Особенности процесса гальванического осаждения металлов в порах трековых мембран
- Авторы: Загорский Д.Л.1, Долуденко И.М.1, Хайретдинова Д.Р.1,2
-
Учреждения:
- Федеральный научно-исследовательский центр “Кристаллография и фотоника” Российской академии наук
- Национальный исследовательский технологический университет “МИСИС”
- Выпуск: Том 13, № 2 (2023)
- Страницы: 137-149
- Раздел: Статьи
- URL: https://journal-vniispk.ru/2218-1172/article/view/138002
- DOI: https://doi.org/10.31857/S2218117223020074
- EDN: https://elibrary.ru/HZWKSY
- ID: 138002
Цитировать
Полный текст
Аннотация
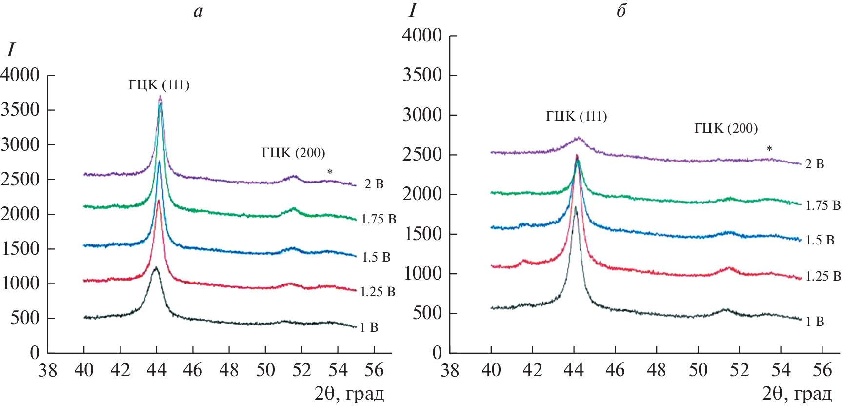
В работе рассмотрены особенности получения металлических нанопроволок методом матричного синтеза на основе трековых мембран. В первой части работы рассмотрены основные идеи метода и дан обзор литературы, посвященной получению нанопроволок различных типов – однокомпонентных (из одного металла), и многокомпонентных – из двух или нескольких металлов. Для второго случая рассмотрены варианты получения гомогенных структур – т.н. сплавов и гетерогенных структур – т.н. слоевых нанопроволок. Рассмотрен ряд специфических особенностей метода электроосаждения при проведении процесса в ограниченном объеме пор мембраны. Во второй части работы рассмотрены экспериментальные результаты, полученные авторами при изучении электросаждения нанопроволок из сплава железо–никель. Целью было установление связи условий синтеза НП с их структурой и элементным составом. Исследовались особенности гальванического осаждения НП, их топография изучена методом электронной микроскопии (с элементным анализом), для исследования структуры применялся рентгеновский метод. Обнаружено т.н. аномальное электроосаждение железа. Обсуждается зависимость интегрального элементного состава полученных нанопроволок от диаметра пор и от ростового напряжения. Получены данные о характере распределения элементов по длине нанопроволок; показано, что неравномерность состава определяется условиями получения (в частности, различной диффузионной подвижностью ионов в узких поровых каналах) и также зависит от напряжения и диаметра поровых каналов. На основании рентгеноструктурных данных определен тип решетки (ГЦК) и показан характер изменения параметра решетки, предположительно связанный с различием ионных радиусов металлов.
Ключевые слова
Об авторах
Д. Л. Загорский
Федеральный научно-исследовательский центр “Кристаллография и фотоника” Российской академии наук
Email: doludenko.i@yandex.ru
Россия, 119333, Москва
И. М. Долуденко
Федеральный научно-исследовательский центр “Кристаллография и фотоника” Российской академии наук
Автор, ответственный за переписку.
Email: doludenko.i@yandex.ru
Россия, 119333, Москва
Д. Р. Хайретдинова
Федеральный научно-исследовательский центр “Кристаллография и фотоника” Российской академии наук; Национальный исследовательский технологический университет “МИСИС”
Email: doludenko.i@yandex.ru
Россия, 119333, Москва; Россия, 119049, Москва
Список литературы
- Дюррани С.А., Балл Р.К. Твердотельные ядерные детекторы: Пер. с англ. М.: Энергоатомиздат, 1990. 264 с.
- Флеров Г.Н. // Вестник АН СССР. 1984. № 4. С. 35.
- Брок Т. Мембранная фильтрация: Пер. с англ. М.: Мир, 1987. 464 с.
- Апель П.Ю., Дмитриев С.Н. Мембраны. 2004. № 3(23). С. 32.
- Possin G.E. // Rev. Sci. Instrum. 1970. V. 41. № 5. P. 772.
- Kawai S., Ueda R.J. // Electrochem. Soc. 1975. V. 112. № 1. P. 32.
- Chakavarti S.K., Vetter J. // Nucl. Instrum. Methods. Phys. Res. B. 1991. V. 62. № 1. P. 109.
- Vetter J., Spohr R. // Nucl. Instrum. Methods. Phys. Res. B. 1993. V. 79. № 1–4. P. 691.
- Martin S. // Science. 1994. V. 268. № 5193. P. 1961.
- Masuda H., Fukuda K. // Science. 1995. V. 268. № 5216. P. 1466.
- Елисеев А., Лукашин А. Функциональные наноматериалы. М.: Физматлит, 2010. 456 с.
- Анищик В.М. Наноматериалы и нанотехнологии. Минск: Изд-во БГУ, 2008. 375 с.
- Toimil-Molares M.E. Beilstein J. Nanotechnology. 2012. V. 3. P. 860.
- Иванов А.А., Орлов В.А. // Физика твердого тела. 2011. Т. 83. № 12. С. 2318.
- Lupu N. Electrodeposited Nanowires and Their Applications. Intech, 2010. 236 p.
- Akapiev G.N., Dmitriev S.N., Erler B., Shirkova V.V., Shultz A., Pietsch H. // Nucl. Instrum. Methods. Phys. Res. B. 2003. V. 208. P. 133.
- Schulz A., Akapiev G.N., Shirkova V.V., Rosler H., Dmitriev S.N. // Nucl. Instrum. Methods. Phys. Res. B. 2005. V. 236. № 1–4. P. 254.
- Панов Д.В., Бычков В.Ю., Тюленин Ю.П., Загорский Д.Л., Каневский В.М., Волчков И.С. // Поверхность. Рентгеновские, синхротронные и нейтронные исследования. 2021. № 12. С. 12.
- Maurer F., Dangwal A., Lysenkov D., Muller G., Toimil–Molares M.E., Trautmann C., Brotz J., Fuess H. // Nucl. Instrum. Methods. Phys. Res. B. 2006. V. 245. № 1. P. 337.
- Dangwal A., Pandey C.S., Muller G., Karim S., Cornelius T.W., Trautmann C. // Appl. Phys. Lett. 2008. V. 92. № 6. P. 063115
- Zagorskiy D.L., Bedin S.A., Oleinikov V.A., Polyakov N.B., Rybalko O.G., Mchedlishvili B.V. // Radiation Meas. 2009. V. 44. № 9–10. P. 1123.
- Oleinikov V.A., Zagorski D.L., Bedin S.A., Volosnikov A.A., Emelyanov P.A., Kozmin Y.P., Mchedlishvili B.V. // Radiation Meas. 2008. V. 43. P. S365.
- Kozhina E.P., Bedin S.A., Nechaeva N.L., Podoynitsyn S.N., tarakanov V.P., Andreev S.N., Grigoriev Y.V., Naumov A.V. // Appl. Sci. 2021. V. 11. № 4. P. 1375.
- Вонсовский С.В. Магнетизм. М.: Наука, 1971. 786 с.
- Piraux L. Appl. Sci. 2020. V. 10. № 1832. P. 1.
- Коротков В.В., Кудрявцев В.Н., Загорский Д.Л., Бедин С.А. // Гальванотехника и обработка поверхности. 2011. Т. 19. № 4. С. 23.
- Коротков В.В., Кудрявцев В.Н., Кругликов С.С., Загорский Д.Л., Сульянов С.Н., Бедин С.А. // Гальванотехника и обработка поверхности. 2015. Т. 23. № 1. С. 24.
- Кругликов С.С., Загорский Д.Л., Колесников В.А., Долуденко И.М., Бедин С.А. // Теоретические основы химической технологии. 2021. Т. 55. № 4. С. 1.
- Vazquez M. Magnetic Nano- and Microwires: Design, Synthesis, Properties and Applications. Elsevier: Woodhead Publishing, 2015. 815 p.
- Давыдов А.А., Волгин В.М. // Электрохимия. 2016. Т. 52. № 9б. С. 905.
- Mansouri N., Benbrahim-Cherief N., Chainet E., Charlot F., Encinas T., Boudinar S., Benfedda B., Hamadou L., Kadri A. // J. Magn. Magn. Mater. 2020. V. 493. № 1. P. 165 746.
- Загорский Д.Л., Долуденко И.М., Каневский В.М., Гилимьянова А.Р., Менушенков В.П., Савченко Е.С. // Известия РАН. Серия физическая. 2021. Т. 85. № 8. С. 1090.
- Fert A., Piraux L. // J. Magn. Magn. Mater. 1999. V. 200. № 1–3. P. 338.
- Mourachkine A., Yazyev O.V., Ducati C., Ansermet J.-Ph. // NANO Letters. 2008. V. 8. № 11. P. 3683.
- Lee C., Oh Y., Yoon I.S., Kim S.H., Ju B.K., Hong J.M. // Nature—Scientific Reports. 2018. V. 8. P. 2763.
- Ripka P., Grim V., Mirzaei M., Hrakova D., Uhrig J., Emmerich F., Thielemann Ch., Hejtmanek J., Kaman O., Tesar R. // Sensors. 2021. V. 21. № 3. P. 1.
- Cui Y., Wei Q., Park H., Lieber C.M. // Science. 2001. V. 293. № 5533. P. 1289.
- Гуляев Ю.В., Чигарев С.Г., Панас А.И., Вилков Е.А., Максимов Н.А., Загорский Д.Л., Шаталов А.С. // Письма в Журн. Технической физики. 2019. Т. 45. № 6. С. 27.
- Жигалина О.М., Хмеленин Д.Н., Иванов И.М., Долуденко И.М., Загорский Д.Л. Кристаллография. 2021. Т. 66. № 6. С. 959.
- Zagorskiy D., Doludenko I., Zhigalina O., Khmelenin D., Kanevskiy V. // Membranes. 2022. V. 12(2) P. 195.
- Долуденко И.М. // Перспективные материалы. 2021. № 8. С. 74.
Дополнительные файлы







