New Hybrid Membrane Based on Poly(m-Phenylene-iso-Phthalamide) for Pervaporation of Methanol/n-Heptane Azeotropic Mixture
- 作者: Pulyalina A.Y.1, Faykov I.I.1, Sorokina A.S.1, Tian N.S.1, Kuryndin I.S.2, Polotskaya G.A.1,2
- 
							隶属关系: 
							- Institute of Chemistry, Saint Petersburg State University
- Institute of Macromolecular Compounds, Russian Academy of Sciences
 
- 期: 卷 13, 编号 4 (2023)
- 页面: 259-268
- 栏目: Articles
- URL: https://journal-vniispk.ru/2218-1172/article/view/137997
- DOI: https://doi.org/10.31857/S2218117223040053
- EDN: https://elibrary.ru/RTCFZQ
- ID: 137997
如何引用文章
全文:
详细
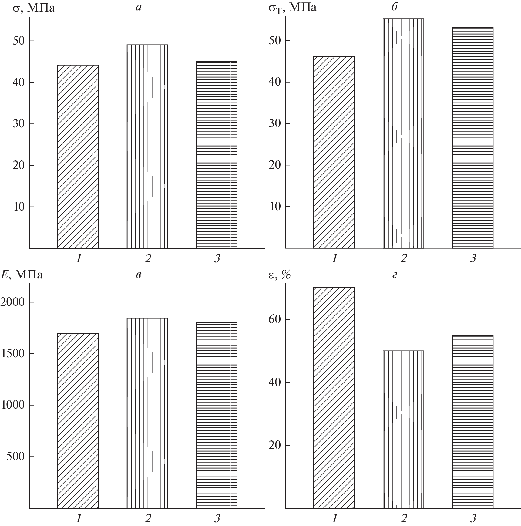
The object of this work is a new hybrid membrane based on poly(m-phenylene-iso-phthalamide) (PA) modified with a complex filler consisting of equal amounts of heteroarms star macromolecules (HSM) and [BMIM+Tf2N–] ionic liquid (IL). Comparative studies of the structure were carried out on samples of membranes made of pristine PA and hybrid PA/HSM and PA/(HSM:IL) containing 5 wt % additives; methods of AFM, X-ray phase analysis, measurement of density and contact angles were used. The transport properties of membranes were studied in separation of a methanol/n-heptane mixture by the pervaporation method. The actuality of this problem is associated with the process of oil refining. In pervaporation of an azeotropic methanol/n-heptane mixture, the hybrid PA/(HSM:IL) membrane demonstrated higher performance and separation factor relative to reference membranes. Mechanical tests of the membranes revealed a high level of properties important for operation (strength and relative elongation) of the hybrid membrane.
作者简介
A. Pulyalina
Institute of Chemistry, Saint Petersburg State University
							编辑信件的主要联系方式.
							Email: a.pulyalina@spbu.ru
				                					                																			                												                								Russia, 198504, Saint Petersburg						
I. Faykov
Institute of Chemistry, Saint Petersburg State University
														Email: a.pulyalina@spbu.ru
				                					                																			                												                								Russia, 198504, Saint Petersburg						
A. Sorokina
Institute of Chemistry, Saint Petersburg State University
														Email: a.pulyalina@spbu.ru
				                					                																			                												                								Russia, 198504, Saint Petersburg						
N. Tian
Institute of Chemistry, Saint Petersburg State University
														Email: a.pulyalina@spbu.ru
				                					                																			                												                								Russia, 198504, Saint Petersburg						
I. Kuryndin
Institute of Macromolecular Compounds, Russian Academy of Sciences
														Email: a.pulyalina@spbu.ru
				                					                																			                												                								Russia, 199004, Saint Petersburg						
G. Polotskaya
Institute of Chemistry, Saint Petersburg State University; Institute of Macromolecular Compounds, Russian Academy of Sciences
														Email: a.pulyalina@spbu.ru
				                					                																			                												                								Russia, 198504, Saint Petersburg; Russia, 199004, Saint Petersburg						
参考
- Baker R.W. Membrane Technology and Applications, 3rd ed., Wiley, Chichester, 2012.
- Апель П.Ю., Бобрешова О.В., Волков А.В., Волков В.В., Никоненко В.В., Стенина И.А., Филиппов А.Н., Ямпольский Ю.П., Ярославцев А.Б. // Мембраны и мембранные технологии. 2019. Т. 9. № 2. С. 59.
- Pulyalina A., Goikhman M., Podeshvo I., Faykov I., Polotskaya G. // Separation Science and Technology. 2022. V. 57. № 7. P. 1139.
- Бильдюкевич А.В., Глевицкая Т.А., Невар Т.Н. // Мембраны и мембранные технологии. 2022. Т. 12. № 4. С. 223.
- Юшкин А.А., Балынин А.В., Ефимов М.Н., Муратов Д.Г., Карпачева Г.П., Волков А.В. // Мембраны и мембранные технологии. 2022. Т. 12. № 4. С. 276.
- Голубев Г.С., Борисов И.Л., Волков В.В., Волков А.В. // Мембраны и мембранные технологии. 2020. Т. 10. № 1. С. 54.
- Пулялина А.Ю., Тян Н.С., Файков И.И., Полоцкая Г.А., Ростовцева В.А. // Мембраны и мембранные технологии. 2022. Т. 12. № 5. С. 375.
- Ong Y.K., Shi G.M., Le N.L., Tang Y.P., Zuo J., Nunes S.P., Chung T.S. // Progress in Polymer Science. 2016. V. 57. P. 1.
- Genduso G., Amelio A., Luis P., Van der Bruggen B., Vreysen S. // AIChE J. 2014. V. 60. № 7. P. 2584.
- Пулялина А.Ю., Файков И.И., Нестерова В.П., Подешво И.В., Полоцкая Г.А. // Мембраны и мембранные технологии. 2019. Т. 9. № 5. С. 348.
- Полоцкая Г.А., Курындин И.С., Сапрыкина Н.Н., Бронников С.В. // Мембраны и мембранные технологии. 2022. Т. 12. № 6. С. 420.
- Голубев Г.С., Балынин А.В., Борисов И.Л., Волков А.В. // Мембраны и мембранные технологии. 2022. Т. 12. № 4. С. 276.
- Пулялина А.Ю., Путинцева М.Н., Полоцкая Г.А., Ростовцева В.А., Тойкка А.М. // Мембраны и мембранные технологии. 2019. Т. 9. № 2. С. 122.
- Cao X., Qiu L., Feng X. // J. Membrane Science. 2022. V. 642. 120006.
- Plisko T., Burts K., Zolotarev A., Bildyukevich A., Dmitrenko M., Kuzminova A., Ermakov S., Penkova A. // Membranes. 2022. V. 12. P. 967.
- Шалыгин М.Г., Козлова А.А., Сырцова Д.А., Маркова С.Ю., Рябова О.Р., Тепляков В.В. // Мембраны и мембранные технологии. 2019. Т. 9. № 3. С. 214.
- Chang Y.S., Kumari P., Munro C.J., Szekely G., Vega L.F., Nunes S., Dumée L.F. // J. Membrane Science. 2023. V. 666. 121125.
- Бурть Е.С., Плиско Т.В., Прозорович В.Г., Мельникова Г.Б., Иванец А.И., Бильдюкевич А.В. // Мембраны и мембранные технологии. 2022. Т. 12. № 2. С. 116.
- Polotskaya G., Pulyalina A., Goikhman M., Podeshvo I., Rostovtseva V., Shugurov S., Gofman I., Saprykina N., Gulii N., Loretsyan N., Toikka A. // Scientific Reports. 2018. V. 8. 17849.
- Кузнецов А.А., Цегельская А.Ю., Орлова А.М., Белов Н.А., Чирков С.В., Никифоров Р.Ю., Алентьев А.Ю. // Мембраны и мембранные технологии. 2019. Т. 9. № 5. С. 369.
- Pulyalina A.Yu., Polotskaya G.A., Goikhman M.Ya., Podeshvo I.V., Gulii N.S., Shugurov S.M., Tataurov M.V., Toikka A.M. // Polymer International. 2017. V. 66. № 12. P. 1873.
- Polotskaya G., Goikhman M., Podeshvo I., Loretsyan N., Saprykina N., Gofman I., Tian N., Dubovenko R., Pulyalina A. // J. Applied Polymer Science. 2022. V. 139. № 7. 51 646.
- Lee J.-Y., Huang T.-Y., Ang M.B.M.Y., Huang S.-H., Tsai H.-A., Jeng R.-J. // J. Membrane Science. 2022. V. 657. 120702.
- Polotskaya G., Tian N., Faykov I., Goikhman M., Podeshvo I., Loretsyan N., Gofman I., Zolotovsky K., Pulyalina A. // Membranes. 2023. V. 13. № 2. 160.
- Wang T., Huang X.-X., Huang L.-L., Wu L.-G., Zhu D.-F., Wang G.-Q., Jiang X.-J. // J. Membrane Science. 2022. V. 665. 121 138.
- Penkova A.V., Dmitrenko M.E., Sokolova M.P., Chen B., Plisko T.V., Markelov D.A., Ermakov S.S. // J. of Materials Science. 2016. V. 51. P. 7652.
- Polotskaya G.A., Krasnopeeva E.L., Kalyuzhnaya L.M., Saprykina N.N., Vinogradova L.V. // Separation and Purification Technology. 2015. V. 143. P. 192.
- Лебедев В.Т., Török Gy., Виноградова Л.В. // Высокомолекулярные соединения. Серия А. 2011. Т. 53. № 1. С.15.
- Ростовцева В.А., Пулялина А.Ю., Дубовенко Р.Р., Сапрыкина Н.Н., Виноградова Л.В., Полоцкая Г.А. // Мембраны и мембранные технологии. 2021. Т. 11. № 5. С. 304.
- Rostovtseva V., Pulyalina A., Dubovenko R., Faykov I., Subbotina K., Saprykina N., Novikov A., Vinogradova L., Polotskaya G. // Polymers. 2021. V. 13. № 11. 1811.
- Haynes W.M. Ed., CRC Handbook of Chemistry and Physics, 97th ed., Taylor & Francis Group, LLC, London, 2017.
- Мелешко Т.К., Пулялина А.Ю., Тян Н.С., Полоцкая Г.А., Иванов И.В., Кукаркина Н.В., Тойкка А.М., Якиманский А.В. // Высокомолекулярные соединения (сер. Б). 2017. Т. 59. № 2. С. 143.
- Avagimova N., Polotskaya G., Toikka A., Pulyalina A., Moravkova Z., Trchova M., Pientka Z. // J. Applied Polymer Science. 2018. V. 135. P. 46320.
- Пулялина А.Ю., Полоцкая Г.А., Ростовцева В.А., Гойхман М.Я., Подешво И.В., Шугуров С.М., Зубакина Е.А., Тойкка А.М. // Мембраны и мембранные технологии. 2017. Т. 7. № 2. С. 99.
- Ельяшевич Г.К., Курындин И.С., Лаврентьев В.К., Попова Е.Н., Bukošek V. // Физика твердого тела. 2018. Т. 60. С. 1975.
- Полоцкая Г.А., Лебедев В.Т., Пулялина А.Ю., Виноградова Л.В. // Мембраны и мембранные технологии. 2016. Т. 6. № 3. С. 249.
- Belmares M., Blanco M., Goddard W.A., Ross R.B., Caldwell G., Chou S.H., Pham J., Olofson P.M., Thomas C. // J. Computational Chemistry. 2004. V. 25. P. 1814.
- Barton A.F.M. CRC Handbook of Solubility Parameters, CKC Press, Boca Raton. 1991.
- Vapor-Liquid Equilibrium and Distillation Calculator. Available online: http://www.vle-calc.com (accessed on 11 March 2020).
- Pulyalina A., Faykov I., Nesterova V., Goikhman M., Podeshvo I., Loretsyan N., Novikov A., Gofman I., Toikka A., Polotskaya G. // Polymers. 2020. V. 12. № 3. P. 645.
补充文件
 
				
			 
						 
						 
						 
						 
					 
				
 
  
  
  电邮这篇文章
			电邮这篇文章 







