Кинетические коэффициенты переноса через бислойную ионообменную мембрану в процессе электродиффузии
- Авторы: Угрозов В.В.1, Филиппов А.Н.2
-
Учреждения:
- Финансовый университет при Правительстве Российской Федерации
- Губкинский университет
- Выпуск: Том 13, № 6 (2023)
- Страницы: 486-493
- Раздел: Статьи
- URL: https://journal-vniispk.ru/2218-1172/article/view/231895
- DOI: https://doi.org/10.31857/S2218117223060081
- EDN: https://elibrary.ru/MJEYWP
- ID: 231895
Цитировать
Полный текст
Аннотация
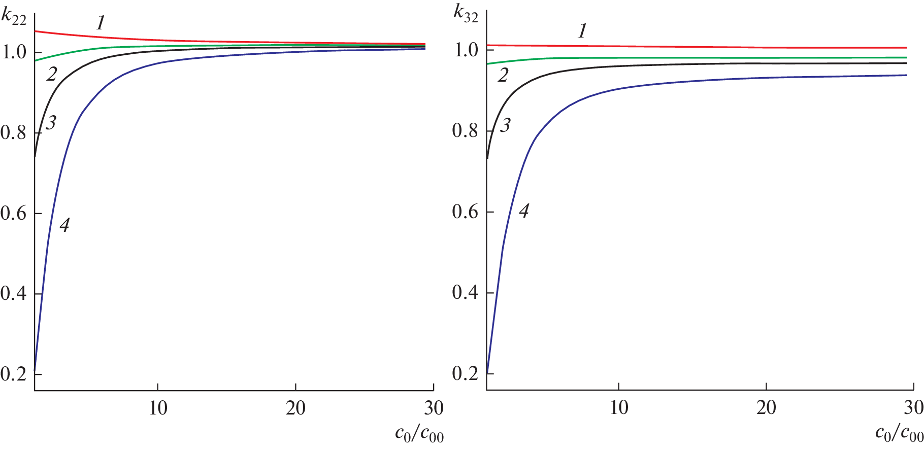
В рамках термодинамики необратимых процессов и гомогенной модели тонкопористой мембраны получены аналитические выражения для удельных коэффициентов электропроводности и электродиффузии бислойной ионообменной мембраны. Методом математического моделирования исследовано влияние физико-химических параметров модифицирующего слоя и концентрации электролита на величины полученных коэффициентов при фиксированных физико-химических характеристиках подложки. Показано, что электропроводность и электродиффузия модифицированной мембраны при совпадении знаков объемных зарядов ее мембранных слоев возрастают с увеличением плотности объемного заряда модифицирующего слоя и убывают при их отличии или возрастании толщины модифицирующего слоя. С увеличением концентрации электролита указанные характеристики модифицированной мембраны возрастают независимо от знака зарядов ее мембранных слоев. Полученные аналитические выражения могут быть использованы при моделировании электромембранных процессов и прогнозирования характеристик новых поверхностно модифицированных ионообменных мембран.
Об авторах
В. В. Угрозов
Финансовый университет при Правительстве Российской Федерации
Автор, ответственный за переписку.
Email: vugr@rambler.ru
Россия, 125993, Москва, Ленинградский просп., 49,
А. Н. Филиппов
Губкинский университет
Email: vugr@rambler.ru
Россия, 119991, Москва, Ленинский просп., 65, корп. 1
Список литературы
- Larchet C., Zabolotsky V.I., Plisetskaya N., Nikonenko V.V., Tskhay A., Tastanov K. et al. // Desalination. 2008. V. 222. P. 489.
- Strathmann H. // Desalination. 2010. V. 264. P. 268.
- Apel P.Y., Bobreshova O.V., Volkov A.V., Volkov V.V., Nikonenko V.V., Stenina I.A., Filippov A.N., Yampolskii Y.P., Yaroslavtsev A.B. // Membr. Membr. Technol. 2019. V. 1. P. 45.
- Bergner D. // Chem. Ing. Tech. 1994. V. 66. P. 1026.
- Esmaeili N., Gray E.M., Webb C.J. // Chem. Phys. Chem. 2019. V. 20. P. 2016.
- Ramaswamy N., Mukerjee S. // Chem. Rev. 2019. V. 119. P. 11945.
- Kalathil A., Raghavan A., Kandasubramanian B. // Polym. Technol. Mater. 2019. V. 58. P. 465.
- De Groot S., Mazur P. // Non-Equilibrium Thermodynamics. Amsterdam: North-Holland, 1962.
- Заболоцкий В.И., Никоненко В.В. // Перенос ионов в мембранах. М.: Наука, 1996.
- Nikonenko V.V., Yaroslavtsev A.B., Pourcelly G. // Ion Transfer in and Through Charged Membranes: Structure, Properties, and Theory. In Ionic Interactions in Natural and Synthetic Macromolecules; John Wiley & Sons Inc.: Hoboken, NJ, USA, 2012. P. 267–335.
- Koter S. // J. Membr. Sci. 2002. V. 206. P. 201.
- Garcia-Morales V., Cervera J., Manzanares J.A. // J. Electroanal. Chem. 2007. V. 599. P. 203.
- Filippov A.N., Starov V.M., Kononenko N.A., Berezina N.P. // Adv. Colloid Interface Sci. 2008. V. 139. № 1–2. P. 29.
- Filippov A.N., Iksanov R.Kh., Kononenko N.A., Berezina N.P., Falina I.V. // Colloid J. 2010. V. 72. P. 243.
- Gnusin N.P., Zabolotsky V.I., Meshechkov A.I. // Russ. J. Phys. Chem. 1980. V. 54. P. 1518.
- Zabolotsky V.I., Nikonenko V.V. // J. Memb. Sci. 1993. V. 79. P. 181.
- Pourcelly G., Oikonomou An., Gavach C., Hurwitz H.D. // J. Electroanal. Chem. 1990. V. 287. P. 43.
- Devanathan R., Venkatnathan A., Rousseau R., Dupuis M., Frigato T., Gu W., Helms V. // J. Phys. Chem. B. 2010. V. 114. P. 13681.
- Pourcelly G., Oikonomou An., Gavach C., Hurwitz H.D. // J. Electroanal. Chem. 1990. V. 287. P .43.
- Nichka V.S., Mareev S.A., Porozhnyy M.V., Shkirskaya S.A., Safronova E.Y., Pismenskaya N.D., Nikonenko V.V. // Membr. Membr.Technol. 2019. V. 1. P. 190.
- Kozmai A.A., Pismenskaya N.N., Nikonenko V.V. // Int. J. Mol. Sci. 2022. V. 23. P. 2238.
- Филиппов А.Н. // Коллоид. журн. 2018. Т. 80. С. 745.
- Филиппов А.Н. // Коллоид. журн. 2018. Т. 80. С. 758.
- Filippov A.N., Philippova T.S. // Colloids Interfaces. 2022. V. 6. P. 34.
- Peters P.B., van Roij R., Bazant M.Z., Biesheuvel P.M. // Phys. Rev. 2016. E 93. P. 053108
- Ryzhkov I.I., Vyatkin A.S., Minakov A.V. // J. Siberian Federal University. Mathematics & Physics 2018. V. 11. № 2. P. 494.
- Balanneca B., Ghoufib A., Szymczyk A. // J. Membrane Sci. 2018. V. 552. № 15. P. 336.
- Falina I., Loza N., Loza E., Titskaya E., Romanyuk N. // Membranes. 2021. V. 11. P. 227.
- Andreeva M.A., Loza N.V., Pismenskaya N.D., Dammak L., Larchet C. // Membranes. 2020. V. 10. № 7. P. 145.
- Golubenko D.V., Yaroslavtsev A.B. // J. Membr. Sci. 2021. V. 635. 119466.
- Gil V.V., Andreeva M.A., Jansezian L., Han J., Pismenskaya N.D., Nikonenko V.V., Larchet C., Dammak L. // Electrochim. Acta 2018. V. 281. P. 472.
- Zhao, J. Sun L., Chen Q., Lu H., Wang J. // J. Membr. Sci. 2019. V. 582. P. 211.
- Afsar N.U., Shehzad M.A., Irfan M., Emmanuel K., Sheng F., Xu T., Ren X., Ge L., Xu T. // Desalination. 2019. V. 458. P. 25.
- Matthew Sheorn, Humayun Ahmad, Santanu Kundu // American Chemical Society. 2023. V. 1. № 2. P. 832.
- Filippov A.N. // Colloid J. 2016. V. 78. № 3. P. 397.
- Ugrozov V.V., Filippov A.N. // Colloid J. 2022. V. 84. № 6. P. 761.
- Березина Н.П., Кононенко Н.А., Филиппов А.Н., Шкирская С.А., Фалина И.В., Сычева А.А. // Электрохимия. 2010. Т. 46. С. 515.
- Długołecki P., Ogonowski P., Metz S.J., Saakes M., Nijmeijera K., Wessling M. // J. Membrane Science. 2010. V. 349. P. 369.
- Galama A.H., Hoog N.A., Yntema D.R. // Desalination. 2016. V. 380. P. 1.
Дополнительные файлы







