Исследование водородопроницаемости через поверхностно модифицированные Pd–Cu мембраны при низких температурах
- Авторы: Петриев И.С.1,2, Пушанкина П.Д.1, Андреев Г.А.1
-
Учреждения:
- Кубанский государственный университет
- Южный научный центр Российской академии наук
- Выпуск: Том 13, № 5 (2023)
- Страницы: 412-422
- Раздел: Статьи
- URL: https://journal-vniispk.ru/2218-1172/article/view/140998
- DOI: https://doi.org/10.31857/S2218117223050073
- EDN: https://elibrary.ru/KKKRJK
- ID: 140998
Цитировать
Полный текст
Аннотация
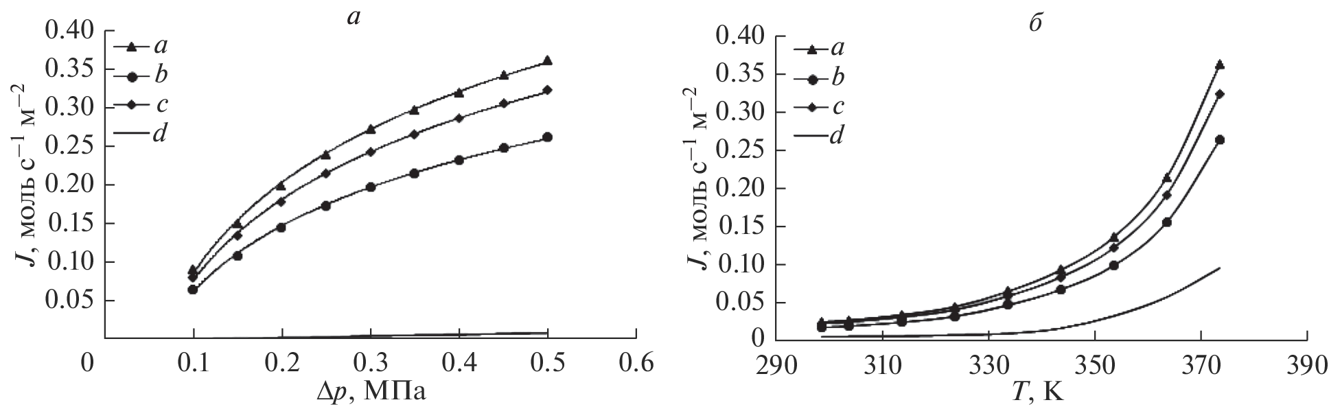
Мембраны сплава Pd60%Cu40% были модифицированы наноструктурированными покрытиями в целях интенсификации низкотемпературного (25–100°С) транспорта водорода. В качестве поверхностных модификаторов методом электроосаждения нанесены классическая палладиевая чернь и нитевидные частицы. Результаты проведенных экспериментов подтвердили, что нанесение модифицирующего слоя на обе поверхности разработанных мембран сплава Pd60%Cu40% способно существенно снизить поверхностные ограничения процесса переноса водорода. Исследование разработанных мембран в процессах низкотемпературного транспорта водорода продемонстрировало высокие и стабильные потоки вплоть до 0.36 ммоль с–1 м–2, а также высокую водородопроницаемость до 1.33 × 10–9 моль с–1 м–1 Па–0.5. Проницаемость водорода для мембран сплава Pd60%Cu40%, модифицированных нанонитями, оказалась до 1.3 раза выше относительно мембран, модифицированных классической чернью, и до 3.9 раза выше относительно немодифицированных мембран. Разработанные мембраны сплава Pd60%Cu40% также продемонстрировали высокий уровень селективности H2/N2 – до 3552. Стратегия поверхностной модификации мембран на основе палладия может пролить новый свет на разработку и производство высокопроизводительных и селективных мембран для использования в установках по получению сверхчистого водорода.
Об авторах
И. С. Петриев
Кубанский государственный университет; Южный научный центр Российской академии наук
Автор, ответственный за переписку.
Email: petriev_iliya@mail.ru
Россия, 350040, Краснодар; Россия, 344006, Ростов-на-Дону
П. Д. Пушанкина
Кубанский государственный университет
Email: petriev_iliya@mail.ru
Россия, 350040, Краснодар
Г. А. Андреев
Кубанский государственный университет
Email: petriev_iliya@mail.ru
Россия, 350040, Краснодар
Список литературы
- Filippov S.P., Yaroslavtsev A.B. // Russ. Chem. Rev. 2021. V. 90. № 6. P. 627. https://doi.org/10.1070/RCR5014
- Apel P.Y., Velizarov S., Volkov A.V. et al. // Membr. Membr. Technol. 2022. V. 4. P. 69. https://doi.org/10.1134/S2517751622020032
- Mironova E.Y., Ermilova M.M., Orekhova N.V. et al. // Membr. Membr. Technol. 2019. V. 1. P. 246. https://doi.org/10.1134/S251775161904005X
- Stenina I., Yaroslavtsev A. // Processes. 2023. V. 11. № 56. https://doi.org/10.3390/pr11010056
- Petriev I.S., Lutsenko I.S., Pushankina P.D. et al. // Russ. Phys. J. 2022 V. 65. P. 312. https://doi.org/10.1007/s11182-022-02637-x
- Didenko L.P., Babak V.N., Sementsova L.A. et al. // Membr. Membr. Technol. 2023. V. 5. P. 69. https://doi.org/10.1134/S2517751623020038
- Gallucci F., Fernandez E., Corengia P. et al. // Chem. Eng. Sci. 2013. V. 92. P. 40. https://doi.org/10.1016/j.ces.2013.01.008
- Lytkina A.A., Orekhova N.V., Ermilova M.M. et al. // Int. J. Hydrogen Energy. 2019. V. 44. P. 13310. https://doi.org/10.1016/j.ijhydene.2019.03.205
- Apel P.Y., Bobreshova O.V., Volkov A.V. et al. // Membr. Membr. Technol. 2019. V. 1. P. 45. https://doi.org/10.1134/S2517751619020021
- Lytkina A.A., Orekhova N.V., Ermilova M.M. et al. // Pet. Chem. 2017. V. 57. P. 1219. https://doi.org/10.1134/S0965544117130072
- Fedotov A.S., Tsodikov M.V., Yaroslavtsev A.B. // Processes. 2022. V. 10. № 2060. https://doi.org/10.3390/pr10102060
- El-Shafie M., Kambra S., Hayakawa Y. // S. Afr. J. Chem. Eng. 2021. V. 35. P. 118. https://doi.org/10.1016/j.sajce.2020.09.005
- Prikhno I.A., Safronova E.Y., Stenina I.A. et al. // Membr. Membr. Technol. 2020. V. 2. P. 265. https://doi.org/10.1134/S2517751620040095
- Petriev I., Pushankina P., Shostak N. et al. // Int. J. Mol. Sci. 2022. V. 23. № 228. https://doi.org/10.3390/ijms23010228
- Ryu S., Badakhsh A., Oh J.G. et al. // Membranes. 2023. V. 13. № 23. https://doi.org/10.3390/membranes13010023
- Fasolin S., Barison S., Agresti F. et al. // Membranes. 2022. V. 12. № 722. https://doi.org/10.3390/membranes12070722
- Yin Z., Yang Z., Du M. et al. // J. Membr. Sci. 2022. V. 654. № 120572. https://doi.org/10.1016/j.memsci.2022.120572
- Petriev I.S., Pushankina P.D., Lutsenko I.S. et al. // Doklady Physics. 2021. V. 66. P. 209. https://doi.org/10.1134/S1028335821080061
- Nam S.-E., Lee K.-H. // J. Membr. Sci. 2001. V. 192. P. 177. https://doi.org/10.1016/S0376-7388(01)00499-9
- Nam S.-E., Lee K.-H. // Ind. Eng. Chem. Res. 2005. V. 44. P. 100. https://doi.org/10.1021/ie040025x
- Islam M.S., Rahman M.M., Ilias S. // Int. J. Hydrog. Energy. 2012. V. 37. P. 3477. https://doi.org/10.1016/j.ijhydene.2011.11.024
- Kim D.-W., Park Y.J., Moon J.-W. // Thin Solid Films. 2008. V. 516. P. 3036. https://doi.org/10.1016/j.tsf.2007.11.126
- Bosko M.L., Fontana A.D., Tarditi A. et al. // Int. J. Hydrog. Energy. 2021. V. 46. P. 15572. https://doi.org/10.1016/j.ijhydene.2021.02.082
- Zhu K., Li X., Zhang Y. et al. // Int. J. Hydrog. Energy. 2022. V. 47. P. 6734. https://doi.org/10.1016/j.ijhydene.2021.12.021
- Alrashed F.S., Paglieri S.N., Alismail Z.S. et al. // Int. J. Hydrog. Energy. 2021. V. 46. P. 21939. https://doi.org/10.1016/j.ijhydene.2021.04.020
- Sazali N. // Int. J. Adv. Manuf. Technol. 2020. V. 107. P. 2465. https://doi.org/10.1007/s00170-020-05196-y
- Rahimpour M.R., Samimi F., Babapoor A. et al. // Chem. Eng. Process: Process Intensif. 2017. V. 121. P. 24. https://doi.org/10.1016/j.cep.2017.07.021
- Wei W., Liu L.C., Gong H.R. et al. // Comput. Mater. Sci. 2019, 159, 440–447. https://doi.org/10.1016/j.commatsci.2018.12.037
- Zhao C., Goldbach A., Xu H. // J. Membr. Sci. 2017. V. 542. P. 60. https://doi.org/10.1016/j.memsci.2017.07.049
- Ievlev V.M., Solntsev K.A., Vasiliev A.L. et al. // Processes. 2022. V. 10. № 2632. https://doi.org/10.3390/pr10122632
- Moon D.-K., Han Y.-J., Bang G. et al. // Korean J. Chem. Eng. 2019. V. 36. P. 563. https://doi.org/10.1007/s11814-019-0237-7
- Howard B.H., Killmeyer, R.P., Rothenberger K.S. et al. // J. Membr. Sci. 2004. V. 241. P. 207. https://doi.org/10.1016/j.memsci.2004.04.031
- Nayebossadri S., Speight J., Book D. // J. Membr. Sci. 2014. V. 451. P. 216. https://doi.org/10.1016/j.memsci.2013.10.002
- Martin M.H., Galipaud J., Tranchot A. et al. // Electrochim. Acta. 2013. V. 90. P. 615. https://doi.org/10.1016/j.electacta.2012.10.140
- Yuan L., Goldbach A., Xu H. // J. Phys. Chem. B. 2007. V. 111. № 37. P. 10952. https://doi.org/10.1021/jp073807n
- Gao M.C., Ouyang L., Doğan Ö.N. // J. Alloys Compd. 2013. V. 574. P. 368. https://doi.org/10.1016/j.jallcom.2013.05.126
- Yuan L., Goldbach A., Xu H. // J. Phys. Chem. B. 2008. V. 112. P. 12692. https://doi.org/10.1021/jp8049119
- Opalka S.M., Huang W., Wang D. et al. // J. Alloys Compd. 2007. V. 446–447. P. 583. https://doi.org/10.1016/j.jallcom.2007.01.130
- Shinoda Y., Takeuchi M., Dezawa N. et al. // Int. J. Hydrog. Energy. 2021. V. 46. P. 36291. https://doi.org/10.1016/j.ijhydene.2021.08.127
- Roa F., Block M.J., Way J.D. // Desalination. 2002. V. 147. P. 411. https://doi.org/10.1016/S0011-9164(02)00636-7
- Petriev I., Pushankina P., Bolotin S. et al. // J. Membr. Sci. 2021. V. 620. № 118894. https://doi.org/10.1016/j.memsci.2020.118894
- Kudashova D.S., Falina I.V., Kononenko N.A. et al. // Membr. Membr. Technol. 2023. V. 5. P. 18. https://doi.org/10.1134/S2517751623010043
- Yaroslavtsev A.B. // Solid State Ionics. 2005. V. 176. № 39–40. P. 2935–2940. https://doi.org/10.1016/j.ssi.2005.09.025
- Yaroslavtsev A.B., Stenina I.A., Golubenko D.V. // Pure and Applied Chemistry. 2020. V. 92. № 7. P. 1147–1157. https://doi.org/10.1515/pac-2019-1208
- Voropaeva E.Y., Stenina I.A., Yaroslavtsev A.B. // Russ. J. Inorg. Chem. 2008. V. 53. P. 1677. https://doi.org/10.1134/S0036023608110016
- Yaroslavtsev A.B., Stenina I.A., Voropaeva E.Yu. et al. // Polymers for Advanced Technologies. 2009. V. 20. № 6. P. 566–570. https://doi.org/10.1002/pat.1384
- Golubenko D.V., Karavanova Y.A., Melnikov S.S. et al. // J. Membr. Sci. 2018. V. 563. P. 777–784. https://doi.org/10.1016/j.memsci.2018.06.024
- Safronova E.Y., Stenina I.A., Yaroslavtsev A.B. // Russ. J. Inorg. Chem. 2010. V. 55. P. 13. https://doi.org/10.1134/S0036023610010031
- Vielstich W. Brennstoffelemente. Moderne Verfahren zur elektrochemischen Energlegewfnming, Verlag Chemie, Weinheim 1965.
- Petriev I., Pushankina P., Lutsenko I. et al. // Nanomaterials. 2020. V. 10. № 2081. https://doi.org/10.3390/nano10102081
- Petriev I., Pushankina P. Glazkova Y. et al. // Coatings. 2023. V. 13. P. 621. https://doi.org/10.3390/coatings13030621
- Basov A., Dzhimak S., Sokolov M. et al. // Nanomaterials. 2022. V. 12. № 1164. https://doi.org/10.3390/nano12071164
- Pushankina P., Baryshev M., Petriev I. // Nanomaterials. 2022. V. 12. № 4178. https://doi.org/10.3390/nano12234178
- Petriev I.S., Pushankina P.D., Lutsenko I.S. et al. // Tech. Phys. Lett. 2021. V. 47. P. 803. https://doi.org/10.1134/S1063785021080216
- Xiong Y., Ye W., Chen W. et al. // RSC Adv. 2017. V. 7. P. 5800. https://doi.org/10.1039/C6RA25900F
- Wang L., Zhai J.-J., Jiang K. et al. // Int. J. Hydrog. Energy. 2015. V. 40. P. 1726. https://doi.org/10.1016/j.ijhydene.2014.11.128
- Ward T.L., Dao T. // J. Membr. Sci. 1999. V. 153. P. 211. https://doi.org/10.1016/S0376-7388(98)00256-7
- Baychtok Y.K., Sokolinsky Y.A., Ayzenbud M.B. // J. Phys. Chem. 1976. V. 50. P. 1543.
- Pacheco Tanaka D.A., Llosa Tanco M.A., Okazaki J. et al. // J. Membr. Sci. 2008. V. 320. P. 436. https://doi.org/10.1016/j.memsci.2008.04.044
- Nomura M., Ono K., Gopalakrishnan S. et al. // J. Membr. Sci. 2005. V. 251. P. 151. https://doi.org/10.1016/j.memsci.2004.11.008
- Itoh N., Xu W.-C. // Appl. Catal. A: Gen. 1993. V. 107. P. 83. https://doi.org/10.1016/0926-860X(93)85117-8
- Okazaki J., Pacheco Tanaka D.A., Llosa Tanco M.A. et al. // J. Membr. Sci. 2006. V. 282. P. 370. https://doi.org/10.1016/j.memsci.2006.05.042
- Santucci A., Borgognoni F., Vadrucci M. et al. // J. Membr. Sci. 2013. V. 444. P. 378. https://doi.org/10.1016/j.memsci.2013.05.058
- Pan X., Kilgus M., Goldbach A. // Catal. Today. 2005. V. 104. P. 225. https://doi.org/10.1016/j.cattod.2005.03.049
- Zhao C., Goldbach A., Xu H. // J. Membr. Sci. 2017. V. 542. P. 60. https://doi.org/10.1016/j.memsci.2017.07.049
Дополнительные файлы










