Электрохимические свойства и специфическая селективность гетерогенных ионообменных мембран в борат-нитратных растворах электролитов
- Авторы: Заболоцкий В.И.1, Романюк Н.А.1, Лоза С.А.1
-
Учреждения:
- Кубанский государственный университет
- Выпуск: Том 13, № 1 (2023)
- Страницы: 3-14
- Раздел: Статьи
- URL: https://journal-vniispk.ru/2218-1172/article/view/137985
- DOI: https://doi.org/10.31857/S221811722301008X
- EDN: https://elibrary.ru/HJHAPQ
- ID: 137985
Цитировать
Полный текст
Аннотация
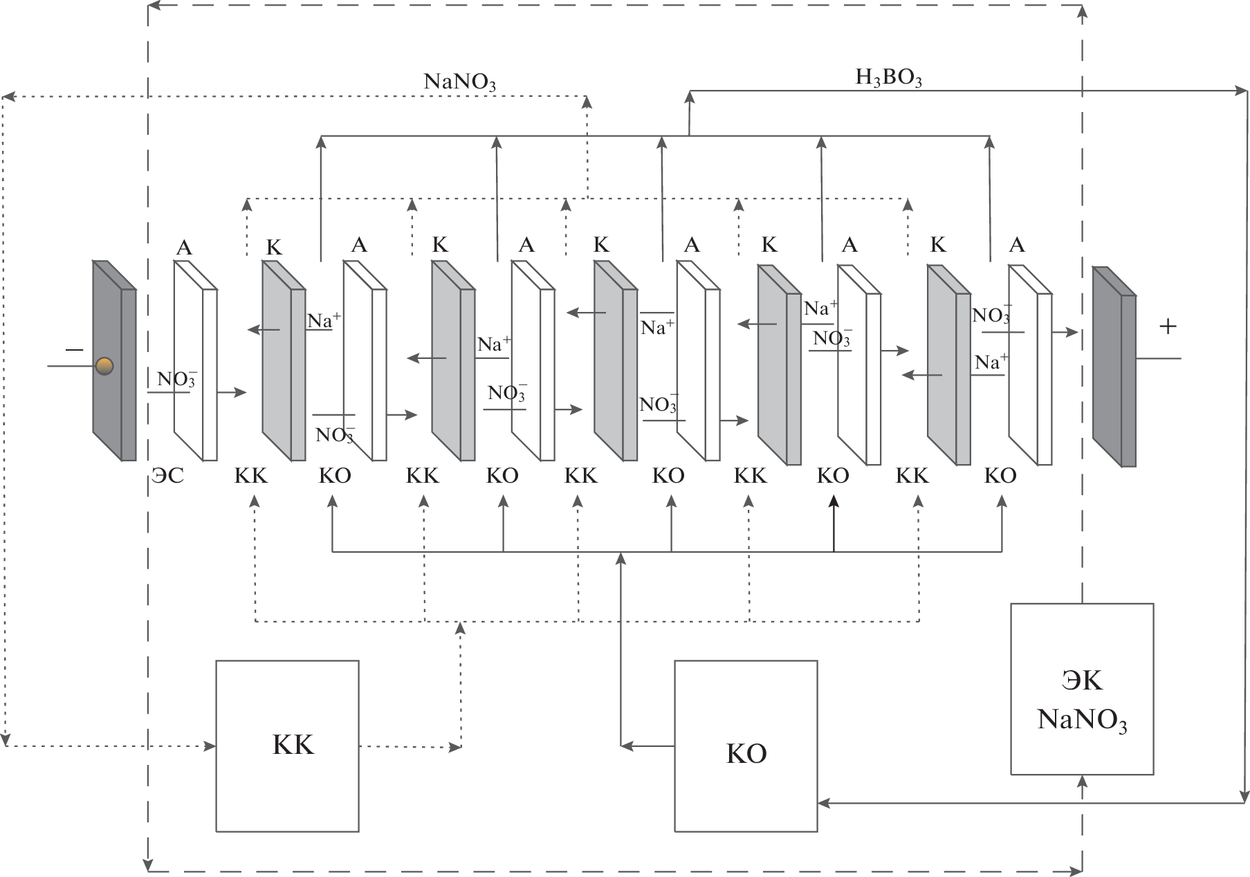
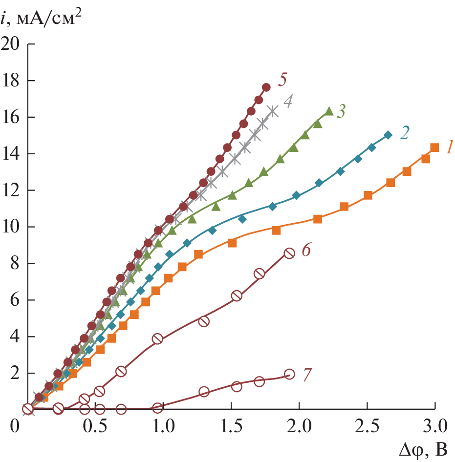
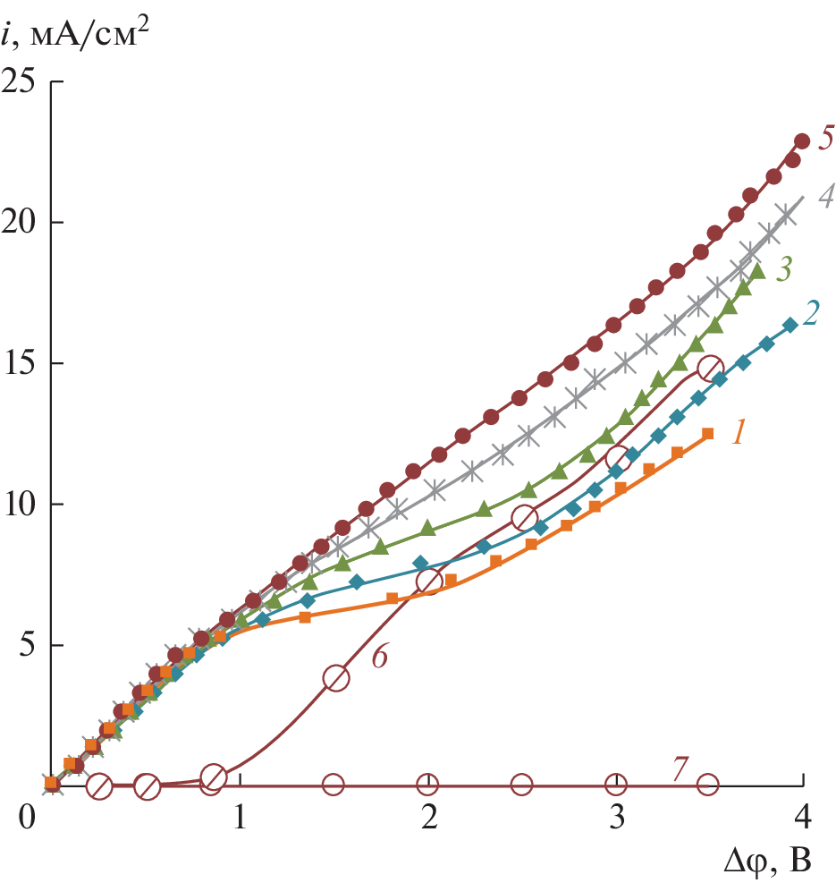
Методом вращающегося мембранного диска (ВМД) исследованы электрохимические характеристики гетерогенных катионо- и анионообменных мембран Ralex и механизм переноса ионов соли, борной кислоты и ее анионов через мембраны при различных значениях рН. Показано, что борная кислота переносится в основном через анионообменную мембрану. При значении рН 9.5 лимитирующей стадией переноса анионов через анионообменную мембрану является реакция образования аниона тетрагидроксибората \({\text{B(OH)}}_{{\text{4}}}^{ - }{\text{.}}\) Исследование процесса электродиализного разделения раствора нитрата натрия и борной кислоты показали, что метод электродиализа позволяет эффективно разделять компоненты смеси, при этом значение коэффициента специфической селективности составляет \({{P}_{{{{\text{B}} \mathord{\left/
{\vphantom {{\text{B}} {{\text{NaN}}{{{\text{O}}}_{{\text{3}}}}}}} \right.} {{\text{NaN}}{{{\text{O}}}_{{\text{3}}}}}}}}}\) = (0.02–0.06), в зависимости от напряжения на электродиализаторе.
Ключевые слова
Об авторах
В. И. Заболоцкий
Кубанский государственный университет
Автор, ответственный за переписку.
Email: vizab@chem.kubsu.ru
Россия, Краснодар
Н. А. Романюк
Кубанский государственный университет
Автор, ответственный за переписку.
Email: romanyuknazar@mail.ru
Россия, Краснодар
С. А. Лоза
Кубанский государственный университет
Email: romanyuknazar@mail.ru
Россия, Краснодар
Список литературы
- Intharapat P., Nakason C., Kongnoo A. // Polymer Degradation and Stability. 2016. V. 128. P. 217.
- Ullah S., Ahmad F., Shariff A.M. et al. // Progress in Organic Coatings. 2017. V. 109. P. 70.
- Soltani M., Shetab-Boushehri S.F., Mohammadi H. et al. // J. Medical Hypotheses and Ideas. 2013. V. 7. P. 21.
- Hsu C.F., Lin S.Y., Peir J.J. et al. // Applied Radiation and Isotopes. 2011. V. 69. P. 1782.
- Hernandez-Patlan D., Solis-Cruz B., Adhikari B. et al. // Research in Veterinary Sci. 2019. V. 123. P. 7.
- Lopalco A., Lopedota A.A., Laquintana V. et al. // J. Pharm. Sci. 2020. V. 109. P. 2375.
- Wu Z., Liu Y., Deng C. et al. // J. Energy Storage. 2020. V. 27. № 101076.
- Badawy W.A., El-Egamy S.S. // J. Power Sources. 1995. V. 55 P. 11.
- Campari E.G., Bianchi M., Tomesani L. // Energy Procedia. 2017. V. 126. P. 541.
- Myerscough P.B. Eds., Nuclear physics and basic technology, Nuclear Power Generation, Elsevier, 1992. 110 p.
- Vaghetto R., Childs M., Kee E. et al. // Progress in Nuclear Energy. 2016. V. 91. P. 302.
- Chen X., Chen T., Li J. et al. // J. Memb. Sci. 2019. V. 579. P. 294.
- Дмитриев С.А., Лифанов Ф.А., Савкин А.Е., Лащенов С.М. // Атомная энергия. 2000. Т. 89. С. 365. (англоязычная версия: Dmitriev S.A., Lifanov F.A., Savkin A.E., Laschenov S.M. Rus. J. Atomic Energy. V. 9. P.365.).
- Wolska J., Bryjak M. // Desalination. 2013. V. 310. P. 18–24.
- Hussain A., Sharma R., Minier-Matar J. et al. // J. Wat. Proc. Engin. 2019. V. 32. № 100906.
- Arias M.F.Ch., Bru L.V., Rico D.P., Galvañ P.V. // Desalination. 2011. V. 278. P. 244.
- Kalaitzidou K., Tzika A.M., Simeonidis K., Mitrakas M. // Materials Today: Proceedings. 2018. V. 5. P. 27599.
- Ryosuke A., Yoshihiro F., Shintaro K. et al. Пат. Republic of Korea. № KR20140031195A, заявл. 16.02.2013; опубл. 12.03.2014.
- Guihua D. Пат. China. № CN101003375A, заявл. 19. 01.2007; опубл. 25.07.2005.
- Valdez S., Orce A., Flores H., Mattenella L. // In. J.Mineral Processing. 2014. V. 133. P. 23.
- Bártová Ŝ., Kůs P., Skala M., Vonková K. // Nuclear Engineering and Design. 2016. V. 300. P. 107.
- Bornemissza E., Kis E., Kubo S. et al. Пат. German Democratic Republic. № DD 259274A1, заявл. 13.05.1985; опубл. 17.08.1988.
- Иваненко В.И., Седнева Т.А., Локшин Э.П., Корнейков Р.И. Пат. РФ № 2652978, заявл. 12.04.2017; опубл. 04.05.2018.
- Emeléus H.J., Sharpe A.G. Eds., In Advances in Inorganic Chemistry and Radiochemistry. N.Y.: Academic Press, 1982. 372 p.
- Edwards J.O., Morrison G.C., Ross V.F., Schultz J.W. // J. American Chemical Society. 1955. V. 77. P. 266.
- Zhou Y., Fang C., Fang Y., Zhu F. // Spectrochimica Acta – Part A: Molecular and Biomolecular Spectroscopy. 2011. V. 83. P. 82–87.
- Melnyk L., Goncharuk V., Butnyk I. et al. // Desalination. 2005. V. 185. P. 147.
- Białek R., Mitko K., Dydo P., Turek, M. // Desalination. 2014. V. 342. P. 29.
- Dydo P., Turek M. // Desalination. 2014. V. 342. P. 35.
- Mel’nik L.A., Butnik I.A., Goncharuk V.V. // J. Water Chem. Technol. 2008. V. 30. P. 167.
- Dydo P. // J. Memb. Sci. 2012. V. 407–408. P. 202.
- Dydo P. // Desalination. 2013. V. 310. P. 43.
- Goli E., Hiemstra T., Van Riemsdijk W.H. et al. // Anal. Chem. 2010. V. 82. P. 8438.
- Melnik L., Vysotskaja O., Kornilovich B. // Desalination. 1999. V. 124. P. 125.
- Kabay N., Arar O., Acar F. et al. // Desalination. 2008. V. 223. P. 63.
- Yazicigil Z., Oztekin Y. // Desalination. 2006. V. 190. P. 71.
- Ayyildiz H.F., Kara H. // Desalination. 2005. V. 180. P. 99.
- Turek M., Bandura B., Dydo P. // Desalination. 2008. V. 223. P. 119.
- Product data sheet Ralex® Membrane СMH PES: https://www.mega.cz/files/datasheet/MEGA-RALEX-CMH-PES-en.pdf. Дата обращения: 07.09.2022.
- Product data sheet Ralex® Membrane AMH PES: https://www.mega.cz/files/datasheet/MEGA-RALEX-AMH-PES-en.pdf. Дата обращения: 07.09.2022.
- Заболоцкий В.И., Шарафан М.В., Шельдешов Н.В., Ловцов Е.Г. // Электрохимия. 2008. Т. 44. С. 155. (англоязычная версия: Zabolotskii V.I., Sharafan M.V., Shel’deshov N.V., Lovtsov E.G. // Russ. J. Electrochem. 2008. V. 44. P. 141.)
- Шарафан М.В., Заболоцкий В.И., Бугаков В.В. // Электрохимия. 2009. Т. 45. С. 1252. (англоязычная версия: Sharafan M.V., Zabolotskii V.I., Bugakov V.V. // Russ. J. Electrochem. 2009. V. 45. P. 1162.)
- Левич В.Г. Физико-химическая гидродинамика. М.: Физматгиз, 1959. 700 с. (англоязычная версия: Levich V.G., Physico- chemical hydrodynamics. Moscow: Fizmatgiz, 1959. 700 p.)
- ГОСТ 14021.1-78. Ферробор. Методы определения бора.
- Ковалев Н.В., Карпенко Т.В., Шельдешов Н.В., Заболоцкий В.И. // Электрохимия. 2021. Т. 57. С. 96. (англоязычная версия: Kovalev N.V., Karpenko T.V., Sheldeshov N.V., Zabolotsky V.I. // Russ. J Electrochem. 2021. V. 57. P. 122.)
- Simons R. // Electrochim. Acta. 1984. V. 29. P. 151.
- Загородных Л.А., Бобрешова О.В., Кулинцов П.И., Аристов И.В. // Электрохимия. 2006. Т. 42. С. 68. (англоязычная версия: Zagorodnykh L.A., Bobreshova O.V., Kulintsov P.I., Aristov I.V. // Russ. J. Electrochem. 2006. V. 42. P. 59.)
- Загородных Л.А., Бобрешова О.В., Кулинцов П.И., Аристов И.В. // Электрохимия. 2005. Т. 41. С. 310. (англоязычная версия: Zagorodnykh L.A., Bobreshova O.V., Kulintsov P.I., Aristov I.V. // Russ. J. Electrochem. 2005. V. 41. P. 275.)
Дополнительные файлы














