Elecrtochemical Investigation of Heterogeneous Cation-Exchange Membranes Modified by Polyanilin in Solutions of Monovalent and Divalent Cations
- Authors: Brovkina M.A.1, Kutenko N.A.1, Loza N.V.1
-
Affiliations:
- Kuban State University
- Issue: Vol 13, No 3 (2023)
- Pages: 205-220
- Section: Articles
- URL: https://journal-vniispk.ru/2218-1172/article/view/138006
- DOI: https://doi.org/10.31857/S2218117223030033
- EDN: https://elibrary.ru/DUAWRY
- ID: 138006
Cite item
Full Text
Abstract
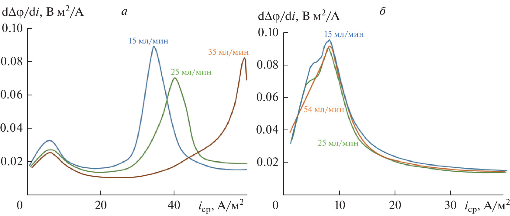
A series of composite ion-exchange membranes based on a heterogeneous cation-exchange MK-40 membrane and polyaniline was obtained under the conditions of electrodiffusion of a monomer and an oxidizing agent. The process of polyaniline synthesis on the membrane surface was accompanied by the registration of chronopotentiograms and the pH of the solution leaving the desalination compartment. The initial MK-40 cation-exchange membrane and the composites based on it were studied by voltammetry and chronopotentiometry in NaCl, CaCl2, and MgCl2 solutions in the same electrodialysis flow cell in which the composites were obtained. To calculate the transport numbers of counterions in membranes in CaCl2 and MgCl2 solutions by the chronopotentiometric method, the apparent fraction of the conducting membrane surface in the NaCl solution was calculated based on experimental data on the potentiometric transport numbers of counterions in the membrane. The conditions for the synthesis of polyaniline on the surface of a heterogeneous MK-40 membrane, leading to the preparation of samples with selectivity to singly charged ions, are revealed.
About the authors
M. A. Brovkina
Kuban State University
Author for correspondence.
Email: andreeva_marina_90@bk.ru
Russia, Krasnodar
N. A. Kutenko
Kuban State University
Email: andreeva_marina_90@bk.ru
Russia, Krasnodar
N. V. Loza
Kuban State University
Email: andreeva_marina_90@bk.ru
Russia, Krasnodar
References
- Yaqub M., Nguyen M.N., Lee W. // Sci. Total Environ. 2022. V. 844. P. 157 081.
- Mir N., Bicer Y. // J. Environ. Manage. 2021. V. 289. P. 112 496.
- Stillwell A.S., Webber M.E. // Water. 2016. V. 8. P. 601.
- Al-Amshawee S., Yunus M.Y.B.M., Azoddein A.A.M., Hassell D.G., Dakhil I.H., Hasan H.A. // Chem. Eng. J. 2020. V. 380. P. 122231.
- Ezugbe E.O., Rathilal S. // Membranes. 2020. V. 10. P. 89.
- Oren Y., Korngold E., Daltrophe N., Messalem R., Volkman Y., Aronov L., Weismann M., Bouriakov N., Glueckstern P., Gilrona J. // Desalination. 2010. V. 261. P. 321.
- Zhang Y., Ghyselbrecht K., Vanherpe R., Meesschaert B., Pinoy L., Van der Bruggen B. // J. Environ. Manage. 2012. V. 107. P. 28.
- Subramani A., Jacangelo J.G. // Sep. Pur. Tech. 2014. V. 122. P. 472.
- Jiang C., Wang Y., Zhang Z., Xu T. // J. Membr. Sci. 2014. V. 450. P. 323.
- Ge L., Wu B., Yu D., Mondal A.N., Hou L., Afsar N.U., Li Q., Xu T., Miao J., Xu T. // Chin. J. Chem. Eng. 2017. V. 25. P. 1606.
- Sata T. // J. Polym. Sci. Polym. Chem. Ed. 1978. V. 16. P. 1063.
- Ying J., Lin Y., Zhang Y., Jin Y., Matsuyama H., Yu J. // Chem. Eng. J. 2022. V. 446. P. 137076.
- Pan J., Zhao L., Yu X., Dong J., Liu L., Zhao X., Liu L. // Chin. Chem. Lett. 2022. V. 33. P. 2757.
- Pang X., Tao Y., Xu Y., Pan J., Shen J., Gao C. // J. Membr. Sci. 2020. V. 595. P. 117544.
- Vaselbehagh M., Karkhanechi H., Takagi R., Matsuyama H. // J. Membr. Sci. 2015. V. 490. P. 301.
- Pang X., Yu X., He Y., Dong S., Zhao X., Pan J., Runnan, Zh., Liu L. // Sep. Pur. Tech. 2021. V. 270. P. 118768.
- Compana V., Riande E., Fernandez-Carretero F.J., Berezina N.P., Sytcheva A.A.-R. // J. Membr. Sci. 2008. V. 318. P. 255.
- Kumar M., Khan M.A., Othman Z.A.A., Siddiqui M.R. // Desalination. 2013. V. 325. P. 95.
- Farrokhzad H., Darvishmanesh S., Genduso G., Van Gerven T., Van der Bruggen B. // Electrochim. Acta. 2015. V. 158. P. 64.
- Luo T., Abdu S., Wessling M. // J. Membr. Sci. 2018. V. 555. P. 429.
- Stránská E. // Desalin. Water Treat. 2015. V. 56. P. 3220.
- Кононенко Н.А., Демина О.А., Лоза Н.В., Долгополов С.В., Тимофеев С.В. // Электрохимия. 2021. Т. 57. № 5. С. 283–300. [англоязычная версия: Kononenko N.A., Demina O.A., Loza N.V., Dolgopolov S.V., Timofeev S.V. // Rus. J. Electrochem. 2021. V. 57. P. 505.]
- Barros K.S., Martí-Calatayud M.C., Scarazzato T., Bernardes A.M., Espinosa D.C.R., Pérez-Herranz V. // Adv. Colloid. Interfac. 2021. V. 293. P. 102439.
- Choi J.-H., Moon S.-H. // J. Membr. Sci. 2001. V. 191. P. 255.
- Mareev S.A., Nichka V.S., Butylskii D.Y., Urtenov M.K., Pismenskaya N.D., Apel P.Y., Nikonenko V.V. // J. Phys. Chem. C. 2016. V. 120. P. 13113.
- Заболоцкий В.И., Березина Н.П., Никоненко В.В., Шапошник В.А., Цхай А.А. // Информационно-аналитический журн. “Мембраны”. 1999. № 4. С. 6.
- Andreeva M., Loza N., Kutenko N., Kononenko N. // J. Solid State Electrochem. 2020. V. 24. P. 101.
- Loza N.V., Falina I.V., Kononenko N.A., Kudashova D.S. // Synth. Metals. 2020. V. 261. P. 116292.
- Robinson R.A., Stocks R.H. Electrolyte Solutions. N.Y.: Dover Publ., 2002. 608 p.
- Martí-Calatayud M.C., García-Gabaldón M., Pérez-Herranz V. // J. Membr. Sci. 2013. V. 443. P. 181.
- Berezina N.P., Kubaisy A.A., Timofeev S.V., Karpenko L. // J. Solid State Electrochem. 2007. V. 11. P. 378.
- Rubinstein I., Zaltzman B. // Phys. Rev. Lett. 2015. V. 114. P. 114502.
- Rubinstein I., Zaltzman B. // Phys. Rev. Fluids 2. 2017. P. 093702.
- Никоненко В.В., Мареев С.А., Письменская Н.Д., Узденова А.М., Коваленко А.В., Уртенов М.Х., Пурсели Ж. // Электрохимия. 2017. Т. 53. С. 1266. [англоязычная версия: Nikonenko V.V., Mareev S.A., Pis’menskaya N.D., Kovalenko A.V., Urtenov M.K., Uzdenova A.M., Pourcelly G. // Rus. J. Electrochem. 2017. V. 53. P. 1122].
- Zyryanova S., Mareev S., Gil V., Korzhova E., Pismenskaya N., Sarapulova V., Rybalkina O., Boyko E., Larchet Ch., D. Lasaad, Nikonenko V. // Int. J. Mol. Sci. 2020. V. 21. P. 973.
- Andreeva M.A., Gil V.V., Pismenskay N.D., Nikonenko V.V., Dammak L., Larchet C., Grande D., Kononenko N.A. // J. Membr. Sci. 2017. V. 540. P. 183.
- Campione A., Gurreri L., Ciofalo M., Micale G., Tamburini A., Cipollina A. // Desalination. 2018. V. 434. P. 121.
- Письменская Н.Д., Никоненко В.В., Белова Е.И., Лопаткова Г.Ю., Систа Ф., Пурсели Ж., Ларше К. // Электрохимия. 2007. Т. 43. С. 325. [англоязычная версия: Pismenskaya N.D., Nikonenko V.V., Belova E.I., Lopatkova G.Yu., Sistat Ph., Pourcelly G., Larshe K. // Rus. J. Electrochem. 2007. V. 43. P. 307.]
- Pang X., Tao Y., Xu Y., Pan J., Shen J., Gao C. // J. Membr. Sci. 2020. V. 595. P. 117544.
- Zabolotskii V.I., Shel’deshov N.V., Gnusin N.P. // Russ. Chem. Rev. 1988. V. 57. P. 801.
- Kharkats Yu.I. // Elektrokhimiya. 1985. V. 21. P. 974.
- Sillen L.G., Martell A.E. Stability Constants of Metal-ion Complexes. L.: Chem. Society, 1964.
- Демина О.А., Фалина И.В., Кононенко Н.А., Заболоцкий В.И. // Коллоидный журн. 2020. Т. 82. С. 148. [англоязычная версия: Demina O.A., Falina I.V., Kononenko N.A., Zabolotskiy V.I. // Colloid J. 2020. V. 82. P. 108.]
Supplementary files














