Оценка водного и солевого баланса свалочного тела методом моделирования на примере полигона ТКО в г. Дубна
- Авторы: Позднякова И.А.1
-
Учреждения:
- Институт геоэкологии им. Е.М. Сергеева РАН
- Выпуск: № 2 (2024)
- Страницы: 66-75
- Раздел: МОДЕЛИ В ИНЖЕНЕРНОЙ ГЕОЛОГИИ И ГИДРОГЕОЛОГИИ
- URL: https://journal-vniispk.ru/0869-7809/article/view/264603
- DOI: https://doi.org/10.31857/S0869780924020066
- EDN: https://elibrary.ru/DZPDHR
- ID: 264603
Цитировать
Полный текст
Аннотация
Для прогноза миграции в подземных водах загрязняющих веществ, поступающих из свалочных тел на полигонах складирования твердых коммунальных бытовых отходов (полигон ТКО), необходимы данные об интенсивности инфильтрационного питания и концентрации загрязняющих веществ во влаге, поступающей на уровень подземных вод (УПВ). Показано, как неопределенность и недостаточность информации о свалочном теле влияют на оценку этих параметров, в каких случаях возможно использование информации об объекте-аналоге, как тестовые расчеты помогают проверить гипотезы формирования загрязнения подземных вод под свалочным телом. На примере полигона ТКО в г. Дубна показано, что для оценки инфильтрационного питания можно использовать программу HELP по расчету влагопереноса в ненасыщенной зоне, а для оценки концентрации хлорид-иона во влаге, поступающей на уровень подземных вод, − программу VS2DT по расчету миграции загрязняющих веществ с влагой в ненасыщенной зоне. Полученные в результате расчетов водного и солевого баланса свалочного тела на полигоне ТКО в Дубне диапазоны величины инфильтрационного питания и концентраций хлорид-иона в инфильтрующейся влаге под свалочным телом были в дальнейшем использованы для моделирования переноса хлорид-иона в подземных водах.
Ключевые слова
Полный текст
ВВЕДЕНИЕ
Влияние свалочных тел на полигонах твердых коммунальных отходов (ТКО) на подземные воды заключается в том, что они долгие годы могут поставлять вместе с фильтратом в подземные воды загрязняющие вещества (ЗВ). Фильтрат – влага, образующаяся при просачивании атмосферных осадков через толщу отходов и стекающая на уровень подземных вод (УПВ) под свалкой. ЗВ поступают в фильтрат из отходов в результате простых реакций их растворения или сложных биохимических процессов разложения. При поступлении фильтрата на УПВ под свалочным телом происходит его разбавление чистыми водами, поступающими с соседних участков. Далее ЗВ переносятся потоком подземных вод в направлении их движения.
Степень влияния свалочного тела на загрязнение подземных вод определяется количеством фильтрата, концентрацией ЗВ в нем, степенью разбавления чистыми подземными водами, скоростью и дальностью переноса ЗВ с потоком. Для прогноза переноса загрязнения подземными водами необходимо оценить количество фильтрата и концентрации ЗВ в нем. Количество влаги, являющееся инфильтрационным питанием и поступающее на УПВ, можно рассчитать, как статью водного баланса свалочного тела при помощи программы [11]. Программа HELP была создана для составления и обоснования проектов свалок, но широко используется и для оценок утечек фильтрата в подземные воды [4–8].
Зная инфильтрацию и концентрацию ЗВ в фильтрате, можно рассчитать концентрацию ЗВ во влаге, достигающей УПВ, с помощью программы VS2DT по расчету миграции ЗВ в ненасыщенной зоне [9], а в дальнейшем использовать полученные величины для прогноза миграции ЗВ в подземных водах.
В качестве объекта исследования был выбран полигон ТКО “Дубна Правобережная”, который находится в Городском округе Дубна на северо-западе Московской области. Полигон функционировал 30 лет, за это время на площади 42000 м2 было складировано около 400 000 т ТКО. По данным инженерно-геологических изысканий, проводившихся при разработке проекта рекультивации полигона, высота свалочного тела в центральной части составляла 17–19 м, на периферии – от 1 до 5 м. Свалочное тело представляет собой чередование слоев отходов мощностью 5 м и суглинков мощностью 0.5–0.6 м. ТКО состоят из пластика, стекла, металла, древесины, текстиля, бумаги, пищевых остатков и других органических отходов. С поверхности свалочное тело перекрыто песчано-глинистым грунтом мощностью 0.6 м.
РАСЧЕТ ВОДНОГО БАЛАНСА СВАЛОЧНОГО ТЕЛА
Методика исследований
Кроме атмосферных осадков, в фильтрат свалочного тела поступает влага из отходов, как удерживаемая и высвобождающаяся при их уплотнении, и как продукт биохимических реакций [7]. Кроме того, свалочное тело часто поливают с поверхности водой для избежания возгорания. Влага, поступающая в фильтрат из перенасыщенных отходов, может быть основным источником водного баланса свалок, если месячные объемы фильтрата в несколько раз превышают месячные атмосферные осадки. В полузасушливых и засушливых регионах образование фильтрата связано главным образом с биохимическими процессами [10].
В данном исследовании при расчете водного баланса свалочного тела предполагается, что источником фильтрата являются атмосферные осадки, и никакие другие источники и механизмы образования фильтрата не учитывались.
На количество фильтрата, образующегося за счет атмосферных осадков, влияют плотность, влажность и коэффициент фильтрации отходов. При проведении полевых исследований свалочных тел в разное время в нескольких странах было отмечено увеличение плотности и снижение проницаемости отходов по глубине [12], а также наличие нескольких зон в свалочном теле по направлению от центра к краям с разными профилями влажности и способностью задерживать влагу [10]. Так как параметры ТКО на полигоне в Дубне не определялись, то в расчетах водного баланса использованы данные, приводимые в публикациях и базах данных, а изменения параметров свалочного тела с глубиной и по площади не учитывались.
Расчет водного баланса свалочного тела на полигоне ТКО в Дубне выполнен при помощи программы HELP, которая представляет гидрологическую модель водного баланса полигонов (открытых и закрытых с поверхности) и других сооружений складирования ТКО. Программа разработана в США Агентством по охране окружающей среды (US EPA) для выбора и проектирования оптимальной конструкции полигона ТКО в отношении обеспечения минимальных утечек фильтрата в подземные воды на основе анализа водного баланса свалочного тела. Программа позволяет учесть в конструкции полигонов различные комбинации составляющих его элементов: растительность, насыпной грунт, отходы, боковой дренаж, изолирующие грунты с низкой проницаемостью и синтетические геомембранные вкладыши.
В балансовых расчетах предполагается, что атмосферные осадки, попадающие на поверхность свалочного тела (в том числе в результате снеготаяния), сначала тратятся на поверхностный сток, затем на эвапотранспирацию (поглощение влаги растениями и испарение с поверхности растений и свалки) и впитывание влаги почвой. Оставшаяся после этого влага стекает под действием гравитации к основанию свалки или до дренирующих слоев.
Для расчета водного баланса используется около 10 расчетных модулей и 3 блока данных: климатический; свойства материала, составляющего свалочное тело и пород зоны аэрации; проектные решения организации полигона (покрытие, изоляция, дренаж).
Расчет водного баланса начинается с климатического блока. Водный баланс свалочного тела рассчитывается посуточно, что требует задания для каждых суток расчетного периода климатических данных: осадки, температура воздуха, инсоляция. Специальная программа в климатическом модуле Weather Generator позволяет на основе имеющихся за годовой период среднемесячных температур воздуха и осадков стохастически сгенерировать посуточные климатические данные для расчетного периода любой продолжительности.
Движение влаги в свалочном профиле рассматривается как квазидвумерное:
- вертикальное − гравитационное стекание через насыпные грунты, свалочное тело, слабопроницаемые грунты и изолирующие искусственные мембраны;
- горизонтальное – в слоях, дренирующих свалочное тело.
Гравитационное стекание рассчитывается по закону Дарси для зоны неполного насыщения, при этом для связи коэффициента фильтрации с коэффициентом влагопереноса и высоты всасывания с влажностью используется соотношение Брукса-Кори. Для расчета переноса влаги программа HELP содержит большую базу данных гидрофизических свойств (общая пористость, полевая влагоемкость, влажность увядания и коэффициент фильтрации в условиях насыщения и др.) более 42-х типов материалов, составляющих свалочное тело: отходов, пород, геомембран.
В выполненных расчетах водного баланса свалочного тела на полигоне в Дубне для получения среднемноголетних значений количества осадков, поверхностного стока, эвапотранспирации и инфильтрации расчетный период составлял 100 лет. Для генерации суточных показателей осадков и температуры в течение 100 лет были использованы данные метеостанции № 27612, расположенной в г. Москва на территории Выставки достижений народного хозяйства, по месячным осадкам и температуре, осредненным за последние 60 лет (табл. 1).
Таблица 1. Среднемноголетние месячные осадки и температура*
Месяц | I | II | III | IV | V | VI | VII | VIII | IX | X | XI | XII |
Осадки, мм | 49.2 | 40.4 | 36.9 | 40.5 | 56.1 | 75.7 | 88.7 | 78.1 | 67.5 | 65.3 | 55.6 | 53.1 |
T, °С | –10.2 | –9.2 | –4.3 | 4.4 | 11.9 | 16 | 18.1 | 16.3 | 10.7 | 4.3 | –1.9 | –7.3 |
*Источник информации: доступ к данным (meteo.ru).
Результаты расчета водного баланса выводятся программой для каждых суток, месяца, года и суммарно за расчетный период. Пример сгенерированных программой в многолетнем разрезе годовых осадков показан на рис. 1.
Рис. 1. Годовое количество осадков в Москве в течение 100-летнего периода, мм.
При расчетах водного баланса профиль свалочного тела принимался в двух вариантах: (1) состоящий полностью из отходов и (2) в виде переслаивания отходов и слабопроницаемых суглинков. То есть вариант 2 был близок к реальному строению свалочного тела (рис. 2).
Рис. 2. Строение свалочного тела (вар. 2): 1 – песчано-глинистый насыпной грунт; 2 – отходы; 3 – насыпной суглинок; 4 – суглинок моренный; 5 – уровень подземных вод.
Расчетный профиль ненасыщенной зоны включал 9 слоев до кровли водоносного горизонта, из них 8 – в свалочном теле, и 1 – в моренных суглинках (табл. 2). Гидрофизические характеристики слоев подбирались из базы данных HELP, публикаций и результатов инженерно-геологических исследований при рекультивации полигона ТКО в Дубне.
Таблица 2. Расчетный профиль ненасыщенной зоны свалочного тела (вар. 2)
Номер слоя | Тип материала | Мощность, м | Коэффициент фильтрации, м/сут | Источник информации* |
1 | Песчано-глинистый насыпной грунт | 0.6 | 0.44 | А |
2 | Отходы | 1.0 | 0.78 | Б |
3 | Суглинок насыпной | 0.6 | 0.1 | А |
4 | Отходы | 6.0 | 0.78 | Б |
5 | Суглинок насыпной | 0.6 | 0.1 | А |
6 | Отходы | 5.7 | 0.78 | Б |
7 | Суглинок насыпной | 1.0 | 0.1 | А |
8 | Отходы | 2.7 | 0.78 | Б |
9 | Суглинок моренный | 1.4 | 0.002 | В |
*А – база данных HELP; Б – [8]; В – инженерно-геологические изыскания.
Как выглядят расчетный профиль и результаты расчета водного баланса свалочного тела в программе HELP показано на рис. 3, посуточная динамика изменения количества осадков и инфильтрации за столетний период – на рис. 4.
Рис. 3. Расчетный профиль свалочного тела и результаты расчета водного баланса (вар. 2).
Рис. 4. Результаты расчета суточных осадков (1) и инфильтрации (2) в течение 100 лет (вар. 2).
Результаты и их обсуждение
Результаты расчета годового водного баланса свалочного тела для двух вариантов его строения, осредненные за столетний период, представлены в табл. 3.
Таблица 3. Среднемноголетний водный баланс свалочного тела
Статьи водного баланса | Вариант 1 | Вариант 2 | ||
мм | % | мм | % | |
Осадки | 734 | 100 | 734 | 100 |
Поверхностный сток | 146 | 20 | 176 | 24 |
Эвапотранспирация | 413 | 56 | 391 | 53 |
Фильтрация вниз к основанию свалочного тела (инфильтрация) | 175 | 24 | 167 | 23 |
Максимальное количество осадков расходуется на эвапотраспирацию (53–56%), остальное – практически поровну на поверхностный сток (20–24%) и инфильтрацию (23–24%). Сравнение результатов расчета водного баланса, полученных для двух вариантов строения свалочного тела, показывает, что если отходы переслаиваются слабопроницаемыми суглинками, то в среднемноголетнем разрезе интенсивность инфильтрации и эвапотранспирации несколько уменьшается, а поверхностный сток увеличивается.
Полученные результаты расчета водного баланса свалочного тела на полигоне ТКО в Дубне в целом не противоречат сведениям, приведенным в научных публикациях. Так, эвапотранспирация может составлять от 30 до 70%, поверхностный сток от 25 до 40%, интенсивность инфильтрации до 43% от осадков за год [4–6, 8]. Сравнение абсолютных величин показывает, что рассчитанное при помощи Weather Generator и осредненное за столетний период годовое количество осадков 734 мм (см. табл. 3, вар. 2) превышает данные метеостанции № 27612 (639 мм). Величина эвапотранспирации 391–413 мм/год получена с учетом характерной для свалочного тела на полигоне в Дубне бедной растительности и преобладания физического испарения с его поверхности, засыпанной слабопроницаемыми задерживающими влагу суглинистыми грунтами. Она хорошо согласуется с характерной для Московского региона величиной эвапотранспирации 373–465 мм/год для разного типа почв [1]. Величина поверхностного стока 146–176 мм/год является максимально возможной, так как свалочное тело на полигоне в Дубне перекрыто с поверхности слабопроницаемыми грунтами, а крутизна его склонов достаточная, чтобы сток был возможен со всей его поверхности.
Величина инфильтрации составила 167–175 мм/год, что превышает рассчитанные при помощи программы HYDRUS для близкой климатической зоны значения естественной инфильтрации 60–100 мм/год [2]. Для участков с мощностью свалочного тела 3–5 м рассчитанное при помощи HELP значение инфильтрационного питания составило 100 мм/год. Полученное в расчетах количество влаги, поступающей на УПВ под свалочным телом, превышает интенсивность инфильтрации, оцененную для естественных условий. Такая ситуация допустима для свалочных тел в нашей климатической зоне, так как инфильтрационное питание под ними может составлять до 50–60% от годовых осадков [10].
Таким образом, в дальнейших расчетах концентраций ЗВ, поступающих на УПВ, диапазон значений интенсивности инфильтрационного питания был принят от минимальных значений, близких к естественным в данной климатической зоне, до максимальных, составляющих более 40% от годовой суммы осадков, т.е. от 100 до 400 мм/год.
РАСЧЕТ КОНЦЕНТРАЦИЙ ХЛОРИД-ИОНА, ПОСТУПАЮЩИХ ИЗ СВАЛОЧНОГО ТЕЛА
Методика исследований
Для расчета концентраций ЗВ в фильтрате, поступающем на УПВ под свалочным телом, был выбран консервативный элемент хлорид-ион, не вступающий в реакции с другими веществами и породами. Концентрация хлорид-иона (Cl–) снижается во влаге зоны аэрации и подземных водах только в результате уменьшения его концентрации в источнике поступления и разбавления чистой влагой.
Концентрация Cl– в фильтрате является также одним из индикаторов геохимической стабильности свалочного тела, наряду с химическим и биологическим потреблением кислорода и концентрацией иона аммония [3]. Cl– поступает во влагу (фильтрат) в течение всего срока существования свалочного тела в результате процессов дехлорирования хлорсодержащих органических соединений и растворения водорастворимых компонентов пищевых отходов, текстиля, бумаги, картона и т.д. Наблюдения показали, что максимальные концентрации Cl– в фильтрате наблюдаются в первые 5–6 лет существования полигона. Затем за счет поступления чистых атмосферных осадков и уменьшения растворимых хлорсодержащих соединений в отходах в течение 15–20 лет (по данным полевых исследований) и 25–30 лет (по данным лабораторных экспериментов) происходит снижение концентраций Cl– в фильтрате до значений ПДК в подземных водах – 350 мг/л и менее [3].
По возрасту (более 30 лет в местах максимальной мощности) свалочное тело на полигоне в Дубне уже должно было бы достигнуть стадии геохимической стабильности по хлорид-иону, однако имеющиеся данные о концентрации Cl– в подземных водах в районе его расположения указывают на то, что процесс очищения свалочного тела незакончен. По данным изысканий в 2019 г. концентрация Cl–в водоносном горизонте под свалочным телом на участке, где его мощность около 17 м, составляла 2836 мг/л, а на периферии, где мощность свалочного тела не превышала 5 м до 3119–3403 мг/л. Фоновым значением для подземных вод на окружающей территории можно считать концентрацию Cl– 34 мг/л в колодезной воде на территории садового товарищества, расположенного в 200 м юго-восточнее полигона ТКО.
Таким образом, высокие концентрации Cl– в подземных водах под свалочным телом указывают на то, что на начало рекультивации полигона значительное количество хлорид-иона могло поступать на УПВ с инфильтрационным питанием.
Для расчета переноса Cl– с влагой в свалочном теле была использована программа VS2DT − численная конечно-разностная модель миграции ЗВ с влагой в ненасыщенной зоне [9]. Моделирование миграции ЗВ происходит на основе численного решения уравнения Ричардсона, описывающего вертикальное движение влаги в частично насыщенном поровом пространстве, и сопряженного с ним уравнения конвективно-дисперсионного массопереноса для расчета массопереноса в зоне аэрации. Полученные в результате решения уравнения Ричардсона распределения напора и влажности по профилю зоны аэрации затем использовались для вычисления скоростей движения влаги в зоне аэрации в расчетах массопереноса.
Основные допущения в расчетах:
- свалочное тело представляет собой зону неполного насыщения,
- влага в свалочном теле формируется из атмосферных осадков, поступающих на его поверхность,
- загрязняющие вещества моментально поступают из отходов в инфильтрующуюся влагу и мигрируют до УПВ.
В расчетах воспроизводились реальные профили свалочного тела мощностью 1; 3–5 и 19 м. Значения параметров влагопереноса для профилей принимались такие же, как и при расчете интенсивности среднемноголетней инфильтрации. Значения параметров дисперсии, молекулярной диффузии и плотности скелета сухой породы принимались для всех типов отложений по умолчанию из базы данных программы VS2DT [9]. Для решения уравнения влагопереноса на верхней границе расчетной области задавался поток с постоянной интенсивностью, равной интенсивности инфильтрации, на нижней – нулевая высота давления. На верхней границе массопотока для решения миграционной задачи задавалась постоянная концентрация Cl–.
Основная проблема при выполнении расчетов – неопределенность в определении исходной концентрации хлорид-иона в фильтрате, необходимой для дальнейших расчетов, из-за некондиционного анализа фильтрата при инженерно-геоэкологических изысканиях. Тогда как диапазон концентрации Cl– в фильтрате, по опубликованным данным, может быть очень большим − от 300 до >15 000 мг/л [5, 12]. Одним из способов преодоления этого затруднения является привлечение данных моделирования миграции ЗВ с фильтратом на объекте-аналоге.
Примерный диапазон концентраций Cl– в фильтрате из свалочного тела на полигоне в Дубне был оценен по одному из хорошо изученных объектов складирования твердых коммунально-бытовых отходов в Греции, существующему около 23 лет (объекту-аналогу).
Мощность свалочного тела на объекте-аналоге ~22.5 м. Концентрация Cl– в фильтрате 3074–5375 мг/л, а в подземных водах под свалочным телом и вблизи него 878–939 мг/л. Рассчитанная при помощи программы HELP для объекта-аналога среднемноголетняя интенсивность инфильтрации 167 мм/год (43% от годовой суммы осадков) [8] близка к данным, полученным для полигона в Дубне (см. табл. 3). Сравнение свалочных тел показывает их идентичность по составу отходов, возрасту, мощности, строению и количеству фильтрата, поступающему в подземные воды. Это позволяет предположить сходность состава и концентрации ЗВ в фильтрате.
Задав характерные параметры свалочного тела объекта-аналога: срок существования, мощность, коэффициенты фильтрации отходов и изолирующих суглинков, интенсивность инфильтрации и диапазон изменения концентрации Cl– в фильтрате, по программе VS2DT для свалочного тела в Дубне были рассчитаны концентрации Cl– во влаге по всему его профилю, а также поступающие на УПВ под ним на разные моменты времени, в том числе на конец расчетного периода (23 года). Полученные результаты расчета совпали с концентрациями Cl– в подземных водах на объекте-аналоге, тем самым была подтверждена возможность применения программы VS2DT для расчета миграции хлорид-иона в свалочном теле и использования данных о концентрации Cl– в фильтрате на объекте-аналоге (3000–5500 мг/л) для подбора значений его концентраций в фильтрате на полигоне в Дубне.
Расчеты миграции хлорид-иона в свалочном теле на полигоне в Дубне проводились в следующей последовательности. Первоначально решалась обратная задача по подбору интенсивности инфильтрации и концентрации Cl– в инфильтрующейся влаге таким образом, чтобы в конце 30-летнего периода существования свалочного тела концентрации Cl– в поступающей на УПВ влаге были сопоставимы с его концентрациями в подземных водах в изыскательских скважинах. Расчеты выполнялись для реального строения профиля свалочного тела (вар. 2). Подобранные значения должны были соответствовать допустимым: интенсивность инфильтрации находиться в диапазоне 100–400 мм/год, концентрации хлорид- иона в инфильтрующейся влаге – 3000–5500 мг/л.
Используя сформировавшийся на конец расчета профиль концентрации Cl– во влаге свалочного тела в качестве начальных условий на втором этапе решалась прогнозная задача. Прогноз заключался в расчете концентраций хлорид-иона во влаге, поступающей на УПВ, с начала рекультивации полигона, когда на поверхности свалочного тела интенсивность инфильтрации соответствовала естественным, характерным для климатической зоны значениям 60 мм/год [2], а концентрация Cl–в инфильтрующейся влаге равна нулю. Такое низкое значение интенсивности инфильтрации в прогнозных расчетах принято для того, чтобы оценить максимально возможное время очищения свалочного тела от хлорид-иона за счет разбавления чистой влагой с поверхности и стекания загрязненной влаги на УПВ.
Результаты и их обсуждение
Расчеты по подбору концентрации хлорид- иона в инфильтрующейся влаге при выбранном диапазоне изменений интенсивности инфильтрации (100–400 мм/год) показали, что при минимальном ее значении (100 мм/год) концентрации Cl– должны были бы превышать 8000 мг/л, чтобы на конец расчетного периода в подземные вод под свалочным телом в центральной его части на УПВ с инфильтрующейся влагой поступали бы 2800 мг/л Cl–. Так как концентрация 8000 мг/л существенно превышает выбранный диапазон концентраций Cl– в фильтрате на объекте-аналоге, то дальнейший подбор концентраций хлорид-иона в фильтрате проводился с более высокой интенсивностью инфильтрации: рассчитанной для свалочного тела на полигоне в Дубне – 175 мм/год, и максимальной 390 мм/год, что составляет 43% от годовой суммы осадков, как и на объекте-аналоге.
В результате расчетов были подобраны следующие значения: при интенсивности инфильтрации 175 мм/год концентрация хлорид-иона в инфильтрующейся влаге в центре свалочного тела должна составлять 3000 мг/л, в склоновой части – 3500 мг/л, в краевой части – 3300 мг/л. При интенсивности поступающей на поверхность свалочного тела инфильтации 390 мм/год на полигоне в Дубне концентрации хлорид-иона в центральной части свалки составили 2800 мг/л, для склонов – от 3300 мг/л, для краевой части – от 3100 мг/л.
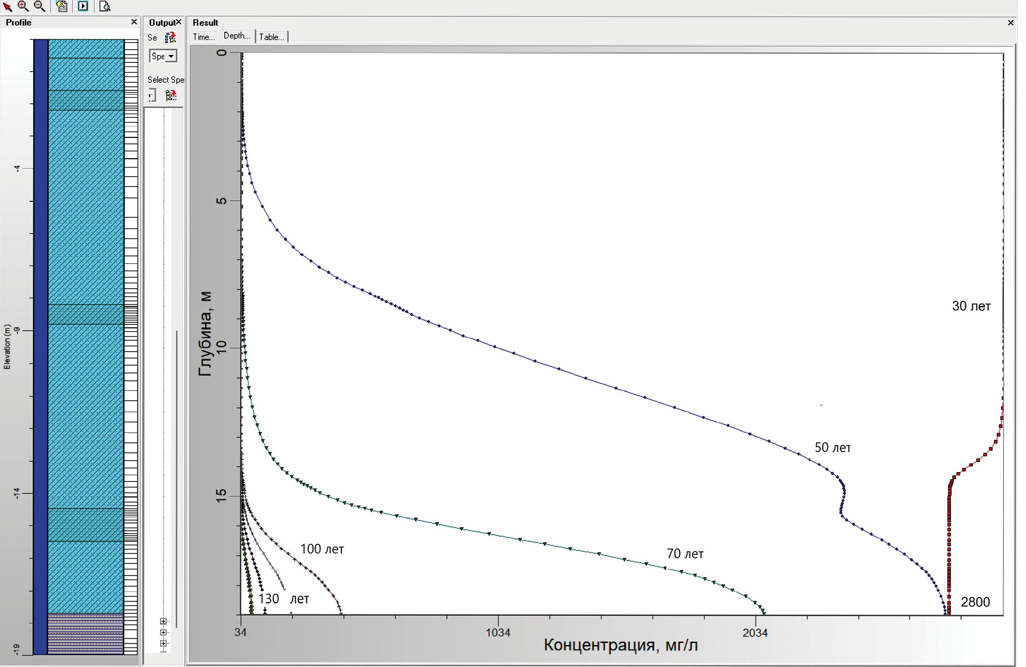
Прогнозные расчеты показали, что при снижении интенсивности инфильтрации на поверхности свалочного тела до естественных 60 мм/год и нулевой концентрации хлорид-иона в инфильтрующейся влаге концентрация Cl– в фильтрате по профилю свалочного тела будет постепенно снижаться (рис. 5). Но поскольку интенсивность инфильтрации низкая, процесс очищения свалочного тела от хлорид-иона будет происходить длительное время. Таким образом, через 40 лет после рекультивации полигона на УПВ поступит более 2000 мг/л хлорид-иона, а снижение его концентраций до фоновых значений в подземных водах (34 мг/л) займет более 100 лет в центре свалочного тела (см. рис. 5), более 80 лет в его склоновой и более 50 лет в краевых частях.
Рис. 5. Расчетный профиль и кривые концентрации хлорид-иона во влаге в центральной части свалочного тела на разные моменты времени после рекультивации полигона.
ЗАКЛЮЧЕНИЕ
Расчеты переноса влаги и хлорид-иона в свалочном теле на примере полигона ТКО в Дубне показали, что свалочное тело долгие годы после рекультивации остается источником поступления ЗВ в подземные воды, что необходимо учитывать при прогнозе их загрязнения. Прогноз загрязнения подземных вод в районе свалки должен выполняться поэтапно.
На первом этапе при помощи расчетов влаго- и массопереноса в ненасыщенной зоне, которой является свалочное тело, следует определить интенсивность инфильтрации и концентрации загрязняющих веществ, поступающих на уровень подземных вод под свалочным телом в период эксплуатации полигона и после его рекультивации. Существующие программные средства позволяют оценить эти величины: HELP – рассчитать интенсивность инфильтрационного питания, а VS2DT – рассчитать концентрации загрязняющих веществ, поступающих с инфильтрационным питанием.
На втором этапе прогноза загрязнения подземных вод использовать полученные результаты для задания граничных условий при геофильтрационном и геомиграционном моделировании загрязнения подземных вод.
Такой поэтапный прогноз позволит более достоверно оценить влияние свалочного тела на загрязнение подземных вод.
Работа выполнена при финансовой поддержке гранта РФФИ 20-0500574 “Долгосрочное влияние свалок и полигонов твердых коммунальных отходов на трансформацию химического состава подземных вод”.
Об авторах
И. А. Позднякова
Институт геоэкологии им. Е.М. Сергеева РАН
Автор, ответственный за переписку.
Email: irina_pozd58@mail.ru
Россия, 101000, Москва, Уланский пер., 13, стр. 2
Список литературы
- Гриневский С.О. Моделирование поглощения влаги корнями растений при расчетах влагопереноса в зоне аэрации и инфильтрационного питания подземных вод // Вестник Московского университета. Серия 4: Геология. 2011. № 3. С. 41–52. https://doi.org/10.3103/S0145875211030057
- Гриневский С.О., Новоселова М.В. Закономерности формирования инфильтрационного питания подземных вод // Водные ресурсы. 2010. Т. 37. С. 1–12.
- Слюсарь Н.Н., Вайсман Я.И., Коротаев В.Н. Оценка долгосрочных эмиссий объектов захоронения твердых коммунальных отходов: результаты полевых исследований и лабораторного моделирования // Экология и промышленность России. 2016. Т. 20. № 4. С. 32–39.
- Alslaibi T., Mogheir Y., Afifi S. Analysis of landfill components in estimating the percolated leachate to groundwater using the HELP model // Water Science and Technology. 2010. V. 62. № 8. P. 1727–1734.
- Al-Suraifi A. Simulation of contaminants transport and groundwater flow for Basrah landfill site. // Engineering and technology journal. 2017. V. 35. № 6. P. 560–570.
- Beck-Broichsitter S., Gerke H., Horn R. Assessment of Leachate Production from a Municipal Solid-Waste Landfill through Water-Balance Modeling // Geosciences, 2018. V. 8. № 10: 372.
- Cossu R., Stegmann R. Solid Waste Landfilling: Concepts, Processes, Technology. 2019. 1174 р. https://doi.org/10.1016/C2012-0-02435-0
- Fatta D.A study on the landfill leachate and its impact on the groundwater quality of the greater area // Environmental Geochemistry and Health. 1999. V. 21. P. 175–190.
- Healy R.W. Simulation of solute transport in variably saturated porous media with supplemental information on modifications to the US Geological Survey’s computer program VS2D // Water-Resources Investigations Report. 1990. 90:4025.
- Podlasek A. Modeling leachate generation: practical scenarios for municipal solid waste landfills in Poland // Environmental Science and Pollution Research International. 2023. V. 30. № (5). P. 13256–13269.
- Schroeder, R., Dozier, T.S., Zappi, P.A. The hydrologic evaluation of landfill performance (HELP) model: Engineering Documentation for Version 3, 1994, EPA/600/9-94/xxx, US Environmental Protection Agency Risk Reduction Engineering Laboratory, Cincinnati, OH, USA. Document Display | NEPIS | US EPA
- Yang R., Xu Z., Chai1 J. A review of characteristics of landfilled municipal solid waste in several countries: physical composition, unit weight, and permeability coefficient // Polish Journal of Environmental Studies. 2018. V. 27. № 6. P. 2425–2435.
- Zeng D., Chen G., Zhou P., Xu H. Factors influencing groundwater contamination near municipal solid waste landfill sites in the Qinghai-Tibetan plateau // Ecotoxicology and Environmental Safety. 2021. V. 211. 111913. https://doi.org/10.1016/j.ecoenv.2021.111913
Дополнительные файлы







