Ba | - “ - | 1360–1750 | 900–2700 | 47–2000 | 1104–1166 | 400–3000 | ||
Cd | - “ - | 2.6–3.7 | 1.4–40 | 0.3–61 | 6.8–7.8 | 110 | 3 | 0.3–70.5 |
Co | - “ - | 20.4–26.2 | < 10–40 | 22–706 | 49.6–53.1 | 6–350 | ||
Cr | - “ - | 434–914 | 230–600 | 13–1400 | 323–439 | 260 | 900 | 23–3170 |
Cu | - “ - | 2060–14300 | 900–4800 | 80–10700 | 4139–4474 | 500 | 190–8240 | |
Hg | - “ - | < 0.01–3 | 0.003–2 | 2.6 | 0.02–7.75 | |||
Mn | - “ - | < 0.7–1.7 | 50–3100 | 869–894 | 280 | 83–2400 | ||
Mo | - “ - | 7.62–20.1 | 2.5–276 | |||||
Ni | - “ - | 242–526 | 60–190 | 9–430 | 216–242 | 180 | 7–4280 | |
Pb | - “ - | 1080–3530 | 1300–5 400 | 98–6500 | 2474–2807 | 2700 | 98–13700 | |
Sb | - “ - | 51.4–105 | ||||||
Se | - “ - | 0.6–8 | 0–3.4 | 230–265 | 130 | 0.05–10 | ||
Sn | - “ - | < 100–1300 | 840 | 960 | 2–380 | |||
Sr | - “ - | 311–634 | 170–350 | 85–1000 | ||||
V | - “ - | 40.7–59.3 | 36–90 | 20–122 | ||||
Zn | - “ - | 2660–4230 | 1800–6200 | 200–12400 | 4261–4535 | 600 | 613–7770 | |
ООУ | г/кг | 14.0–19.0 |
Кроме того, выветривание шлака, в основном за счет карбонизации (поглощения атмосферного CO2 и в результате — изменения минералогии с (гидр)оксидов на карбонаты), действует как природный процесс стабилизации для некоторых ТМ, образующих устойчивые карбонатные формы. Поэтому выделение ЗВ из выветрелого шлака обычно не считается серьезной проблемой, и значительная часть образовавшегося шлака используется в качестве строительного материала; например, в Дании это ежегодно составляет более 90% производимого шлака [15].
Необработанный шлак представляет собой минералогически чрезвычайно неоднородный материал, бóльшая часть которого состоит из богатых кальцием минералов и силикатов, иногда обогащенных железом и натрием. Многочисленные исследования привели к выводу, что значительная часть шлаков состоит из продуктов расплава: стекло, минералы группы шпинелей (например, магнетит Fe3O4) и группы мелитита (например, геленит Ca2Al2SiO7 и акерманит Ca2(Mg, Fe)Si2O7) [15]. Напротив, содержание ЗВ (например, ТМ) довольно низко (см. табл. 1). Поэтому их минеральные фазы сложно идентифицировать экспериментально, они “маскируются” большим количеством макроэлементов. Тем не менее были идентифицированы простые оксиды металлов, например, Zn O. Перечень минералов, обычно обнаруживаемых в шлаке, приведен в [15]: CaSO4, Ca2Al2SiO7, CaSO4∙2H2O, Ca2(Mg, Fe)Si2O7, CaCO3, Ca6Al2O6(SO3)3∙32H2O, Ca2SiO3Cl2, Ca6Al2(SO4)3(OH)12∙26H2O, SiO2, (Na, Ca)(Fe, Mn)(Si, Al)2O6, Fe3O4, Ca(Mg, Al)(Si, Al)2O6, Fe2O3, (K, Ca, Na)(Al, Si)4O8, FeCO3, Al2O3, FeSO4∙H2O, N2O, FeCr2O4, CaO, Ca5(PO4)3Cl, FeO, ZnO, NaCl, CaMoO4, NaAsO2.
ВЫЩЕЛАЧИВАНИЕ ИЗ ШЛАКА ТЯЖЕЛЫХ МЕТАЛЛОВ
Особенности выщелачивания из шлака
Для обеспечения экологически безопасного применения шлака МСЗ необходимо тщательно изучить выщелачивание солей, металлов и металлоидов в предполагаемом сценарии повторного использования [10]. Шлак от СТКО обычно содержит более высокие концентрации опасных веществ (например, металлов и металлоидов) по сравнению с природными материалами, основная проблема его использования в строительстве связана с долгосрочным воздействием на окружающую среду, которое может быть вызвано выделением ЗВ при контакте с водой (т. е. поведением при выщелачивании).
Свойства шлака во многом зависят от состава поступающих отходов и условий эксплуатации МСЗ, например, температуры и технологии сжигания. На поведение шлака при выщелачивании может влиять валовое содержание компонентов. Так, присутствие растворенного органического вещества (РОВ), сульфата (SO42–) и хлорида (Cl–) влияет на выщелачивание ТМ. РОВ в шлаке усиливает выщелачивание меди, образуя комплексы Cu–РОВ. В присутствии ионов SO42– происходит связывание большинства ТМ в сульфатных формах. Во время сжигания более высокое содержание Cl– в ТКО увеличивает летучесть ТМ, что приводит к более низкому содержанию ТМ в шлаке. Это связано с тем, что Cl– переводит ТМ в подвижное состояние, способствуя их выщелачиванию [19].
Гранулометрический состав шлака также влияет на выщелачивание ЗВ. С одной стороны, некоторые токсичные ЗВ преимущественно сконцентрированы в более мелких частицах. Например, шлак от СТКО с фракцией < 4 мм наиболее загрязнен и содержит токсичные элементы (например, Cu, Cr, Hg и Pb), а также сульфатные и хлоридные соединения ТМ. С другой стороны, более мелкие частицы обладают большей удельной поверхностью, что приводит к большей скорости выщелачивания. Таким образом, мелкие фракции шлака ответственны за повышенное выделение ТМ и нежелательных солей. Отделение мелких фракций путем просеивания и промывания значительно снижает концентрацию ЗВ в фильтрате до уровней ниже допустимых [19].
Что касается химического состава шлака, то ТМ из него обычно гораздо труднее выщелачиваются, чем из ЛЗ. Но шлак составляет 85–90% ОСТКО, поэтому общая доля ТМ в шлаке значительна и составляет 61–94% от общего содержания ТМ в ОСТКО, за исключением Cd (табл. 2). При использовании в качестве заполнителя или другого строительного материала шлак будет подвергаться воздействию окружающей среды; поэтому следует учитывать возможность выделения ТМ из шлака [32].
Таблица 2. Доля некоторых ТМ в шлаке с двух заводов в Шанхае (% от общего количества ТМ в ОСТКО) на основе данных мониторинга за год [32]
ТМ | Завод 1 | Завод 2 |
Cd | 34.7 ± 12.3 | 45.4 ± 9.3 |
Cr | 87.0 ± 3.3 | 93.8 ± 3.0 |
Cu | 83.4 ± 4.2 | 88.2 ± 10.0 |
Ni | 87.7 ± 5.7 | 91.4 ± 3.5 |
Pb | 61.2 ± 15.9 | 65.7 ± 11.8 |
Zn | 78.8 ± 7.6 | 84.8 ± 6.5 |
Сравнение результатов тестов с натурными данными по выщелачиванию из шлака
Как отмечалось в [1], выщелачиваемость компонентов из отходов, прогнозируемая с помощью лабораторных тестов, может значительно отличаться от их выделения в натурных условиях. В исследовании [10] сравниваются данные, полученные в ходе продолжающихся полномасштабных натурных тестов, с экспериментальными результатами, полученными в лаборатории с инфильтрационной колонкой и в тестах выщелачивания в зависимости от pH.
Натурные эксперименты проводились в тестовой секции, оборудованной для изучения использования шлака от СТКО в качестве основания для дорог и на автостоянках, в течение 13 лет. За это время было достигнуто совокупное значение отношения жидкой и твердых фаз (L/S) около 3 л/кг. Состав собранного фильтрата регулярно анализировался. Определялись, в частности, значение pH и концентрации As, Cd, Co, Cr, Cu, Mo, Ni, Pb, Sb, Zn, Hg, Se и растворенного органического углерода (РОУ).
При проведении инфильтрационного теста с колонкой было собрано семь фракций элюата, соответствующих следующим отношениям L/S: 0–0.1, 0.1–0.2, 0.2–0.5, 0.5–1.0, 1.0–2.0, 2–5 и 5–10 л/кг. Влияние pH на выщелачивание неорганических загрязнителей и РОУ было исследовано с помощью статического теста выщелачивания зависимости от pH при L/S ~10 л/кг, pH 4, 7, 8, 9 и естественном pH2 [10].
В качестве первой оценки было сделано предположение о возможном выщелачивании компонентов в результате растворимости обычных минералов, в которых они содержатся (см. группа II в [1]).
На рис. 1 на один график нанесены результаты теста с колонкой и результаты, полученные в тесте зависимости выщелачивания от pH. В случае когда значения концентрации компонента в элюате, полученные в тесте с колонкой при каком-либо L/S, подобны результату теста зависимости от pH при соответствующем значении pH элюата (например, различие менее одного порядка), можно считать, что выщелачивание этого компонента в основном определяется растворимостью минералов.
И наоборот, значение концентрации компонента в элюате из тестов с колонкой, слабо коррелирующее с результатами теста в зависимости от pH при аналогичных значениях pH элюата, указывают на то, что выщелачивание компонента определяется другими процессами. Это может быть начальное вымывание с последующим растворением, растворение компонента в минерале, а также процессы сорбции или установление неравновесных условий. Сравнение результатов теста зависимости от pH (проведенного при L/S 10 л/кг) с результатами теста с колонкой (полученными при различных отношениях L/S) позволяет идентифицировать ЗВ, выщелачивание которых определяется только растворимостью минералов (т. е. не зависит от применяемого L/S) [10].
На основе выявленного ключевого механизма, определяющего выщелачивание из шлака конкретного компонента, его потенциальное выделение в натурных условиях можно оценить по результатам проведенных тестов. Так, для компонентов, выщелачивание которых в основном зависит от pH при контакте с водой (т. е. происходит растворение), ожидаемые концентрации (мг/л) в натурных условиях (Cнатурн) можно оценить по формуле
где CpH(pH) — это концентрация конкретного компонента при заданном pH, которую можно оценить по результатам теста pH-зависимости, принимая в качестве значения pH значение, измеренное в натурных тестах с течением времени.
С другой стороны, если не идет процесс растворения, то концентрация компонента Cнатурн может быть получена из теста с инфильтрационной колонкой
где Cкол(L/S) — концентрация при L/S, ожидаемом в натурных условиях, которую можно оценить по результатам теста с колонкой при соответствующем значении L/S. Отношения L/S можно рассчитать непосредственно по данным натурных тестов путем деления объема собранного фильтрата (м3) на количество шлака (т сухой массы).
На рис. 1 показаны результаты указанных лабораторных тестов, проведенных на образце шлака из тестовой секции, в виде графиков зависимости концентрации ТМ и РОУ в элюате от pH [10]. Для Cd, Cr и Sb концентрации в элюате, полученные в результате теста с колонкой для соответствующих значений pH элюата, при некотором L/S были очень близки к полученным в результате теста зависимости от pH. Т.е. параметром, определявшим выщелачивание вышеупомянутых компонентов, был pH, что указывает на растворимость минералов как основной механизм этого процесса.
Рис. 1. Концентрации ТМ и РОУ в элюате (мг/л), полученные в тесте с инфильтрационной колонкой и в тесте зависимости выщелачивания от pH. Пунктирные линии — предел обнаружения [10].
Напротив, для РОУ и Se тенденции выщелачивания, полученные в результате разных тестов, сильно различались, т. е. основным определяющим параметром было отношение L/S. Это означает, что выщелачивание этих компонентов было в основном обусловлено доступностью и/или процессом массопереноса. Для Cu, Ni и Pb концентрации в элюате в двух тестах также различались, т. е. и их выщелачивание не зависело от растворимости минералов. В частности, в тесте с колонкой концентрации в элюате Cu, Ni и Pb при низких отношениях L/S (верхние кружки на рис. 1) были более чем на порядок выше, чем полученные из теста зависимости от pH.
Для компонентов, выщелачивание которых в основном определялось доступностью (например, РОУ и Se), натурные данные (не представлены) были близки к результатам теста с колонкой, в частности, при низких отношениях L/S (наиболее важных в процедуре оценки риска).
Для компонентов, выщелачивание которых определялось растворимостью минералов, тест с колонкой имел тенденцию немного завышать концентрации, полученные в натурных условиях. Для некоторых компонентов (например, Cd) тенденцию, наблюдавшуюся в натурных условиях, более точно описывали результаты тестов зависимости от pH.
Для других компонентов, таких как РОУ, Cr, Cu и Ni, результаты обоих типов лабораторных тестов не соответствовали натурным наблюдениям. В частности, для Cr в натурных условиях выделение почти на порядок выше, чем в лабораторных тестах, тогда как для Cu и Ni для теста зависимости от pH, было обнаружено противоположное, особенно при L/S > 0.5 л/кг. Снижение выщелачивания Cu и Ni в натурных условиях можно предварительно приписать процессам выветривания, в частности карбонизации. Это снижение могло быть также связано с адсорбцией растворимых комплексов меди и никеля с РОУ (фульвокислотами — ФК) на гидроксидах железа и алюминия.
Почти для всех изученных элементов (кроме Cr) отклонения между данными тестов и натурными измерениями находились в пределах одного порядка [10].
Таким образом, прогнозирование выщелачивания ТМ из шлака при его использовании в качестве основания для дорог и на автостоянках, можно выполнить с указанной точностью с помощью лабораторных тестов с инфильтрационной колонкой и тестов выщелачивания в зависимости от pH. Предварительно, на основе результатов этих двух тестов, следует определить для каждого ТМ механизм его выщелачивания, и далее использовать для прогнозного расчета только данные соответствующего теста.
МОДЕЛИРОВАНИЕ ВЫЩЕЛАЧИВАНИЯ ТМ И ФК ИЗ ШЛАКА
Подход к моделированию
Для исследования механизмов выщелачивания макро- и микроэлементов из шлака в серийном и инфильтрационном режимах было проведено геохимическое моделирование [11]. Примененный прогнозирующий подход к “многоповерхностному” геохимическому моделированию нацелен на согласованность между предполагаемыми процессами, выбранными моделями, входными параметрами и экспериментальными методами их определения, без использования эмпирических данных. Прогнозируется одновременное выщелачивание широкого диапазона макро- и микроэлементов, а также ФК из шлака. Геохимическая часть модели включает растворение/осаждение минералов, а также процессы сорбции на нескольких реактивных поверхностях, т. е. поверхностное комплексообразование/осаждение на (гидр)оксидах Fe/Al и комплексообразование ионов с гуминовыми кислотами (ГК) и ФК. Для расчета реактивной миграции геохимическая часть модели была расширена за счет одномерной конвективно/дисперсионной миграции воды в сочетании с массопереносом первого порядка между подвижными и застойными зонами (“двойная пористость”). Для параметризации модели разработан общий перечень входных параметров на основе выборочных химических процессов экстракции (для определения количества и типа реактивных поверхностей) и процессов экстракции с низким pH (для получения оценок количества элементов, доступных для выщелачивания). Выбранные сорбционные модели и наборы параметров применялись без изменений и использовались только опубликованные “общие” термодинамические параметры и параметры связывания, т. е. без подгонки параметров к данным.
Подход к моделированию подтверждается данными, собранными в результате проведения двух стандартизированных тестов выщелачивания, различающихся по концепции и условиям: серийного pH-статического теста [5] и инфильтрационного теста [4]. Собранные данные о pH-зависимом выщелачивании использовались для проверки того, достаточно ли хорошо описываются моделью геохимические процессы выщелачивания. Данные инфильтрационных тестов с прерываниями потока использовались для оценки достоверности предположения о локальном равновесии и надежности прогнозов модели реактивной миграции.
Прогнозы модели для тестов выщелачивания в зависимости от pH
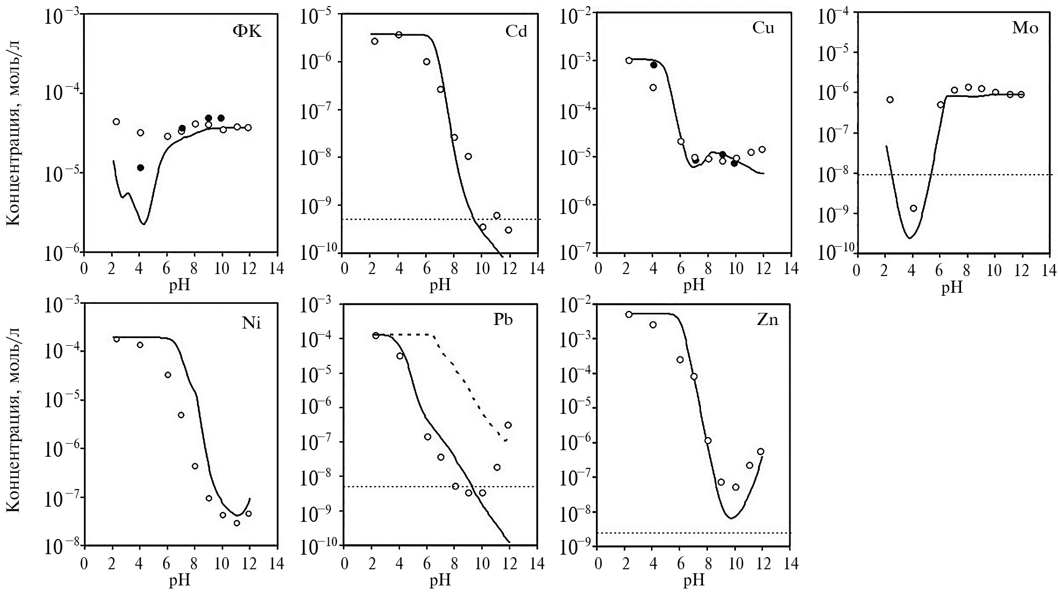
Измеренные в [11] концентрации и модельные прогнозы ряда важных компонентов (ФК, Cd, Cu, Mo, Ni, Pb и Zn) показаны на графиках относительно pH на рис. 2.
Рис. 2. Концентрации выщелоченных веществ как функции pH, измеренные с помощью статического теста зависимости от pH (белые кружки), и прогнозы модели (линии) для ФК, Cd, Cu, Mo, Ni, Pb и Zn. Черные кружки на диаграммах для ФК и Cu — результаты независимых экспериментов, полученные после более длительного времени уравновешивания, составляющего 168 ч. Горизонтальные пунктирные линии — пределы обнаружения. Штриховая линия на диаграмме для Pb — кривая растворимости чистого Pb(OH)2(тв.) [11].
Степень выщелачивания меди из шлака хорошо объясняется поверхностным комплексообразованием с (гидр)оксидами Fe и Al, а также возможностью осаждения Cu(OH)2(тв.), когда раствор становится перенасыщенным — при pH > 8. При pH > 6 выщелачивание Cu в основном связано с наличием ФК, присутствующих в фильтратах шлака от СТКО, благодаря формированию растворимых комплексов Cu–ФК. Эти процессы хорошо прогнозируются моделью (см. рис. 2).
Анионная форма молибдена MoO42– при высоком pH адекватно прогнозируется (слабым) поверхностным комплексообразованием с Fe- и Al-(гидр)оксидами, а при низком pH (pH ~1) — образованием вульфенита PbMoO4(тв.). Выщелачивание цинка моделировалось осаждением на поверхности (гидр)оксидов Fe и Al, что привело к адекватным прогнозам модели (см. рис. 2). Концентрации выщелоченного никеля моделировались на основе поверхностного комплексообразования с (гидр)оксидами Fe и Al, а также путем осаждения Ni(OH)2(тв.) по мере его перенасыщения в растворе. Тенденция концентраций выщелоченного Ni хорошо описывается моделью вблизи естественного pH ~11.2 (см. рис. 2). Прогнозные концентрации Ni, как правило, выше измеренных. Было также показано, что концентрации Ni при pH < 10 продолжали увеличиваться за пределами периода установления равновесия (48 ч), что свидетельствовало о медленных процессах десорбции/растворения.
Предварительные модельные расчеты показали, что полученные низкие концентрации кадмия и свинца не могут быть объяснены только поверхностным комплексообразованием на (гидр)оксидах Fe и Al. Поэтому в модели для этих ТМ было рассмотрено поверхностное осаждение на (гидр)оксидах Fe и Al, что привело к адекватным описаниям поведения для Cd во всем диапазоне pH и для Pb до pH 10 (см. рис. 2). Концентрации Pb вблизи естественного pH ~11.2 лучше соответствуют прогнозируемым по растворимости чистого Pb(OH)2(тв.), чем по модели поверхностного осаждения (пунктирная кривая на рис. 2). Возможно, происходило образование поверхностных осадков / твердых растворов этих металлов.
Для модели реактивной миграции выбор определяющего процесса растворения/осаждения для металлов Cu, Pb, Ni, Cd и Zn основан на сценарии, обеспечивающим наиболее близкое соответствие с данными вблизи естественного pH 11.2 (см. рис. 2), ожидаемыми при аналогичных значениях pH фильтрата для инфильтрационных тестов. Поэтому предполагается, что выщелачивание меди, никеля и свинца вблизи естественного значения pH обусловлено растворением их соответствующих (гидр)оксидов, тогда как для кадмия и цинка определяющим является поверхностное осаждение на Fe- и Al-(гидр)оксидах. Результаты моделирования в основном подтвердили результаты тестов в натурных условиях.
На рис. 3 представлены минеральные фазы и поверхностные осадки, которые могут формироваться во время прогона модели.
Рис. 3. Минеральные фазы и поверхностные осадки (обозначены -sp), которые могут выпадать в осадок, в зависимости от pH во время прогона модели [11].
ПРОГНОЗЫ МОДЕЛИ ДЛЯ ИНФИЛЬТРАЦИОННЫХ ТЕСТОВ
Влияние РОУ на выщелачивание ТМ было изучено с помощью моделирования инфильтрационных тестов [11]. В состав выщелоченного РОУ входят ГК, ФК и гидрофильные кислоты. Около 50% выщелоченного РОУ состоит из ФК, процентное содержание которых остается в ходе теста довольно постоянным. Однако их общее содержание уменьшается по мере увеличения отношения L/S. Наблюдения показывают, что практически все ФК вымываются после L/S = 10 л/кг, что согласуется с наблюдаемым слабым взаимодействием ФК с реактивными поверхностями, присутствующими в матрице шлака при высоких значениях pH. ГК были определены только в первых фракциях теста с очень низкой концентрацией. Это можно объяснить присутствием значительных количеств двух- и трехвалентных ионов металлов (например, Ca, Al и Fe), снижающих растворимость ГК за счет комплексообразования с последующей коагуляцией.
Результаты инфильтрационных тестов для ТМ и кривые, полученные с помощью модели реактивной миграции [11], представлены на рис. 4.
Рис. 4. Результаты инфильтрационных тестов и прогнозы модели для ФК, Cd, Cu, Mo, Ni, Pb и Zn, выраженные как функция совокупного отношения L/S (л/кг). Стрелки у оси абсцисс — фракции, собранные сразу после прерывания потока (при L/S ~2.2 и 10 л/кг, соответственно). Сплошные линии — прогнозы модели реактивной миграции. Штриховые линии на диаграммах для Cu, Ni, Cd, Pb и Zn — прогнозы модели, рассчитанные для каждой точки данных отдельно. Сплошные серые линии на диаграммах для ФК и Mo — альтернативный сценарий модели с другим набором кинетических параметров. Горизонтальные пунктирные линии — пределы обнаружения [11].
Модель прогнозирует практически полное вымывание ФК из колонки, что следует из прогнозной полной десорбции при значениях pH, близких к естественному pH образца (pH ~11.2; см. рис. 2). Тем не менее концентрации ФК все больше недооцениваются моделью в сторону более высоких отношений L/S. Уточненная модель (серая линия на рис. 4) использует в качестве входных данных совокупное выщелоченное количество ФК вместо расчетной доступности в сочетании с модифицированными параметрами двойной пористости.
Серая линия для Мо на рис. 4 показывает, что миграция этого компонента адекватно описывается с использованием тех же кинетических параметров, что и для ФК. Это сходство позволяет предположить аналогичный процесс выщелачивания для ФК и Mo.
Прогноз модели реактивной миграции для Ni (см. рис. 4) дал адекватные результаты во всем диапазоне L/S. Прогнозы модели для миграции Cd и Cu показывают, что начальные концентрации выщелачивания моделируются адекватно, но при увеличении отношения L/S концентрации становятся все более недооцененными. Прогнозы модели для Pb намного выше измеренных значений при низких L/S и немного лучше при более высоких L/S, где отклонение составляет примерно один порядок. Исключительное поведение наблюдается для Zn, концентрация которого в первой фракции элюата оказалась ниже предела обнаружения.
Дополнительные модельные расчеты показали, что при отношении L/S до 10 л/кг в колонке не происходит значительного удаления “доступной” концентрации металла. Эти расчеты (штриховые линии на рис. 4) дают особое представление о том, в какой степени прогнозные концентрации металлов могут быть улучшены, когда ключевые параметры pH, ФК и ГК прогнозируются в ходе миграции. Использованный модельный сценарий показал лучшее описание процесса выщелачивания для Cu, Ni, Cd, Pb и Zn, но при этом модель реактивной миграции требует уточнения в отношении прогнозирования pH, ФК и ГК.
Наблюдаемое и прогнозное поведение различных металлов авторы исследования [11] объяснили способностью металлов к комплексообразованию. Состав раствора авторы подразделяли на “комплексы с ФК”, “комплексы с ГК”, “неорганические комплексы” и “свободные ионы” (Me2+). Металлы Cu, Cd и Pb, по прогнозам, фактически на 100% образуют комплексы с выщелоченными гумусовыми веществами (ФК и ГК) во всем диапазоне L/S. Роль такого комплексообразования металлов особенно заметна при низких отношениях L/S, когда концентрации ФК и ГК наиболее высоки. Оценка Pb, особенно при низких L/S, сильно завышена (см. также рис. 2). Ni первоначально присутствует в основном в виде комплексов ФК–Ni, но при более высоких отношениях L/S доминирующие виды Ni — это неорганические комплексы. Это объясняет довольно стабильные прогнозные концентрации Ni при увеличении L/S, тогда как концентрации Cd, Cu и Pb точно следуют за непрерывно снижающимися концентрациями ФК. Выщелоченный Zn не обнаруживает значительного взаимодействия с ФК, но в первых нескольких фракциях он, возможно, образует прочные комплексы с низкими концентрациями ГК и, подобно Ni, преимущественно неорганические комплексы при более высоких значениях L/S. Предполагается, что, Cd и Cu также будут проявлять значимое взаимодействие с низкими концентрациями ГК, определенными в фильтратах [11]. Можно сделать вывод, что различия в прогнозном составе между металлами являются результатом их различного сродства к гумусовым веществам и разной способности образовывать гидроксокомплексы, особенно при высоких значениях pH. Для каждого металла в отдельности на видовой состав также влияет относительное различие в сродстве связывания для ГК и ФК.
ОБРАБОТКА ШЛАКА ДЛЯ УМЕНЬШЕНИЯ ВОЗДЕЙСТВИЯ НА ОКРУЖАЮЩУЮ СРЕДУ
Рассмотрим применение для шлака наиболее распространенных методов обработки ОСТКО [1]. Простейшая обработка выдерживанием и выветриванием может значительно изменить химические и минералогические характеристики ОСТКО. Шлак часто захоранивается вместе с отходами в виде покрытия полигонов или на смешанных полигонах, при этом ускоренное выветривание обеспечивает эффективную предварительную обработку для уменьшения его выщелачивания. Кроме того, ускоренная карбонизация также эффективна для вымывания ионов Cl– и, таким образом, может позволить использовать очищенный шлак в строительстве, где требуется низкое содержание хлоридов. Однако исследования [19] показали, что содержание органических загрязнителей (например, ПАУ) в выветрелом шлаке от СТКО превышало местные общие нормативы для чувствительного землепользования. Канцерогенные ПАУ были прочно связаны со шлаком и не поступали в окружающую среду во время размещения на полигоне в небольших объемах на открытом воздухе. Другие исследования показали, что после природного выветривания содержание ООУ в шлаке и фильтрате снизилось до 70% и 40%, соответственно, а затем после ускоренной карбонизации до 55% и 25%, соответственно [19].
В отчете [26] для образцов шлака с трех МСЗ Великобритании представлены результаты тестов выщелачивания при отношении L/S 10 л/кг необработанного, карбонизированного шлака, а также обработанного шлака со смесью деионизированной воды и азотной кислоты (табл. 3).
Таблица 3. Влияние карбонизации и кислотной обработки шлака от СТКО на выщелачивание ТМ (мкг/л) [26]
Металл | Концентрация металлов в элюате при L/S 10 л/кг | ||
необработанный | карбонизированный | обработанный кислотой | |
As | < 1 | < 1 | < 1–4 |
Cd | < 1 | < 1 | < 1–35 |
Cr | 6–20 | 12–30 | 10–35 |
Cu | 500–1300 | 200–600 | 700–2200 |
Mo | 50–70 | 70–90 | 100–110 |
Pb | 1000–4000 | < 1–6 | 2–20 |
Sb | < 10–15 | 20–100 | 100–200 |
Se | < 1 | < 1 | 1–3 |
V | < 10 | < 5–18 | 10–45 |
Zn | 200–1000 | ~10 | 10–11000 |
Обработки сильно повлияли на содержание металлов в элюате. Выщелачивание некоторых металлов уменьшилось за счет обеих обработок (например, Pb). Карбонизация снизила выщелачивание Cu и Zn и резко увеличила выщелачивание Sb. Обработка кислотой значительно увеличила выщелачивание Zn, Cu, Cd, Sb, V, As, Mo. Выщелачивание Cu немного уменьшилось при карбонизации, но увеличилось при кислотной обработке. Обе обработки практически не повлияли на выщелачивание Cr. Обработки понизили значение pH фильтрата (примерно с 12 до 9–11 и 7–10 для карбонизации и кислотной обработки, соответственно). Одно из значительных преимуществ карбонизации перед нейтрализацией кислотой — снижение pH без потери буферирующей способности из-за осаждения кальцита [26].
Возможным решением для минимизации выщелачивания является введение химических реагентов в цементный раствор, смешанный со шлаком [19].
При биовыщелачивании [1] органические вещества (ОВ) в шлаке могут окисляться микроорганизмами в процессе дыхания. Это обеспечивает энергию для роста микроорганизмов и высвобождает углекислый газ, который затем вступает в реакцию со шлаком, дополняя обработку карбонизацией и влияя на выщелачивание металлов. Остаточные ОВ в шлаке способствуют развитию биопленок, которые могут улавливать и связывать токсичные металлы. По сути, микробное дыхание играет решающую роль в стабилизации ОВ. Без него может происходить выщелачивание РОВ и, следовательно, выщелачивание металлов усилится за счет комплексообразования с РОВ [19].
Была изучена электрокинетическая обработка шлака от СТКО [27]. Представлены результаты четырех экспериментов по ремедиации для удаления Pb, Cu, Zn, Cd и хлоридов. После обработки концентрации ЗВ в фильтрате снизились на 31–83%.
Гидротермическая обработка способна отверждать шлак при относительно низкой температуре (150–200C), причем в больших масштабах [19]. Обработка обеспечивает адсорбцию или удерживание ТМ в алюмосиликатных минералах [29]. Тесты выщелачивания показали, что после такой обработки концентрации растворенных ТМ резко уменьшились и стали ниже нормативных уровней [19].
Методы высокотемпературной обработки шлака могут быть использованы для получения экологически устойчивого материала. Такие методы предназначены для уменьшения выщелачивания опасных компонентов, удаления токсичных соединений, уменьшения объема и получения материала, подходящего для использования [18]. Эти методы энергозатратны и более актуальны для ЛЗ; часто термическая обработка применяется к смеси шлака и ЛЗ.
Проводились исследования спекания для шлака от СТКО [6]. Остекловывание шлака с голландского МСЗ изучалось в [30]. Гомогенный стекловидный продукт образовывался при температурах от 1360 до 1500C. В собранном шлаке также присутствовала металлическая фаза. Она состояла в основном из Fe (82 мас. %) и Cu (12 мас. %). Показатели выщелачивания остеклованного продукта были значительно ниже, чем у исходного шлака. Японские исследователи [25] рассмотрели различные технологии плавления для образования стабильного и нетоксичного продукта из шлака и ЛЗ МСЗ.
ИСПОЛЬЗОВАНИЕ И ЗАХОРОНЕНИЕ ШЛАКА ОТ СТКО
Возможности использования шлака
В Европейском Союзе (ЕС) шлак либо захоранивается на полигонах (включая их обустройство), либо используется в секторе гражданского строительства в качестве вторичного сырья. Некоторые страны используют до 100 мас. % минеральной фракции шлака в строительстве, другие страны захоранивают до 100 мас. % этого остатка на полигонах. Такие разные уровни использования могут быть следствием различных барьеров и/или причин, которые могут иметь технический, экологический, экономический или законодательный характер [3].
В ЕС, Норвегии и Швейцарии действуют 463 завода СТКО. Они могут сжигать около 90 млн т/год ТКО и промышленных отходов аналогичного состава. Из этих отходов 17.6 млн т/год переходят в шлаки, что соответствует примерно 20 мас. % годовой мощности сжигания в этих странах. Большинство европейских стран (16 из 22) разрешают использование шлаков за пределами полигонов. Но только 11 пользуются этим разрешением и применяют шлаки на практике. В тех странах, где это практикуется, коэффициент использования шлаков колеблется от 20 до 100 мас. %. С 2015 по 2019 г. в ЕС, Норвегии и Швейцарии примерно 54 мас. % всего произведенного шлака было использовано за пределами полигонов [3].
Шлак от СТКО обычно не относят к опасным отходам, и в многочисленных исследованиях изучалось повторное использование шлака в строительных материалах с позиций экономики замкнутого цикла [22]. Но некоторые исследователи сообщили о высоких уровнях выщелачивания хлоридов и ТМ [23], что может быть препятствием для повторного использования шлака без предварительной обработки [22]. По данным [28], относительно содержания диоксинов шлак современных МСЗ не представляет опасности для окружающей среды и во многих случаях соответствует национальным стандартам качества, что позволяет использовать его в качестве вторичного материала в строительном секторе.
Шлак от СТКО используется в качестве заполнителя в портландцементе. Однако, несмотря на быстрый прогресс в исследованиях ОСТКО, различные эксперты, правительства и общественность по-прежнему придерживаются неоднозначных взглядов на применение таких материалов в строительстве, особенно с учетом экологической устойчивости [29]. Так, при включении шлака в производство портландского клинкера было получено значительное увеличение содержания ТМ в цементе (Cd 310%, Pb 170%, Hg 90%, Zn 70%, Cu 20%) [14]. Содержание As и Cd в полученном бетоне лишь немного ниже предельных значений, установленных законом о рециклинге строительных материалов в Австрии.
Шлак от СТКО также подходит для использования в качестве нежестких, гидравлически связанных или связанных битумом материалов в дорожных покрытиях. Такие приложения получили широкое распространение в Дании, Нидерландах и Бельгии, где отвод ОСТКО с полигонов отходов имеет весьма существенное значение в соответствии с концепцией экономики замкнутого цикла. В [31] показано, что шлак от СТКО в Китае может использоваться в качестве хорошо отсортированного гравия или песка в дорожном строительстве при условии надлежащего решения проблемы выщелачивания ТМ.
Шлак от СТКО в качестве исходного материала для гидротермической обработки при соответствующем соотношении Ca/Al/Si формирует новые минеральные фазы, такие как катоит [Ca3Al2(OH)12], цеолит [Ме2/nOAl2O3 ∙ xSiO2 ∙ yH2O] и тоберморит [Ca5Si6O16(OH)2 ∙ 4H2O]. Эти продукты могут далее использоваться в качестве сорбирующих материалов для удаления органических ЗВ и ионов металлов из воды без значительного риска токсичности [19].
Спекание шлака можно использовать для производства различных видов продукции, например заполнителей бетона или монолитной керамики [6], которая может применяться в качестве промышленной плитки для полов, стен и крыш, облицовки труб и каналов. Авторы [13] показали, что продукт остекловывания шлака итальянского МСЗ можно использовать в качестве заполнителей при производстве строительного раствора и бетона. В [21] изучено остекловывание шлака с двух португальских МСЗ и показано, что полученные стекла могут быть в дальнейшем переработаны в стеклокерамику для использования в строительстве. Отметим, что плавление ОСТКО обычно требует меньше энергии, чем производство силикатного стекла из обычного сырья [2].
Еще одно возможное применение шлака от СТКО: преобразование в пористые адсорбенты. Сообщалось об удовлетворительных характеристиках адсорбции гидротермически обработанным шлаком 3-хлоранилина и триклозана (используются в пестицидах, фармацевтических препаратах и товарах личной гигиены) с максимальной адсорбционной способностью 62.43 мг/г и 42.37 мг/г, соответственно. Также наблюдалась эффективная работа адсорбента, полученного при гидротермической обработке шлака, по отношению к ионам Cu(II) с максимальной адсорбционной емкостью 270.27 мг/г [20]. Такой адсорбент является перспективным для удаления Cu из сточных вод.
ИССЛЕДОВАНИЕ ЗАХОРОНЕНИЯ ШЛАКА НА МОДЕЛЬНЫХ ПОЛИГОНАХ
В Китае шлак от СТКО часто используется на полигонах отходов вместо природных минералов в качестве защитного слоя для сохранения геомембраны от повреждений, промежуточного слоя и дренажного слоя для фильтрата [16]. Однако шлак содержит высокие уровни ТМ. Слой шлака повышает содержание ТМ на полигоне, что может увеличить потенциальную угрозу, если произойдет внезапное выделение, например, Cu и Zn. Тем не менее совместное захоронение шлака с ТКО может и не приводить к увеличению выщелачивания металлов из-за высокой кислотонейтрализующей способности шлака, которая может повысить pH, способствуя удерживанию ТМ.
В исследовании [16] были оборудованы три модельных полигона: традиционный полигон ТКО (R1); полигон с массовым отношением слоя шлака, размещенного в середине тела отходов, к слоям ТКО 1:9 (R2); полигон с массовой долей шлака 2:8 (R3). Отношение 2:8 было выбрано как близкое к практическому соотношению шлака и ТКО в провинции Чжэцзян (Китай). Среди ТМ Cu и Zn вызывают особую озабоченность, поскольку их содержание в шлаке и ТКО относительно высоко. Обсуждалось влияние слоя шлака на разгрузку Cu и Zn и на их содержание в захороненных ТКО. Результат исследования может служить научным ориентиром для контроля загрязнения ТМ, когда шлак используется в качестве защитного слоя, промежуточного слоя или дренажного слоя на полигоне.
Было отмечено высокое значение pH (11.17) в слое шлака, что могло быть связано с высоким содержанием щелочных гидроксидов и минералов Ca, Al, Fe и K, таких как CaCO3, Al2O3 и Fe2O3. Содержание Cu и Zn в шлаке составляло 314.6 и 1922.0 мг/кг, соответственно; для сравнения в Швейцарии 4000 и 3500 мг/кг, в Японии 2818 и 4229 мг/кг, соответственно. При использовании в качестве покрытия слой шлака значительно увеличивал содержание Cu и Zn в телах полигонов R2 и R3.
Концентрации меди в фильтратах R1, R2 и R3 в течение первых 150 сут снижались. Начальная концентрация Cu в фильтрате была относительно высока — около 3.1 мг/л. Считается, что в начале эксперимента бóльшая часть нестабильной меди в шлаке и ТКО склонна вымываться. В конце исследования (230 сут) концентрация Cu вновь немного повысилась, примерно на 0.7 мг/л. Это может быть результатом разложения ТКО с выщелачиванием части Cu, связанной с ОВ. Концентрация Cu в фильтрате превышала Стандарт разгрузки сточных вод Китая (≤ 0.5 мг/л) до 59-х суток и после 144 суток. Примерно одинаковое поведение Cu для трех полигонов, видимо, связано с высоким уровнем содержания в ТКО органических лигандов. Фракционирование Cu в фильтратах показывает, что почти вся Cu присутствует в виде твердых частиц и коллоидного вещества (> 0.45 мкм) и нелабильного комплекса. Это означает, что бóльшая часть меди в фильтрате связана с ОВ. Общая разгрузка Cu из R1, R2 и R3 примерно одинакова и показывает, что слой шлака не может влиять на разгрузку меди с полигона [16].
Содержание меди в слое ТКО трех модельных полигонов в течение периода исследования быстро снижалось и затем медленно повышалось. Среднее содержание Cu в этом слое соответствовало порядку R3 > R2 > R1 — в соответствии с массовыми долями шлака. Таким образом, шлак от СТКО может увеличивать содержание Cu в слое ТКО под ним. Фактически, содержание Cu в ТКО полигона R1 уже превышало Стандарт для почв Китая (≤ 50 мг/кг) [16].
Концентрация цинка в фильтратах снижалась в течение первых 144 суток, далее до 200-х суток повышалась, затем вновь наблюдалась тенденция к снижению. Результаты исследования показали, что разгрузка Zn с полигона зависит от массовой доли шлака. Когда она недостаточно высока для нейтрализации кислых условий, разгрузка Zn будет заметно увеличиваться. Напротив, когда массовая доля шлака достаточно высока для нейтрализации кислых условий, разгрузка Zn может уменьшиться. В течение периода исследования концентрация Zn в трех фильтратах превышала Стандарт разгрузки сточных вод Китая (≤ 1.0 мг/л). Слой шлака с массовой долей 10% еще больше увеличивал экологическую опасность от Zn в фильтрате [16].
Среднее содержание цинка в слое ТКО под шлаком после 77-х суток соответствовало последовательности R3 > R2 > R1.
Таким образом, слой шлака от СТКО может увеличить содержание Cu и Zn в расположенном под ним слое отходов в теле полигона. Это может означать, что ТКО обладают высокой адсорбционной способностью по отношению к ТМ, включая Cu и Zn. На адсорбцию сильно влияет pH. Низкий pH может уменьшить связывание металлов с ТКО. Поэтому слой шлака может увеличить потенциальную угрозу от полигона. После кислотного дождя ТМ в ТКО могут выщелачиваться.
Разгрузка Zn с полигона зависит от массовой доли шлака. Когда она составляет по отношению к ТКО 1:9, что недостаточно для нейтрализации кислых условий, разгрузка Zn увеличивается. Но выделение Zn можно уменьшить, если массовая доля слоя шлака относительно ТКО составит 2:8, что позволит нейтрализовать кислые условия. В отличие от Zn, разгрузка Cu мало зависит от слоя шлака из-за высокого сродства Cu к органическим лигандам. Содержание ОВ достаточно велико на всех трех модельных полигонах, что привело к сходному поведению Cu при выщелачивании. Со временем медь и цинк выщелачиваются из слоя шлака и затем удерживаются ТКО, находящимися под шлаком. В результате их содержание в этой части полигона увеличивается. Следовательно, слой шлака от СТКО может повысить потенциальную угрозу полигона для окружающей среды [16].
НОРМАТИВНЫЕ ОГРАНИЧЕНИЯ ПРИ ИСПОЛЬЗОВАНИИ ИЛИ ЗАХОРОНЕНИИ ШЛАКА
В ЕС приняты правила, составляющие правовую основу для операций по обращению с отходами. Эти правила на уровне ЕС служат ориентиром для минимизации воздействия на окружающую среду и здоровье человека в результате деятельности по обращению с отходами. Хотя указанные правила должны применяться всеми членами союза, государства могут принимать собственные индивидуальные законодательства в этих рамках. В некоторых странах действуют руководящие принципы, другие приняли законодательные акты (постановления, указы, приказы и т. д.), а в Португалии власти решают индивидуально в каждом конкретном случае [3].
Директива 2010/75/EU о промышленных эмиссиях [12] юридически обязательна для всех стран-членов ЕС. Ее минимальными требованиями являются, например, рабочие условия, обеспечивающие надлежащую конверсию отходов; так что образующийся шлак либо имеет общее содержание органического углерода ниже 3 мас. %, либо потеря при прокаливании составляет менее 5 мас. %. Кроме того, директива требует, чтобы оператор МСЗ сводил к минимуму количество и опасность ОСТКО и, при необходимости, перерабатывал их на месте или за его пределами. Предварительно должны быть оценены химические и физические свойства и потенциал загрязнения, включая определение общей растворимой фракции и растворимой фракции ТМ. Помимо этих минимальных требований, в данном документе не определены более подробные параметры.
Остатки от сжигания отходов сами считаются отходами и, следовательно, подпадают под действие Решения Комиссии ЕС 2014/955/EU [7]. В этом решении устанавливается так называемый Список отходов (LoW), который определяет типы отходов и классифицирует их как опасные или неопасные. Относительно шлака от СТКО основное значение имеют три позиции в LoW: 19 01 02 — черные металлы, удаленные из шлака, 19 01 11 — донная зола и шлак, содержащие опасные вещества, и 19 01 12 — донная зола и шлак, кроме указанных в 19 01 11. Следовательно, шлак должен быть проверен, обладает ли он каким-либо из 15 опасных свойств, указанных в Регламенте Комиссии ЕС № 1357/2014 [8], и должно быть оценено, присутствуют или превышают ли стойкие органические загрязнители уровни, указанные в Регламенте ЕС № 850/2004 [24].
Однако для использования шлака в качестве вторичного сырья в строительном секторе не существует согласованного метода тестирования и соответствующих предельных значений на уровне ЕС; в результате разные государства разработали собственные правила. Поскольку напрямую сравнивать предельные значения выщелачивания непрактично из-за различных методов тестирования, необходимо было найти общую базу. Такой общей базой являются требования ЕС к выщелачиванию материалов на полигонах инертных отходов — табл. 4. Хотя эти типы полигонов: а) не предназначены для захоронения остатков сжигания, и б) критерии для захораниваемых материалов полностью основаны на сценарии, отличном от использования материала в сооружениях, это все же приемлемый выбор.
Таблица 4. Предельные значения содержания ТМ для приема на полигоны для инертных отходов в ЕС [9]
Тест выщелачивания: | Серийные тесты (высвобождение на единицу веса отходов) | Инфильтрационный тест (концентрация в фильтрате) | |
L/S, л/кг: | 2 | 10 | 0.1 (первый элюат) |
Единица измерения: | мг/кг сух. вес | мг/кг сух. вес | мг/л |
As | 0.1 | 0.5 | 0.06 |
Ba | 7 | 20 | 4 |
Cd | 0.03 | 0.04 | 0.02 |
Cr (общий) | 0.2 | 0.5 | 0.1 |
Cu | 0.9 | 2 | 0.6 |
Hg | 0.003 | 0.01 | 0.002 |
Mo | 0.3 | 0.5 | 0.2 |
Ni | 0.2 | 0.4 | 0.12 |
Pb | 0.2 | 0.5 | 0.15 |
Sb | 0.02 | 0.06 | 0.1 |
Se | 0.06 | 0.1 | 0.04 |
Zn | 2 | 4 | 1.2 |
Соответствие предельным значениям для полигонов инертных отходов может быть определено с помощью серийного теста при отношении L/S, равном 2 или 10 л/кг, и инфильтрационного теста при L/S = 0.1 л/кг [9]. Поэтому для полигонов инертных отходов были установлены конкретные предельные значения для этих трех тестов. Предполагалось, что эти предельные значения приведут к равным уровням защиты для почвы и грунтовых вод [3].
ЗАКЛЮЧЕНИЕ
При сжигании твердых коммунальных отходов (СТКО) образуются так называемые твердые остатки (ОСТКО), которые необходимо обрабатывать дополнительно. Производятся два основных типа ОСТКО: шлак и летучая зола. Шлак содержит значительно меньше токсичных веществ, чем ЛЗ. Поэтому проблемы выщелачивания загрязнителей, способы обработки для снижения воздействия на окружающую среду, поведение при захоронении, нормативные ограничения для шлака необходимо исследовать отдельно от ЛЗ.
Шлак от СТКО повторно используется во многих странах в производстве строительных материалов. Он обладает сложными физико-химическими характеристиками и метастабильным минералогическим составом, значительно обогащен потенциально токсичными микроэлементами (например, ТМ), по сравнению с исходным материалом отходов. При использовании в качестве заполнителя или другого строительного материала шлак будет часто подвергаться воздействию окружающей среды; поэтому следует проявлять осторожность с потенциалом высвобождения ТМ из шлака. Могут иметь место повышенные концентрации некоторых ТМ в фильтрате. Значения pH обычно высоки (pH 8.5–11.5). Карбонизация (взаимодействие с углекислым газом) действует как природный процесс стабилизации для многих ТМ. Поэтому выделение ТМ из выветрелого шлака обычно не считается серьезной проблемой.
Для снижения выщелачивания загрязняющих веществ при захоронении или использовании шлака исследуются и применяются различные методы обработки: выдерживание и выветривание, ускоренная карбонизация, обработка кислотой, введение химических реагентов, биовыщелачивание, электрокинетическая, гидротермическая или высокотемпературная обработка (спекание, остекловывание, плавление).
При изучении поведения шлака при захоронении на полигонах ТКО был сделан вывод, что слой шлака от СТКО может повысить потенциальную угрозу полигона для окружающей среды. Результат исследования может служить научным ориентиром для контроля загрязнения ТМ, когда шлак используется в качестве защитного слоя, промежуточного слоя или дренажного слоя фильтрата на полигоне.
Европейский Союз (ЕС) принял правила, составляющие правовую основу для операций по обращению с отходами. Директива 2010/75/EU о промышленных эмиссиях требует сводить к минимуму количество и опасность остатков СТКО и, при необходимости, перерабатывать их. Перед переработкой должны быть оценены химические и физические свойства и потенциал загрязнения, включая определение общей растворимой фракции и растворимой фракции ТМ. В качестве предельных значений для безопасности шлака от СТКО приняты требования ЕС к выщелачиванию материалов на полигонах инертных отходов.
Для обеспечения экологически безопасного использования шлака от СТКО необходимо тщательно изучить высвобождение солей, металлов и металлоидов в предполагаемом сценарии повторного использования.
Статья подготовлена в рамках выполнения государственного задания ИГЭ РАН по теме НИР № г. р. 122022400104-2 “Техногенез и природа: геоэкологические проблемы”.
1 В технологическом процессе сжигания донная зола обычно перемешивается со шлаком — несгоревшим остатком ТКО, и не выделяется в отдельную категорию при классификации твердых остатков МСЗ [3].
2 Естественный pH — исходное значение pH материала без добавления кислоты или основания.
作者简介
T. Yuganova
Sergeev Institute of Environmental Geoscience RAS
编辑信件的主要联系方式.
Email: tigryu@gmail.com
俄罗斯联邦, Ulanskii per.13, str. 2, Moscow, 101000
V. Putilina
Sergeev Institute of Environmental Geoscience RAS
Email: vputilina@yandex.ru
俄罗斯联邦, Ulanskii per.13, str. 2, Moscow, 101000
参考
- Юганова Т. И. Остатки от сжигания твердых коммунальных отходов: состав, выщелачивание загрязнителей подземных вод, обработка для уменьшения воздействия на окружающую среду // Геоэкология. 2023. № 5. С. 65–78 (Yuganova T. I., Putilina V. S. [Residues from municipal solid waste incineration: composition, groundwater pollutant leaching, and treatment to reduce environmental impact]. Geoekologiya, 2023, no. 5, pp. 65–78.).
- Bingham, P.A., Hand, R. J. Vitrification of toxic wastes: a brief review. Advances in Applied Ceramics, 2006, vol. 105, no. 1, pp. 21–31.
- Blasenbauer, D., Huber, F., Lederer, J., et al. Legal situation and current practice of waste incineration bottom ash utilisation in Europe. Waste Management, 2020, vol. 102, pp. 868–883.
- CEN/TS14405:2004. Characterization of Waste — Leaching Behaviour Tests — Up-Flow Percolation Test (Under Specified Conditions) / European Committee for Standardization (CEN), 2017, 6 pp. URL: https://infostore.saiglobal.com/preview/258632207872.pdf?sku=880328_SAIG_NSAI_NSAI_2091468 (date of access: 02/05/2023).
- CEN/TS14997:2006. Characterization of waste — Leaching behaviour tests — Influence of pH on leaching with continuous pH-control, 2015. URL: https://www.evs.ee/en/cen-ts-14997–2006 (date of access: 02/05/2023).
- Cheeseman, C.R., Monteiro, da Rocha S., Sollars, C., et al. Ceramic processing of incinerator bottom ash. Waste Management, 2003, vol. 23, no. 10, pp. 907–916.
- Commission Decision of 18 December 2014 amending Decision 2000/ 532/EC on the list of waste pursuant to Directive 2008/98/EC of the European Parliament and of the Council (Text with EEA relevance). (2014/ 955/EU). Official Journal of the European Communities, 30.12.2014, L 370, pp. 44–86. URL: https://eur-lex.europa.eu/legal-content/EN/TXT/?uri=celex%3A32014D0955 (date of access: 2/05/2023).
- Commission Regulation (EU) No 1357/2014 of 18 December 2014 replacing Annex III to Directive 2008/98/EC of the European Parliament and of the Council on waste and repealing certain Directives (Text with EEA relevance). Official Journal of the European Communities, 19.12.2014, L 365, pp. 89–96. URL: https://eur-lex.europa.eu/legal-content/EN/TXT/?uri=CELEX%3A32014R1357 (date of access: 02/05/2023).
- Council Decision of 19 December 2002 establishing criteria and procedures for the acceptance of waste at landfills pursuant to Article 16 of and Annex II to Directive 1999/31/EC. European Council (2003/33/EC). Official Journal of the European Communities. 16.1.2003, L 11, pp. 29–49. URL: https://eur-lex.europa.eu/legal-content/EN/TXT/?uri=celex%3A32003D0033 (date of access: 02/05/2023).
- Di Gianfilippo, M., Hyks, J., Verginelli, I., Costa, G., et al. Leaching behaviour of incineration bottom ash in a reuse scenario: 12 years-field data vs. lab test results. Waste Management, 2018, vol. 73, pp. 367–380.
- Dijkstra, J.J., Meeussen, J.C., van der Sloot, H.A., Comans, R.N. A consistent geochemical modelling approach for the leaching and reactive transport of major and trace elements in MSWI bottom ash. Applied Geochemistry, 2008, vol. 23, no. 6, pp. 1544–1562.
- Directive 2010/75/EU of the European parliament and of the Council of 24 November 2010 on industrial emissions (integrated pollution prevention and control) (Recast) (Text with EEA relevance). Official Journal of the European Communities, 17.12.2010, L 334, pp. 17–119. URL: https://eur-lex.europa.eu/legal-content/EN/TXT/?uri=CELEX:32010L0075 (date of access: 02/05/2023).
- Ferraris, M., Salvo, M., Ventrella, A., Buzzi, L., Veglia, M. Use of vitrified MSWI bottom ashes for concrete production. Waste Management, 2009, vol. 29, no. 3, pp. 1041–1047.
- Holm, O., Simon, F. G. Innovative treatment trains of bottom ash (BA) from municipal solid waste incineration (MSWI) in Germany. Waste Management, 2017, vol. 59, pp. 229–236.
- Hykš, J. Leaching from Municipal Solid Waste Incineration Residues. Ph.D. thesis / Technical University of Denmark, Department of Environmental Engineering, 2008, 64 pp. URL: https://www.osti.gov/etdeweb/servlets/purl/961973 (date of access: 02/05/2023).
- Kong, Q., Yao, J., Qiu, Z., Shen, D. Effect of mass proportion of municipal solid waste incinerator bottom ash layer to municipal solid waste layer on the Cu and Zn discharge from landfill. BioMed Research International, 2016, vol. 2016, Iss. 9687879.
- Lam, C.H.K., Ip A. W.M., Barford J. P., McKay G. Use of incineration MSW ash: A review. Sustainability, 2010, vol. 2, no. 7, pp. 1943–1968.
- Lindberg D., Molin, C., Hupa, M. Thermal treatment of solid residues from WtE units: a review. Waste Management, 2015, vol. 37, pp. 82–94.
- Luo, H., Cheng, Y., He, D., Yang, E.-H. Review of leaching behavior of municipal solid waste incineration (MSWI) ash. Science of the Total Environment, 2019, vol. 668, pp. 90–103.
- Luo, H., He, D., Zhu, W., Wu, Y., Chen, Z., Yang, E.-H. Humic acid-induced formation of tobermorite upon hydrothermal treatment with municipal solid waste incineration bottom ash and its application for efficient removal of Cu(II) ions. Waste Management, 2019, vol. 84, pp. 83–90.
- Monteiro, R.C.C., Figueiredo, C.F., Alendouro, M.S., et al. Characterization of MSWI bottom ashes towards utilization as glass raw material. Waste Management, 2008, vol. 28, no. 7, pp. 1119–1125.
- Nikravan, M., Ramezanianpour, A.A., Maknoon, R. Study on physiochemical properties and leaching behavior of residual ash fractions from a municipal solid waste incinerator (MSWI) plant. Journal of Environmental Management, 2020, vol. 260, Iss. 110042.
- Quina, M.J., Bordado, J.C., Quinta-Ferreira, R.M. Treatment and use of air pollution control residues from MSW incineration: An overview. Waste Management, 2008, vol. 28, no. 11, pp. 2097–2121.
- Regulation (EC) No 850/2004 of the European Parliament and of the Council of 29 April 2004 on persistent organic pollutants and amending Directive 79/117/EEC. Official Journal of the European Communities, 30.4.2004, L 158, pp. 7–49. URL: https://eur-lex.europa.eu/legal-content/EN/TXT/?uri=celex%3A32004R0850 (date of access: 02/05/2023).
- Sakai, S.-I., Hiraoka, M. Municipal solid waste incinerator residue recycling by thermal processes. Waste Management, 2000, vol. 20, no. 2–3, pp. 249–258.
- Testing of Residues from Incineration of Municipal Solid Waste: Science report P1–494/SR2 / Environment Agency, UK, 2004, 126 pp. URL: https://assets.publishing.service.gov.uk/government/uploads/system/uploads/attachment_data/file/290379/scho0105bijb-e-e.pdf (date of access: 02/05/2023).
- Traina, G., Morselli, L., Adorno, G.P. Electrokinetic remediation of bottom ash from municipal solid waste incinerator. Electrochimica Acta, 2007, vol. 52, no. 10, pp. 3380–3385.
- Vehlow, J., Bergfeldt, B., Hunsinger, H. PCDD/F and related compounds in solid residues from municipal solid waste incineration — a literature review. Waste Management & Research, 2006, vol. 24, no. 5, pp. 404–420.
- Wong, S., Mah, A.X.Y., Nordin, A.H., et al. Emerging trends in municipal solid waste incineration ashes research: a bibliometric analysis from 1994 to 2018. Environmental Science & Pollution Research, 2020, vol. 27, no. 8, pp. 7757–7784.
- Xiao, Y., Oorsprong M., Yang, Y., Voncken, J.H.L. Vitrification of bottom ash from a municipal solid waste incinerator. Waste Management, 2008, vol. 28, no. 6, pp. 1020–1026.
- Xie, R., Xu, Y., Huang, M., Zhu, H., Chu, F. Assessment of municipal solid waste incineration bottom ash as a potential road material. Road Materials & Pavement Design, 2017, vol. 18, no. 4, pp. 992–998.
- Zhang, H., He, P.-J., Shao, L.-M., Li, X.-J. Leaching behavior of heavy metals from municipal solid waste incineration bottom ash and its geochemical modeling. Journal of Material Cycles & Waste Management, 2008, vol. 10, no. 1, pp. 7–13.
补充文件






