Поли(уретан-имиды) и поли(эфир-имиды) как перспективные материалы для разработки газоразделительных и первапорационных мембран
- Авторы: Диденко А.Л.1, Нестерова А.С.1, Анохина Т.С.1, Борисов И.Л.1, Кудрявцев В.В.1
-
Учреждения:
- ФГБУ науки Ордена Трудового Красного Знамени Институт нефтехимического синтеза им. А.В. Топчиева Российской Академии Наук
- Выпуск: Том 14, № 1 (2024)
- Страницы: 53-66
- Раздел: Статьи
- URL: https://journal-vniispk.ru/2218-1172/article/view/260769
- DOI: https://doi.org/10.31857/S2218117224010066
- EDN: https://elibrary.ru/OJTLJD
- ID: 260769
Цитировать
Полный текст
Аннотация
В настоящем обзоре представлены разделительные свойства мембран на основе поли(уретан- имидов) – полимеров, являющихся современными продуктами химической модификации полиимидов и полиуретанов. Обзор мембранных свойств поли(уретан-имидов) основан на принципах их химического дизайна. Рассмотрены мембраны на основе: мультиблочных (сегментных) полимеров, полиимидов, сшитых полиуретанами, гибридных поли(уретан-имидных) материалов, поли(уретан-имидов), подвергнувшихся селективной деструкции уретановых блоков. В рассматриваемых случаях даются представления об основных направлениях синтеза мембранных поли(уретан-имидов), приводятся исходные вещества и условия проведения реакций. Подробно приведены транспортные и разделительные свойства поли(уретан-имид)ных мембран в процессах газоразделения, первапорации и ультрафильтрации. Описаны применения, для которых разрабатывались поли(уретан-имидные) мембраны. В целом, дается представление о значимости поли(уретан-имидных) газоразделительных и первапорационных мембран для процессов разделения.
Ключевые слова
Полный текст
ВВЕДЕНИЕ
Поли(уретан-имиды) представляют собой обширное семейство полимеров, обладающих хорошими пленкообразующими свойствами, высокой механической прочностью, теплостойкостью, устойчивостью к действию органических растворителей и способностью к вариации в широких пределах проницаемости и селективности разделяемых веществ в процессах мембранного разделения как жидкостей, так и газов. Поли(уретан-имидные) блоксополимеры следует относить к сравнительно новому подклассу термостойких полимеров, являющихся продуктами химической модификации полиимидов с помощью полиуретанов [1–4]. Полиимиды и полиуретаны являются технически значимыми полимерами, производимыми в промышленных масштабах. Разработка поли(уретан-имидов) обусловлена необходимостью повышения теплостойкости (температуры эксплуатации) и прочностных свойств полиуретанов, с одной стороны, и облегчения условий переработки полиимидов, с другой стороны. По мембранным свойствам полиимидов [5–8] и полиуретанов [9–11] имеется представительная литература, из которой следует в первом приближении, что полиимиды характеризуются высокой селективностью при низкой проницаемости, а полиуретанам, напротив, соответствует высокая проницаемость при пониженной селективности. Поли(уретан- имидные) блоксополимеры интересны для мембранных технологий тем, что благодаря вариациям химического строения имидных и уретановых блоков и относительного содержания этих блоков в объеме полимера можно целенаправленно регулировать показатели селективности и проницаемости в процессах разделения веществ при сочетании теплостойкости, прочности и биосовместимости полимерного материала, из которого изготовлена мембрана.
Гибкие уретановые и жесткие имидные блоки термодинамически плохо совместимы и в объеме полимера образуют микрофазы. Микрофазовое разделение является характерной особенностью строения поли(уретан-имидов). С этой особенностью физической организации макромолекул поли(уретан-имидов) связано проявление этими полимерами свойств теплостойких высокопрочных эластомеров (температуры стеклования лежат в области отрицательных по шкале Цельсия температур, имеется протяженное в область повышенных температур плато каучукоподобной эластичности, величина деформации при растяжении составляет сотни процентов) и в ряде случаев проявление свойств термоэластопластов (возможна переработка не только из растворов, но и расплавов полимеров на доступном оборудовании) [12]. В процессах мембранного разделения гибкие блоки ответственны преимущественно за транспорт потока разделяемых веществ через мембрану. Жесткие блоки, обеспечивающие образование физических сшивок в полимерной системе, ответственны за сохранение формы мембраны вследствие набухания в наиболее проникающем компоненте (так называемый эффект стенки).
Приготовление поли(уретан-имидов), из которых формуются мембраны того или иного назначения, осуществляется методами поликонденсации по известным в литературе и апробированным многими исследователями методикам, учитывающим закономерности химии полиуретанов и химии полиимидов [13–17]. В процессах поликонденсации при этом используются коммерчески доступные мономеры и растворители, которые применяются при получении соответственно промышленных полиуретанов и полиимидов: алифатические полиэфиры или полилактоны, диизоцианаты, ангидриды ароматических тетркарбоновых кислот, ароматические диамины и амидные растворители. По своему химическому составу и строению (архитектуре) поли(уретан-имидные) полимерные системы подразделяют на мультиблочные (сегментные) сополимеры, сшитые полиуретанами полиимиды, статистические сополимеры с имидными и уретан-имидными звеньями и смеси полиимидов с полиуретанами. Разумеется, мембранные свойства указанных систем определяются их структурой. Необходимо отметить, что близкими аналогами поли(уретан-имидов) являются поли(уретан-мочевины), также представляющие интерес как мембранные материалы.
В последние 30–35 лет процессы мембранного разделения активно внедряются в технологическую практику во многих отраслях промышленности. Технологии, использующие мембранное разделение, вследствие пониженных капитальных затрат и высокой энергоэффективности в сравнении с теми, что используют обычные методы разделения, имеют несомненные преимущества для своего развития. Поли(уретан-имиды) придают мембранам такое сочетание свойств, как высокая производительность, механическая стабильность и высокая энергоэффективность при разделении, возможность использования при наработке поли(уретан-имидов) мономерной базы, созданной для производства полиуретанов и полиимидов соответственно. Относительная простота при формовании поли(уретан-имидов) изделия привлекает внимание как академических исследователей, так и специалистов-технологов. В большинстве случаев мембранное разделение проходит на полимерах, находящихся в стеклообразном состоянии (т.е. ниже температуры стеклования). Область рабочих температур для поли(уретан-имидных) мембран соответствует высокоэластическому состоянию (выше температуры стеклования уретановых блоков). Это обстоятельство обусловливает дополнительный интерес к исследуемым мембранам. Настоящая обзорная статья имеет своей целью познакомить специалистов с имеющимися в литературе работами, раскрывающими потенциал поли(уретан-имидов) как полимерных материалов для разработки газоразделительных, первапорационных и фильтрационных мембран.
МЕМБРАНЫ НА ОСНОВЕ МУЛЬТИБЛОЧНЫХ (СЕГМЕНТНЫХ) СОПОЛИ(УРЕТАН-ИМИДОВ)
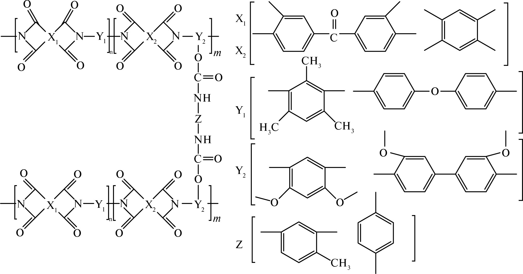
По своему строению (архитектуре) мультиблочным (сегментным) сополи(уретан-имидам) соответствует общая формула [А – (В)k]n. В каждом повторяющемся звене этих сополимеров содержится жесткий блок мономера А (ароматического имида, обрамленного уретановыми группами) и гибкий блок (В)k алифатического полиэфира, входящего в полиуретан. Как отмечалось, блоки А и (В)k термодинамически плохо совместимы и образуют в объеме сополимера микрофазы. В общем свойства сополи(уретан-имидов) опредеделяются комбинацией гибкости цепей полиэфирных сегментов, жесткости (уретан-имидных) сегментов, разделением и частичным взаимопроникновением фаз, водородными связями, π-π-взаимодействиями бензольных колец и другими межмолекулярными взаимодействиями. Требуется пояснить, что полиуретаны получают при взаимодействии алифатических полидиолов (т.е. простых или сложных полиэфиров, имеющих концевые гидроксильные группы) с ароматическими диизоцианатами. Детальные прописи синтеза сегментных поли(уретан-имидов) приводятся в работах [18, 19].
Интерес к поли(уретан-имидам) был проявлен в 1990-е годы со стороны нефтехимической промышленности в связи с потребностями в разделении смесей ароматических и насыщенных (алифатических) углеводородов. Использование мембран для этих целей привлекло большое внимание научного и инженерно-технологического сообщества: по сравнению с дистилляцией мембранное разделение обеспечивает значительное снижение энергетических затрат и габаритов оборудования. В патентной литературе отражается интерес к первапорационным мембранам на основе различных представителей класса теплостойких полимеров. Оценка первапорационных возможностей поли(уретан-имидов) и родственных им по структуре полимеров, характеризующихся наивысшими показателями прочности и теплостойкости в ряду исследованных мембран, проведена в патентах и работах, представленных ниже.
Так, в патенте [20] предлагается использовать поли(уретан-имидную) мембрану для выделения ароматических углеводородов от алифатических в процессах первапорации, перстракции, обратного осмоса или диализа. Пленочную мембрану формуют из раствора поли(уретан-имида) в диметилформамиде, получаемого в результате последовательных операций блокирования концевых гидроксильных групп алифатического полиола ароматическим диизоцианатом и затем роста цепи по реакции с ароматическим ангидридом.
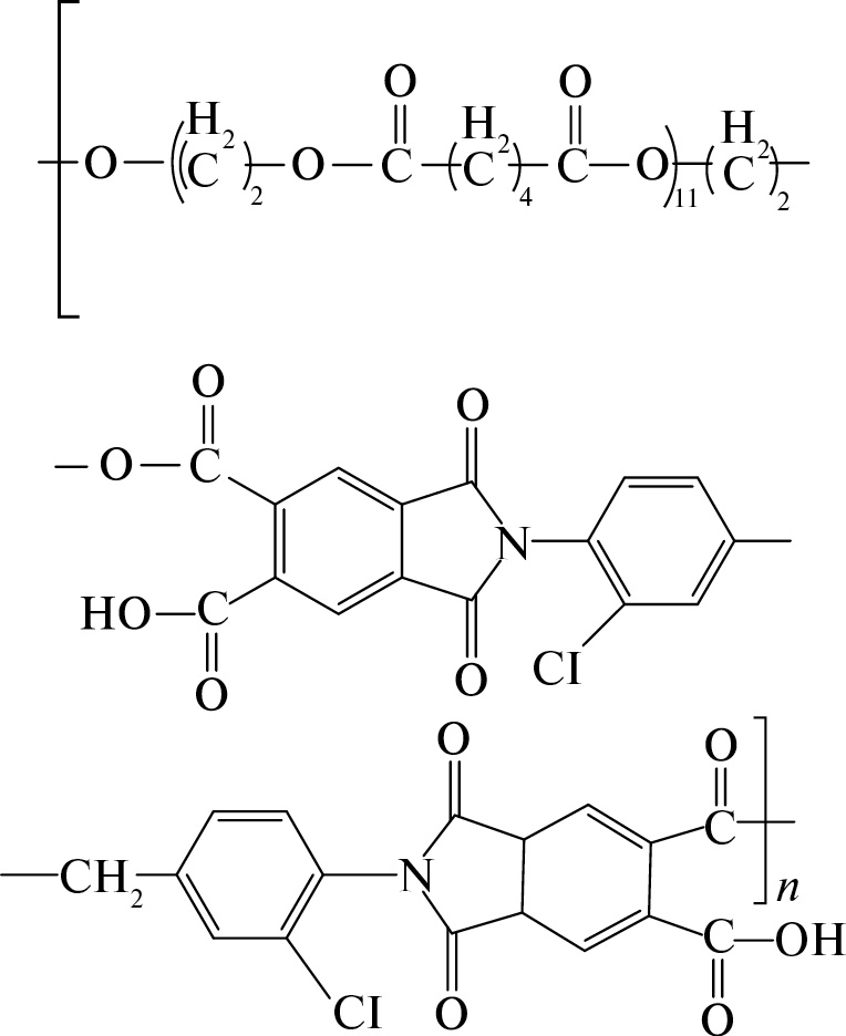
В качестве примера в [20] приводятся свойства первапорационой мебраны, полученной на основе полиэтиленадипинатдиола (Mn=2000 г/моль), 4,4`-дифенилметандиизоцианата и пиромеллитового ангидрида. Химической структуре полимера соответствует формула:
В случае первапорации тяжелой каталитической нафты, содежащей 51 об. % ароматических углеводородов, при температуре 140°С в вакууме 10 мбар при потоке 36 кг мкм/(м2 сут) достигнута проницаемость (производительность) 2700 кг мкм/(м2 сут) при селективности 7.0, причем пермеат содержал 88 об. % ароматических углеводородов. Мембрана стабильна при повышенных (140–160°С) температурах и характеризуется высокой производительностью (выше 2000 кг мкм/(м2 ∙ сут)).
Близкими аналогами поли(уретан-имидов) являются поли(эфир-имиды), под которыми следует понимать сегментные сополимеры ароматических полиимидов и алифатических сложных эфиров. В [21] предлагаются мембраны на основе мультиблочного (сегментного) сополи(эфир-имида), в структуру которого в качестве жесткого сегмента входит имид и в качестве гибкого сегмента – алифатический сложный полиэфир (в отсутствии уретановой связи в основной цепи и наличии карбоксильной группы в боковой цепи). Первапорационные свойства приводятся для случаев поли(эфир-имидов), приготовленных с использованием в качестве мономеров полиэтиленадипинатдиола (Mn = 2000, 1000, 500 г/моль) и полиэтиленсукцинатдиола (Mn = 2000 г/моль) соответственно, пиромеллитового ангидрида и метилен-ди(орто-хлор)анилина. Химической структуре полимеров на основе полиэтиленадипинатдиола соответствует формула:
На первой стадии синтеза образцов поли(эфир-имида) осуществляли взаимодействие полиэфирдиола с двукратным молярным избытком пиромеллитового ангидрида, приводящее к образованию преполимера с концевыми ангидридными группами, и на второй стадии синтеза проводили расширение цепи преполимера за счет реакции концевых групп преполимера с метилен-ди(орто-хлор)анилином с образованием целевого полимера в форме амидокислоты. Синтез проводили в растворе в диметилформамиде. Из реакционного раствора отливали пленки, которые отверждали нагреванием при 260–300°С. В случае мембран на основе полиэтиленадипинатдиола разделяемая смесь содержала по объему 50% толуола и 50% изооктана. В случае мембран на основе полиэтиленсукцинатдиола разделяемая смесь содержала 10% толуола, 40% п-ксилола, 20% изооктана, 30% н-октана. Процесс проводили при температурах 150–200°С.
В ряду исследованных в работе [21] мембран образец на основе полиэтиленсукцинатдиола, приготовленный при мольном соотношении диол/ангидрид/диамин/, составляющем 1/2/1, характеризуется наивысшей величиной селективности, равной 9 при производительности (проницаемости) по нормализованному потоку 600 кг ∙ мкм/(м2 · сут). Эта мембрана имеет большую селективность, чем мембрана на основе полиэтиленадипинатдиола (9 против 5), но меньшую проницаемость (600 кг · мкм/(м2 · сут) по сравнению с 3000 кг · мкм/(м2 · сут)).
В патенте [22] приводятся первапорационные свойства поли(эфир-имидной) мембраны на основе полигексаметиленкарбонатдиола, пиромеллитового ангидрида и метилен-ди(орто-хлор)анилина. Исходная смесь состояла из 50 мас. % толуола и 50 мас. % изооктана. Первапорацию исследовали при 100°С, 120°С, 150°С, 170°С и 190°С. В последовательности указанных температур селективность убывала: 9.1–7.6–7.1–6.3–5.9, но поток пермеата (выраженный в кг·мкм/(м2 · сут)) возрастал: 2460–4050–6790–10740–13080.
В патенте [23] предложены первапорационные мембраны на основе поли(эфир-имидов) без боковой карбоксильной группы. Синтез поли(эфир-имида) в этом случае включает стадию терминирования полэфирдиола фтальангидридными группами с помощью двойного молярного избытка хлорангидрида тримеллитовой кислоты и последующую реакцию расширения полимерной цепи с помощью ароматического диамина. Полимеру, приготовленному с использованием в качестве исходных веществ полиэтиленадипинатдиола (Mn = 2000 г/моль), хлорангидрида тримеллитовой кислоты и метилендианилина, соответствует формула:
Важно отметить, что в цитируемом патенте показано, что первапорационные свойства мембран на основе поли(эфир-имидов) с боковыми карбоксильными группами и аналогами без боковых карбоксильных групп при разделении толуола c н-октаном практически не различаются. В патенте предлагается использовать поли(эфир-имидные) мембраны для разделения смесей ароматических и насыщенных (алифатических) углеводородов в потоках тяжелой каталитической нафты, промежуточной каталитической нафты, потоках легкой ароматики, кипящей в пределах 40–150°С, потоках легких каталитических циклических масел, кипящих в пределах 200–345°С, топлива для реактивных двигателей, кипящего в пределах 140–280°С, дизельного топлива, кипящего в пределах 200–365°С, а также в потоках, содержащих бензол, толуол, ксилены, другие ароматические соединения вместе с насыщенными соединениями в различных комбинациях.
Поли(уретан-имиды) эффективны для дегидратации (осушения) спиртов, как это было показано в недавней работе [24]. Исследовались первапорационные свойства мембраны, приготовленной на основе поликапролактона (Mn = 530 г/моль и 2000 г/моль), 2,4-толуилендизоцианата, пиромеллитового ангидрида и мета-фенилендиамина при разделении смеси изопропиловый спирт/вода при содержании воды 20 мас. %. Как и следовало ожидать, мембраны на основе поли(уретан-имида), содержащего более протяженный поликапролактоновый блок (Mn = 2000 г/моль), характеризуются большей проницаемостью (8.8 кг мкм/ (м2 сут)) при селективности 179, в то время как аналоги на основе менее протяженного гибкого блока (Mn = 530 г/моль) характеризовались большей селективностью 437 при меньшей проницаемости (5.1 кг · мкм/(м2 · сут)).
Соотношение селективность/проницаемость для мембран на основе сегментных поли(уретан-имидов) и поли(эфир-имидов) регулируется их химической структурой и протяженностью гибких и жестких блоков в макромолекулярной цепи. В этой связи представляют интерес эффекты, проявляющиеся в случае металлополимерных нанокомпозитов, составленных из поли(эфир-имидов) и наночастиц диоксида циркония [25]. В работе [25] на основе пиромеллитового ангидрида, пара-фенилендиамина, а также полибутиленадипатдиола (Mn = 1000 г/моль) и полиэтиленадипатдиола (Mn = 10000 г/моль ), взятых в мольном соотношении 10 : 1, синтезированы исходные образцы мультиблочного поли(эфир-имида) и композиты на основе этого поли(эфир-имида) с наночастицами двух типов: диоксида циркония ZrO2, подвергнутого поверхностной обработке γ-аминопропилтриэтоксисиланом, и диоксида циркония, допированного оксидом иттрия (Y0.03Zr0.97O1.985). Наночаcтицы вводили в полимерную матрицу на стадии синтеза поли(эфир-имидного) преполимера.
Исследуемый поли(эфир-имид) и нанокомпозиты на его основе были испытаны в качестве непористых пленочных мембран при выделении в условиях первапорации бензола или толуола из их смесей с н-октаном или циклогексаном. В случае исходного поли(эфир-имида), при равном содержании ароматического и алифатического углеводорода (50 мас. %) в разделяемых смесях полученный пермеат содержал 92 мас. % толуола и 8 мас. % н-октана, 90 мас. % бензола и 10 мас. % циклогексана соответственно. Селективность для смеси толуол/н-октан составила 10 при проницаемости 2.3 кг мкм/ч м2, а для смеси бензол/циклогексан – 7 при проницаемости 5.2 кг мкм/ч м2. При введении наночастиц (Y0.03Zr0.97O1.985) проницаемость мембраны возросла по бензолу в 2 раза, а по толуолу в 4 раза. Селективность разделения мембраной компонентов смесей при этом закономерно снизилась на фоне общего увеличения производительности мембраны. Селективность при разделении смеси бензола с циклогексаном (50 мас. %) бензола и 50 мас. % циклогексана) композиционной пленкой составила 6 при проницаемости 12 кг мкм/ч м2. При разделении смеси толуола с н-октаном (50 мас. % толуола) селективность была равной 4 при проницаемости 8.3 кг мкм/ч м2. При введении в объем полиэфиримида наночастиц ZrO2, обработанных γ-аминопропилтриэтоксисиланом, проницаемость мембраны для компонентов разделяемых смесей возрастает в меньшей степени, в ~1.5 раза, селективность практически не изменяется, а производительность мембраны остается высокой, составляя 33 кг/м2 ч для смеси толуол/н-октан и 60.9 кг/м2 ч для смеси бензол/циклогексан.
Таким образом, в работе [25] показано, что основной эффект от введения наночастиц на основе диоксида циркония в объем непористой пленочной мембраны сегментного поли(эфир-имида) состоит в значительном увеличении разделяемого потока при сохранении высокого уровня селективности в процессе первапорационного разделения смесей ароматических и алифатических углеводородов.
Похожий эффект обнаружен в работе [26], где модификация мембран МС-40, модифицированных тонким слоем МФ-4СК, содержащим частицы ZrO2 или SiO2, повышает селективность переноса ионов по числу переноса катионов. Причем на примере введения диоксида циркония в мембрану Nafion-212 показано, что такая модификация приводит к значительному возрастанию механических свойств мембран при незначительном снижении ионной проводимости. Введение 6.0 мас. % ZrO2 повышает модуль Юнга до 66 ± 4 МПа и предел прочности при растяжении до 15 ± 3 МПа, что почти в три раза превышает аналогичные показатели для немодифицированных мембран. Кроме того, введение ZrO2 снижает объемное набухание мембран при контакте с растворителем [27].
В синтезе поли(уретан-имидов) и родственных им поли(эфир-имидов) участвуют реакции раскрытия ангидридных колец ароматических ангидридов аминами и гидроксильными группами диолов. Вследствие этого в цепях преполимеров и целевых полимеров могут присутствовать боковые карбоксильные группы.
Полимеры с боковыми карбоксильными группами сшивают, используя реакции взаимодействия карбоксильных групп с диэпоксисоединениями или диизоцианатами.
В патенте [28] предлагаются первапорационные мембраны, изготовленные из сшитых диэпоксидами поли(эфир-имидов), и отмечается, что сшитые мембраны отличаются от несшитых аналогов много большей стабильностью к набуханию в потоках ароматических/насыщенных углеводородов. Ниже приводятся транспортные свойства полимерной системы на основе пиромеллитового ангидрида, полиэтилнадипинатдиола (Mn = 2000) и метилендианилина, сшитой с помощью диэпоксициклооктана. Разделяемая смесь содержала 50 мас. % мезитилена и 50 мас. % н-декана. Первапорацию проводили при температуре 140°С. Мембрана набухала в указанной смеси в течение 3.3 дня при 140°С. В случае «свежей» селективность при разделении была 4.2 при проницаемости 1100 кг · мкм/(м2 · сут), а случае набухшей мембраны селективность была 4.0 при проницаемости 1160 кг · мкм/(м2 · сут).
В патенте [29] оцениваются первапорационные свойства сшитой полимерной системы, полученной на основе пиромеллитового ангидрида и полиэтилнадипинатдиола (Mn = 2000) с применением в качестве сшивающего агента 2,4-толуилендиизоцианта. Сшивка в данном случае осуществляется за счет реакции взаимодействия диизоцианата с боковыми карбоксильными группами преполимера, образующимися при раскрытии ангидридных колец полидиолом, что приводит к сшиванию цепей преполимера диамидными мостиками. Приведены температурные зависимости значений показателей селективности и проницаемости при разделении системы, которая содержит 50 мас. % толуола и 50 мас. % изооктана, из которой следует, что мембрана характеризуется хорошими селективностью, производительностью и термической стабильностью (около170°С).
Газоразделительные свойства сегментных сополи(эфир-имидов) представлены в работе [30]. В синтезе сополи(эфир-имидов) использовали бис(3-аминопропил)полиэтиленоксид, бис(3-аминопропил)полипропиленоксид и бис(3-аминопропил)политетрагидрофуран, ароматические диамины и диангидриды. Сополи(эфир-имиды) получали путем совместной конденсации терминированных аминопропильными группами полиэфиров и ароматических диаминов с диангидридами кислот. Сополи(эфир-имид) на основе полиэтиленоксида характеризуется высокими значениями коэффициента пропускания относительно СО2 (1.4 ∙ 10-8 см3 (STP) см2/ (см s смHg) и селективностью CO2/N2 (70) при 298 К. В целях сравнения целесообразно указать на работу [31], в которой оценены газотранспортные свойства сегментных полиуретанов с различными гибкими сегментами.
В качестве мембранных материалов интерес представляют сегментные поли(уретан-имиды) со свойствами катиономеров. Синтез и характеристика свойств пленкообразующих поли(уретан-имидных) катиономеров, содержащих в боковых цепях группы четвертичного аммония, представлены в работе [32]. В синтезе в качестве исходных веществ использовали политетраметиленоксид (Mn = 1000 г/моль), N-метилдиэтаноламин, 4,4`-метилен-бис-фенилизоцианат и 4,4`-гексафторизопропилиден-бис-фталевый ангидрид. Использование N-метилдиэтаноламина позволило ввести в полимерные цепи третичные азотные атомы. Далее проведена кватернизация этих атомов с помощью различных алкилирующих агентов, что привело к катионным четвертичным аммониевым группам с такими противоионами, как метилсульфат, тозилат, трифлат, хлорид, бромид, иодид. Синтезированные полимеры интересны тем, что содержат фиксированные катионные группы с преимущественно подвижными анионами. Свойства кватернизованных полимеров в растворе и твердом состоянии были исследованы с учетом использования синтезированных полимеров в дальнейшем в процессах мембранного разделения.
МЕМБРАНЫ НА ОСНОВЕ ПОЛИИМИДОВ, СШИТЫХ ПОЛИУРЕТАНАМИ
По вопросам сшивки поли(уретан-имидов) и свойствам сшитых продуктов имеется обширная литература [33]. Полиимиды, сшитые полиуретанами, имеют свою архитектуру.
Дизайн химически сшитых полиуретанами полиимидов предполагает использование в синтезе полиимидов диаминов, содержащих оксигруппы, что позволяет получить полиимиды с боковыми гидроксильными группами и осуществить сшивание полиимидных цепей за счет реакций боковых гидроксильных групп с диизоцианатами или полиэфирдиолами, терминированными диизоцианатами. В статье [34] предложен метод синтеза поли(уретан-имидов) посредством взаимодействия реакционноспособных полиуретановых преполимеров с растворимыми полиимидами, содержащими боковые гидроксильные группы. В результате поликонденсации диангидрида 2,2`-бис(3,4-дикарбоксифенил)гексафторпропана и 3,3`-дигидрокси-4,4`-диаминобифенила получали раствор полиимидного преполимера (полиамидокислоты) в диметилацетамиде. Полиуретановый преполимер готовили путем реакции в амидном растворителе полиэфирдиола с двойным молярным избытком 2,4-толуилендиизоцианата с последующей защитой изоцианатных концевых групп с помощью фенола. Оба раствора смешивали и из общего раствора отливали пленки. Пленки подвергали термообработке, в ходе которой осуществлялось отверждение (имидизация) и сшивание полимеров. Благодаря вариациям в соотношении уретановой и имидной составляющих поли(уретан-имидные) пленки приобретали различные свойства: от теплостойких термопластов до теплостойких эластомеров.
В случае полиимидов, сшитых диизоцианатами, целесообразнее использовать термин поли(имид- уретаны). Синтез сшитых поли(имид-уретанов) отвечает острой потребности технологической практики в разработке новых высокоселективных и при том устойчивых к пластикации в условиях продолжительной эксплуатации материалов для газоразделительных мембран. Следует заметить, что процессы разделения газов, способных к конденсации, осложняются пластикацией полимерной матрицы сорбированными молекулами таких пенетрантов, как, например, СО2 или С3Н8. Пластикация проявляется набуханием структуры мембраны, что приводит возрастанию проницаемости разделяемых газов и нежелательному снижению селективности при эксплуатации мембраны.
В патенте [35] приводится способ синтеза сшитого поли(имид-уретана), полученного на основе диангидрида 2,2`-бис(3,4-дикарбоксифенил)гексафторпропана и 3,3`-дигидрокси-4,4`-диаминобифенила и сшитого с помощью 2,4-толуилендиизоцианата. Мембраны для испытаний в виде непористых пленок приготовляли при использовании образцов полимеров, полученных при мольном соотношении гидроксильных и изоцианатных групп 5/4 и 4/1 соответственно. Ниже приводится формула, отражающая химическое строение узлов сшивки полимеров (структуры радикалов представлены выборочно):
В случае поли(имид-уретана), синтезированного при мольном соотношении гидроксильных и изоцианатных групп 5/4, мембраны характеризовались следующими показателями: при разделении смеси He/CH4 проницаемость по He была 14.8 Баррер и селективность He/CH4 составила 651; при разделении смеси H2/CH4 проницаемость по H2 была 8.2 Баррер и селективность H2/CH4 составила 263. В случае поли(имид-уретана), синтезированного при мольном соотношении гидроксильных и изоцианатных групп 4/1, при разделении смеси CO2/CH4 проницаемость мембраны по CO2 была 4.84 Баррер и селективность CO2/CH4 составила 34.6. Мембраны показали высокую стабильность по отношению к растворителям, высокую устойчивость к пластикации углеводородами, высокую селективность при разделении He/CH4 и H2/CH4. Полученные результаты позволяют полагать, что поли(имид-уретановые) мембраны найдут применение в процессах разделения смесей других газов: O2/N2, CO2/N2, олефин/парафин (например, пропилен/пропан), изо/нормальный парафин, ксилолы, полярные молекулы, такие как H2O, H2S и NH3/смеси с CH4, N2, H2.
В [35] указывается, что разработанные высокоселективные сшитые поли(имид-уретановые) мембраны могут быть также использованы при разделении жидких сред, например, при опреснении воды посредством обратного осмоса или для отделения протеинов и других температурно-нестабильных соединений, т.е. в фармацевтической и биотехнологической индустрии. Эти мембраны могут найти применение в ферментаторах и биореакторах для транспорта газов в реакционный сосуд и переноса клеточной культуральной среды из этого сосуда. Кроме того, сшитые поли(имид- уретановые) мембраны могут быть использованы в целях удаления микроорганизмов из воздушных и водяных потоков, очистки воды, в производстве этанола в непрерывной системе ферментация/первапорация через мембрану, для определения и удаления соединений или солей металлов в воздушных и водяных потоках.
В статье [36] проведена оценка транспортных свойств изотропных непористых мембран на основе термостойких полиамидоимидов, сшитых полиэтиленадипинатом (Mn = 1300 г/моль), в отношении смесей насыщенных паров органических соединений (бензола, толуола и метилового спирта) и газов (азота, кислорода и углекислого газа). Мембранные материалы получали, сшивая полиамидокислоту, приготовленную на основе пиромеллитового ангидрида и 4,4`-оксидианилина, по реакции боковых карбоксильных групп с концевыми группами полиэтиленадипината, терминированного 2,4`-толуилендиизоцианатом, при этом мольное соотношение реагирующих групп варьировалось. Было определено, что мембраны с большей плотностью сшивки полиэтиленадипинатом имеют проницаемость органических паров по величине на 23 порядка выше, чем у газов. Отмеченное обстоятельство указывает на перспективность предложенных мембран для извлечения паров органических веществ, например, из промышленных горячих воздушных потоков.
Представляют интерес газоразделительные мембраны на основе поли(уретан-имидов) с архитектурой взаимопроникающих сеток, представленные в статье [37]. Поли(уретан-имиды) указанной структуры приготовляли путем смешения полиуретанового преполимера с полиимидным преполимером-полиамидокислотой, которые брали в различных соотношениях. Полиуретановый преполимер синтезировали в двухстадийном процессе на основе гидрокситерминированного полибутадиена, 4,4`-дициклогександиизоцианата и 1,4-бутандиола. Полиамидокислоту получали по реакции диангидрида 3,3`,4,4`-бензофенонтетракарбоновой кислоты и 4,4`-оксидианилина в растворе в амидном растворителе. Растворы преполимеров смешивали, из них отливали пленки, которые высушивали и подвергали термообработке. Полимерные взаимопроникающие сетки формировались за счет реакций между полиуретановым преполимером и полиамидокислотой и реакций между двойными связями в радикалах полибутадиена.
В [37] показано, что газоразделительные характеристики мембран при разделении смеси О2/N2 зависят от их структуры, контролируемой исходными соотношениями преполимеров. Полиуретановая мембрана на основе гидрокситерминированного полибутадиена характеризовалась высокой проницаемостью по О2 (22.8 Баррер) и низкой селективностью О2/N2 (1.92), в то время как характеристики полиимидной мембраны имели потивоположную направленность: проницаемость по О2 (0.16 Баррер) и селективность О2/N2 (7.62). Полагается, что газы в основном проникают через гибкие сегменты полимерных цепей в случае полиуретанов и в случае полиимидов между карбоксильными группам имидных циклов и сквозь кислородные мостики между бензольными кольцами. Разумеется, с усложнением архитектуры полимеров газоразделительные характеристики мембран изменяются. Оптимальное соотношение проницаемости и селективности наблюдается для образца, полученного в результате смешения преполимеров в весовой пропорции 0.5/05. В указанном случае нашли проницаемость по О2 (3.65 Баррер) и селективность О2/N2 (3.41). Важно отметить, что проницаемость исследованного образца была в 12 раз выше, чем образца полиимида.
МЕМБРАНЫ НА ОСНОВЕ ГИБРИДНЫХ ПОЛИ(УРЕТАН-ИМИДНЫХ) МАТЕРИАЛОВ
По определению, к гибридным относят материалы, полученные в результате взаимодействия химически различных составляющих, чаще всего органических и неорганических компонентов. В литературе [38, 39] приводятся характеристики мембран на основе гибридных полимеров, составленных из имидных, полисилоксановых и силсеквиоксановых блоков, соединенных уретановыми и мочевиновыми мостиковыми группами. Интерес к таким мембранам связан прежде всего с экологическими проблемами.
Как отмечается в работе [38], синтез так называемых гибридных поли(уретан-имидов)-ПОСС обусловлен экологической проблемой выделения и утилизации углекислого газа. Газоразделительные поли(уретан-имидные)-ПОСС мембраны представлены в [38, 39]. Синтез полимеров для изготовления мембран проводили путем конденсации полиимидного преполимера, имеющего концевые ангидридные группы, с полиуретановым преполимером, имеющим концевые изоцианатные группы. Полиимидный преполимер получали в результате взаимодействия гексметилендиизоцианата с диангидридом 2,2`-бис(3,4-дикарбоксифенил)гексафторпропана, взятым с молярным избытком. Полиуретановый преполимер получали на основе полидиметилсилоксана (Mn 5600) c гидроксиалкильными концевыми группами, гексаметилендиизоцианата и специально наработанного гептациклопентилтрициклогептасилоксантриола (Cy-POSS). При получении целевых мембранных материалов полиимидный и полиуретановый преполимеры смешивали в весовых соотношениях 0/100, 10/90, 20/80, 30/70, 100/0. В качестве растворителя использовали тетрагидрофуран. Измеряли проницаемость мембран по газам О2, N2, CO2 и селективность для пар газов О2/N2 и CO2/N2. Измерения проводили при 30°С и переменных давлениях 1–4 атм.
Проницаемость газов повышается с возрастанием давления в питающем потоке. По данным [38], в случае исследованных полиуретановых (PU) мембран наблюдается увеличение значения проницаемости от 290 до 341 Баррер для O2, от 183 до 222 Баррер для N2 и от 1.610 до 1.913 Баррер для CO2. В случае полимера, содержащего 10 мас. % имидной составляющей (PU-10), значения проницаемости для газов О2, N2, CO2 возрастают от 301 до 364 Баррер, от 205 до 234 Баррер и от 1.722 до 2.033 Баррер соответственно. Увеличение значений проницаемости для газов О2, N2, CO2 от 322 до 408 Баррер, от 218 до 258 Баррер и от 1.801 до 2.178 Баррер соответственно, для случая полимера, содержащего 20 мас. % имидной составляющей (PU-20). Значения селективости мембран на основе PU, PU-10 и PU-20 лежат в пределах 1.47–1.53, 1.49–1.51 и 1.50–1.55 для пары газов О2/N2 и 8.12–8.30, 8.36–8.79 и 8.33–8.81 для пары газов СО2/ N2 соответственно. Селективность для пары газов О2/N2 в случае полиуретановой мембраны ниже, чем для гибридных мембран. Разумеется, транспорт газов через мембраны зависит от относительного содержания и взаимного влияния в объеме полимеров фторсодержащих имидных, полисилоксановых, неорганических силсеквиоксановых блоков, агрегации уретановых и имидных функциональных групп.
Выделение СО2 является новой технологией, которая используется для снижения воздействия на окружающую среду последствий сгорания ископаемого топлива. Газоразделительные поли(уретан- имидные)-ПОСС мембраны [38, 39] демонстрируют в указанном отношении очень высокую проницаемость и приемлемую селективность. ПОСС блоки усиливают проницаемость газовых молекул, что обусловливает отличные газотранспортные свойства мембран. Что касается выделения О2, то предложенные мембраны перспективны для обогащения кислородом вдыхаемого больными воздуха в технологиях, исключающих применение кислородных баллонов.
Синтез поли(мочевино-уретан-имидных)-ПОСС мембран [40] связан с необходимостью разработки нетоксичных антифоулингов (средств против обрастания биологическими субстанциями работающих в воде аппаратов и конструкций). Синтез гибридного полимера проводили путем конденсации полиимидного преполимера, имеющего концевые ангидридные группы, с полиуретановым преполимером, имеющим концевые изоцианатные группы. Полиимидный преполимер получали в результате взаимодействия 2,4-толуилендиизоцианата с диангидридом 3,3’,4,4’-бензофенонтетракарбоновой кислоты, взятым с молярным избытком. Поли(мочевино-уретановый) преполимер получали на основе полидиметилсилоксана (Mn = 2500 г/моль) с концевыми аминопропильными группами, 2,4-толуилендиизоцианата и специально наработанного гептациклопентилтрициклогептасилоксантриола (Cy-POSS). При получении целевых мембранных материалов полиимидный и полиуретановый преполимеры смешивали в весовых соотношениях 0/100, 10/90, 20/80. В качестве растворителя использовали тетрагидрофуран.
Молекулярная структура поли(мочевино-уретан-имидных) сополимеров была охарактеризована с помощью метода ИК-спектроскопии. Влияние имидных блоков на поверхностную шероховатость исследовано методом атомно-силовой спектроскопии (AFM). Гидрофобность поверхности мембран определена при измерении контактных углов. Антимикробная активность мембран и ингибирование прикрепления к ним бактерий исследовались диск-диффузионным методом относительно золотистого стафилококка и кишечной палочки. Было показано, что повышенная гидрофобность мембран и низкая шероховатость их поверхности обусловливает высокую устойчивость мембраны к фоулингу (обрастанию). Поли(мочевино-уретановые) и поли(мочевино-уретан-имидные) мембраны показали отличные антифоулинговые свойства (устойчивость к закреплению бактериий на поверхности) вследствие того, что поверхность мембран в большей степени покрыта силоксановыми и силсеквиоксановыми блоками.
Следует указать на работу [41], в которой предложена композитная обратноосмотическая мембрана с антифоулинговым скин-слоем из поли(амидо-уретан-имида), модифицированного наночастицами серебра. Сополимер составлен исключительно из ароматических звеньев и притом включает звенья линейного имида, т.е. находится за рамками обсуждаемых в настоящем обзоре структур.
В завершение обзора следует сказать, что корректное сопоставление транспортных свойств полиимидов и полиуретанов на количественном уровне представляет собой трудно разрешаемую задачу. В указанном отношении привлекает внимание работа [42], в которой исследовались газоразделительные свойства ряда ароматических полиимидов и близких им по химической структуре сополимеров этих же полиимидов с сегментными поли(уретан-имидами), содержащими в макроцепях радикалы полиэтиленоксида. Определялись проницаемости для газов: He, O2, N2, CO2 при давлении подачи 6 бар и температуре 30°С. Полиимид на основе диангидрида 3,3`,4,4`-дифенилоксидтетракарбоновой кислоты и 4,4`-диаминодифенилового эфира характеризовался проницаемостью по N2 (0.028 Баррер), O2 (0.199 Баррер), He (2.89 Баррер) и CO2 (0.56 Баррер), селективность составила для случая O2/N2 (7.11), He/N2 (103.2), CO2/N2 (20.0). Статистический сополи(уретан-имид), содержащий блоки полиэтиленоксида, в цитируемой работе [ ] получали путем сополиконденсации диангидрида 3,3`,4,4`-дифенилоксидтетракарбоновой кислоты с двумя диаминами: 4,4`-диаминодифениловым эфиром и бис(2-аминоапропил)поли(этиленоксидом) (Jefffamine ED-2003 c молекулярной массой Mn 2000), взятым в молярном соотношении 1 : 3. Указанный сополи(уретан-имид) характеризовался проницаемостью по N2 (0.816 Баррер), O2 (2.32 Баррер), He (4.61 Баррер) и CO2 (51.6 Баррер), селективность составила для случая O2/N2 (2.84), He/N2 (5.6), CO2/N2 (63.2). Авторы [42] обратили внимание на то обстоятельство, что в случае рассматриваемого полиимида наблюдаемые значения проницаемости газов располагаются в ряд He > CO2 > O2 > N2, что соответствует порядку повышения кинетического диаметра газов, и отметили, что такое поведение типично для большинства полиимидов и других стеклообразных полимеров, когда диффузия контролирует проницаемость. В случае сегментного сополи(уретан-имида) имеет место иной порядок расположения значений проницаемости газов: CO2 > He > O2 > N2. Наблюдаемое повышенное значение проницаемости по CO2 по сравнению с He, несмотря на больший размер молекулы CO2, указывает, что в случае сегментного сополи(уретан-имида) проницаемость CO2 определяется главным образом фактором растворимости. Увеличение вклада растворимости в величину проницаемости CO2 обусловлено благоприятными взаимодействиями между молекулами CO2 и полярными сегментами полиэтиленоксида. Следует отметить, что рассматриваемый сополи(уретан-имид) с проницаемостью 52 Баррер по CO2 и селективнстью 63 по паре CO2/ N2 находится среди лучших мембранных материалов данного типа, описанных в литературе.
Что касается газоразделительных свойств полиуретановых мембран, то в первом грубом приближении можно составить о них представление на основании работы [43], в которой приведены свойства полиуретановых мембран, отвечающих требованиям “зеленых” технологий и “работающих” при низких давлениях при комнатной температуре. Выбранная в качестве примера мембрана характеризовалась при давлении подачи 4 бар величинами проницаемости по CO2 (58.8 Баррер), N2 (1.6 Баррер), СH4 (6.8 Баррер), O2 (6.0 Баррер) при селективности по парам газов CO2/N2 (36.1), CO2/СH4 (8.7), CO2/O2 (9.8), СH4/O2 (1.1), O2/N2 (3.7). Как поли(уретан-имидные), так и полиуретановые мембраны относятся к числу эластомеров и “работают” в высокоэластическом состоянии, т.е. их транспортные свойства определяются строением гибких блоков. При сравнении полиимидных, поли(уретан-имидных) и полиуретановых мембран необходимо учитывать не в меньшей степени механические и термические свойства матричных полимеров, непременно входящие в перечень эксплуатационных свойств мембран.
Пористые полиимидные материалы на основе поли(уретан-имидов), подвергнувшихся селективной деструкции уретановых блоков. С учетом экологических требований к разрабатываемым полимерным материалам всегда возникают вопросы об утилизации и возможности рециклинга матричных полимеров (разложения до мономеров и повторном использовании мономеров). В случае сополи(уретан-имидов) возможности положительного решения этих вопросов определяются термической и химической устойчивостью уретановых и имидных связей [44, 45]. Известна бо´льшая термическая стабильность имидных связей по сравнению с уретановыми, а также бо´льшая устойчивость циклических имидов в сравнении с уретанами в кислых агрессивных средах. Указанные обстоятельства наводят на мысль об управляемой селективной деструкции сополи(уретан-имидов) в целях получения целевых полиимидных материалов.
Известно, что одним из путей получения пористых полимерных материалов является разложение термически лабильных доменов в фазоворазделенных блоксополимерах и графтсополимерах, составленных из термостабильных и термически лабильных блоков, поскольку при пиролизе лабильных блоков в объеме сополимера формируются поры [46]. В работах [46, 47] был подтвержден тот факт, что термообработка поли(уретан-имидных) пленок в температурной области 200–400°С вызывает практически полный распад лишь уретановых блоков, что приводит к пористым полиимидным пленкам.
В [47] проводили пиролиз поли(уретан-имидов), полимидов и сополимерных систем полииимид/полиуретан, результате которого получали мембраны. Полученные мембраны исследовали методом адсорбции азота и с помощью теста на пропускание через мембрану воды. Результаты показали, что уретановые блоки разлагаются при 200–300°С, в то время как имидные блоки разлагаются при 500–700°С. Макропоры и микропоры формируются в процессе пиролиза в термически лабильном уретановом компоненте и термически стабильном имидном компоненте соответственно. В случае образца, приготовленного при использовании исходных полиуретанового препролимера, полиимидного преполимера и технического углерода в весовом отношении 20 : 75 : 5, общая удельная поверхность пор (определенная по методу БЭТ) составила 555.6 м2/г, поверхность микропор 503.7 м2/г, общий удельный объем пор 0.265 см3/г и объем микропор 0.235 см3/г. Образец нагревали в токе аргона в течение 2 ч при 300°С и 1 ч при 900°С. Усадка полимеров возрастает с увеличением содержания в исходных полимерах уретановых блоков или снижением содержания имидных блоков. Размер пор мембран можно регулировать в широких пределах путем изменения соотношения уретановых и имидных блоков. Присадки технического углерода могут эффективно снизить усадку и повысить удельную поверхность и объем пор.
Следует сказать, что вопрос о формовании полиимидных ультрафильтрационных и микрофильтрационных мембран для биологических и фармацевтических технологий является весьма актуальным, имеет богатую литературную историю и привлекает внимание исследователей и практиков. Современные употребительные методы формования таких мембран (TIPS, NIPS, MSDM) основаны на механизме разделения фаз [48–50]. В рамках настоящего обзора рационально указать на возможность дополнить известные механизмы приготовления ультрафильтрационных полиимидных мембран механизмом селективной деструкции уретановых блоков в сополи(уретан-имидах).
В работах [51, 52] показано, что полиуретановые блоки, присутствующие в сополи(уретан-имидных) полимерных системах, можно удалять в результате химической деструкции полиуретановых блоков в кислых средах, не затрагивая имидные блоки. В результате последовательных реакций термолиза и гидролиза уретановых блоков в поли(уретан-имидном) сополимере, содержащем 10 мол. % уретановых звеньев и 90 мол. % звеньев поли(оксидифениленпиромеллитимида), исходная пленка растворимого сополи(уретан-имида) была конвертирована в пористую пленку нерастворимого поли(оксидифенилен)пиромеллитимида. Отожженная при 170°С исходная пленка с низкой степенью разложения уретановых блоков демонстрировала свойства ультрафильтрационной мембраны. Пленка стабильна в растворителе в диметилформамиде и характеризовалась коэффициентом задержания 95% красителя Remazol Brilliant Blue. После гидролиза термообработанной пленки в кислой среде появились ультрафильтрационные поры размером 66–82 нм, что привело к возрастанию потока пермеата более чем на два порядка по величине. Это обстоятельство указывает на возможность управления структурой полимера для дальнейшей оптимизции эксплуатационных характеристик фильтрационных мембран на его основе. В работах [51, 52] при формировании пористой структуры фильтрационных мембран отсутствуют стадии циклизации амидокислотных структур и исключается использование в больших объемах растворителей и осадителей.
ЗАКЛЮЧЕНИЕ
Поли(уретан-имиды) – это сравнительно новый класс конденсационных полимеров, возможности применения которых в различных современных технология раскрыты далеко не полностью, в том числе и в мембранных технологиях. Настоящий обзор свидетельствует об интересе, проявленном академической наукой и технологией к поли(уретан-имидным)мембранам. Приведенные характеристики известных поли(уретан-имидных) мембран, в которых сочетаются высокая производительность с высокой селективностью разделения, указывают на их большие потенциальные возможности при решении актуальных задач в экологии, фармацевтике и биотехнологии, а также в нефтехимии и нефтепереработке. Несомненным преимуществом поли(уретан-имидов) является доступность сырьевой базы, опора на достижения в технологии производства и переработки полиимидов и полиуретанов, повышенные механические свойства наряду с высокой теплостойкостью, устойчивость по отношению к растворителям. Вариации в методах синтеза поли(уретан-имидов) позволяют получать полимеры с различной химической и надмолекулярной структурой и тем самым регулировать их физические свойства. Имеются все основания полагать, что исследования поли(уретан- имидных) мембран входят в число актуальных задач современного полимерного мембранного материаловедения.
Об авторах
А. Л. Диденко
ФГБУ науки Ордена Трудового Красного Знамени Институт нефтехимического синтеза им. А.В. Топчиева Российской Академии Наук
Автор, ответственный за переписку.
Email: vanilin72@yandex.ru
Россия, 119991, Москва, Ленинский пр., д. 29
А. С. Нестерова
ФГБУ науки Ордена Трудового Красного Знамени Институт нефтехимического синтеза им. А.В. Топчиева Российской Академии Наук
Email: vanilin72@yandex.ru
Россия, 119991, Москва, Ленинский пр., д. 29
Т. С. Анохина
ФГБУ науки Ордена Трудового Красного Знамени Институт нефтехимического синтеза им. А.В. Топчиева Российской Академии Наук
Email: vanilin72@yandex.ru
Россия, 119991, Москва, Ленинский пр., д. 29
И. Л. Борисов
ФГБУ науки Ордена Трудового Красного Знамени Институт нефтехимического синтеза им. А.В. Топчиева Российской Академии Наук
Email: boril@ips.ac.ru
Россия, 119991, Москва, Ленинский пр., д. 29
В. В. Кудрявцев
ФГБУ науки Ордена Трудового Красного Знамени Институт нефтехимического синтеза им. А.В. Топчиева Российской Академии Наук
Email: vanilin72@yandex.ru
Россия, 119991, Москва, Ленинский пр., д. 29
Список литературы
- Ueda T., Inoue S.-I. // Organic Polymer Materials. 2018. № 8. P. 11. doi: 10.4236/ojopm.2018.81001
- Solimando X., Babin J., Arnal-Herault C., Wang M., Barth D., Roizard D., Doillon-Halmenschlager J.-R., Poncot M., Royaud I., Alcouffe P., David L., Jonquires A. // Polymer. 2017. 131. P. 56. doi: 10.1016/j.polymer.2017.10.007
- Sang X., Wang R., Chen X., Zhang L., An M., Shen Y. // Advanced Materials Research. 2011. 284–286. P. 1746. doi: 10.4028/ href='www.scientific.net/AMR.284-286.1746' target='_blank'>www.scientific.net/AMR.284-286.1746
- Sendijarevic A., Seminaries V., Frisch K.C., KorugaLazarevic B., Torlic E. // Journal of Polymer Science: Part А: Polymer Chemistry. 1990. V. 28. P. 3603–3615.
- Костина Ю.В. // Влияние структурных особенностей ароматических полиимидов на их транспортные свойства, 2006, кандидатская диссертация, https://www.dissercat.com/content/vliyanie-strukturnykh-osobennostei-aromaticheskikh-poliimidov-na-ikh-transportnye-svoistva.
- Алентьев А.Ю., Ямпольский Ю.П., Русанов А.Л., Лихачев Д.Ю., Казакова Г.В., Комарова Л.Г., Пригожина М.П. // Высокомолекулярные соединения. Серия А. 2003. Т. 45. № 9. С. 1566–1573.
- Ohya H., Kudryavtsev V.V., Semenova S.I. // Polyimide Membranes: Applications, Fabrications, and Properties; Kodansha Inc.: New-York. NY. USA. 1996. P. 314.
- KimT-E., Koros W.J., Husk G.R. // Separation Science and Technology.1988. V. 23 (12&13), P. 1611–1626. doi: 10.1080/01496398808075652
- Nasrollahi N., Yousefpoor M., Khataee A., Vatanpour V. // Journal of Industrial and Engineering Chemistry. 2022. V. 116. 25. P. 99–119. doi: 10.1016/j.jiec.2022.09.038
- Santos G.H.G., Rodrigues M.A., Ferraz H.C., Moura L.C., Miranda J.L. // Materials Science Forum. 2018. V. 965. P. 125–132. doi: 10.4028/ href='www.scientific.net/MSF.965.125' target='_blank'>www.scientific.net/MSF.965.125
- Georg G., Bhoria N., Mittal V. // Polymers in oil and gas industry. 2018. 7. P. 165–201. Central West Publishing, Australia. https://centralwestpublishing.com/wp-content/uploads/2018/02/Sample-Chapter-Polymers-in-Oil-and-Gas-Industry.pdf.
- Диденко А.Л., Иванов А.Г., Смирнова В.Е., Ваганов Г.В., Попова Е.Н., Кузнецов Д.А., Мягкова Л.А., Светличный В.М, Юдин В.Е., Кудрявцев В.В. // Пластические массы. 2022. № 9. 10. С. 20–24. doi: 10.35164/0554-2901-2022-9-10-20-24
- Sonnenschein M.F. Polyurethanes: Science, Technology, Markets, and Trends; John Wiley & Sons International Right. Inc.: Hoboken. NJ. USA. 2014. P. 439. doi: 10.1002/9781118901274
- Holden G., Kricheldorf H., Quirk R. Thermoplastic Elastomers, 3rd ed.; Hanser Publication: Cincinnati, OH, USA. 2004. P. 540.
- Sroog, C.E. // Polyimides. Prog. Polym. Sci. 1991. V. 16. P. 561–694. doi: 10.1016/0079-6700(91)90010-I
- Bessonov M.I., Koton M.M., Kudryavtsev V.V., Laius, L.A. Polyimides Thermally Stable Polymers; Consultants Bureau: New York,NY, USA, 1987. P. 318.
- Mittal, K.L. (Ed.) Polyimides: Synthesis, Characterization and Applications; Plenum Press: New York, NY, USA, 1984. V. 1.
- Didenko A.L., Kuznetcov D.A., Smirnova V.E., Bogdanov E.A., Vaganov G.V., Ivanov A.G., Kobykhno I.A., Vasil’eva E.S., Tolochko O.V., Svetlichnyi V.M. // J. Appl. Chem. 2021. V. 94. P. 1240–1259. doi: 10.1134/S107042722109007X
- Didenko A.L., Kuznetcov D.A., Smirnova V.E., Popova E.N., Vaganov G.V., Ivanov A.G., Svetlichnyi V.M., Yudin V.E., Kudryavtsev V.V. // Chem. Bull. 2020. V. 69. P. 369–377. doi: 10.1007/s11172-020-2769-8
- US patent# 4,929,358 от Мау 29, 1990, Polyurethane-imide membranes and thеir use for thе separation of aroмatics from non-aroмatics.
- US patent# 4,944,880 от Jul. 31, 1990, Pоlуimide/aliphatic polyester copolymers without pendent carboxylic acid groups (C-266).
- US patent# 5,756,643 от May. 7, 1996, Polyimide copolymers containing polycarbonate soft segments.
- US patent# 5,241,039 от Aug. 31, 1993, Pоlуimide/aliphatic polyester copolymers.
- Sokolova M.P., Bugrov A.N., Smirnov M.A., Smirnov A.V., Lahderanta E., Svetlichnyi V.M., Toikka A.M. // Polymers. 2018. V. 10. P. 1222. doi: 10.3390/polym10111222
- Юдин В.Е., Бугров А.Н., Диденко А.Л., Смирнова В.Е., Гофман И.В., Кононова С.В., Кремнев Р.В., Попова Е.Н., Светличный В.М., Кудрявцев В.В. // Высокомолекулярные соединения. Серия Б. 2014. Т. 56. № 6. С. 1–8. doi: 10.7868/S2308113914060163
- Karavanova Y.A., Kas’kova Z.M., Veresov A.G., & Yaroslavtsev A.B. // Russian journal of inorganic chemistry. 2010. V. 55. P. 479–483. doi: 10.1134/s0036023610040017
- Voropaeva, D., Merkel, A., & Yaroslavtsev, A. // Solid State Ionics. 2022. V. 386. 116055. doi: 10.1016/j.ssi.2022.116055
- US patent# 5,550,199 от Aug. 27, 1996, Diepoxide crosslinked/esterified polyimide-aliphatic polyester copolymers.
- US patent# 4,997,906 от Mar. 5, 1991, Crosslinked copolymers of aliphatic polyester diols and dianhydrides.
- Okamoto K-I., Fujii M., Okamyo S., Suzuki H., Tanaka К., Кita H. // Macromolecules, 1995, V. 28, P. 6950–6956. doi: 10.1021/ma00124a035
- Woli´nska-Grabczyk A., Jankowski A. // Separation and Purification Technology. 2007. V. 57. P.413–417. doi: 10.1016/j.seppur.2006.03.025
- Awkal M., Jonquieres A., Clement R., Lochon P. // Polymer. 2006. V. 47. P. 5724–5735. doi: 10.1016/j.polymer.2006.05.058
- Zhou C. // New Polymers for Special Applications, Chapter 8. P. 225–250. doi: 10.5772/48282
- Zuo M., Takeichi T. // Polymer. 1999. V. 40. P. 5153–5160. doi: 10.1016/s0032-3861(98)00726-5
- WO patent# 2019/204152 A1 от 24 October 2019, High selectivity poly(imide-urethane) membranes for gas separations.
- Šindelář V., Sysel P., Hynek V., Friess K., Šípek M., Castaneda N. // Collect. Czech. Chem. Commun. 2001. V. 66. P. 533–540. DOI: 10.1135 / cccc20010533
- Tsai M.-H., Huang S.-L., Liu S.-J., Chen C.-J., Chen P.-J., Chen S.-H. // Desalination. 2008. V. 233. P. 191–200. doi: 10.1016/j.desal.2007.09.042
- Gnanasekaran D., Reddy B.S.R. // Clean Techn Environ Policy. 2013. V. 15. P.383–389. doi: 10.1007/s10098-012-0500-7
- Gnanasekaran D., Walter P.A., Parveen A.A., Reddy B.S.R. // Separation and Purification Technology. 2013. V. 111. P. 108–118. DOI:/10.1016/j.seppur.2013.03.035
- Walter P.A., Muthukumar T., Reddy B.S.R. // Letters in Applied Microbiology. 2015. V. 61. P. 274–282. doi: 10.1111/lam.12457
- Liu L.-F., Wu H., Li R.-H., Yu C.-Y., Zhao X.-T., Gao C.-J // RSC Adv. 2018. V. 8. P. 37817–37827. doi: 10.1039/c8ra04906h
- Jankowski A., Grabiec E., Nocon´-Szmajda K., Marcinkowski A., Wolin´ska-Grabczyk H.J.A. // Membranes. 2021. V. 11. P. 74. doi: 10.3390/membranes11040274
- Santos G. H.G., Rodrigues M.A., Ferraz, H.C. Moura L.C., Miranda J.L. // Materials Science Forum. 2019. V. 965. P. 125–132. doi: 10.4028/ href='www.scientific.net/MSF.965.125' target='_blank'>www.scientific.net/MSF.965.125
- Кнельц К.Ф., Зимин Ю.Б., Геращенко З.В., Блинов В.Ф., Гуревич Е.Я., Солодарь Л.С., Добищук А.В., Купцов В.А., Слободянюк Д.С., Бригидер Ю.З. //А.С. 590317 СССР, МКл.2 C 08J 11/00, № 2354720/23-05; Заявл. 29.04.1976; Опубл. 30.01.1978.
- Галлямов А.А., диссертация: Структура, свойства и применение продуктов деструкции полиуретанов ди- и полиаминами. 2016. С. 1–161.
- Krishnan P.S.G., Cheng C.Z., Cheng Y C., Cheng J.W.C. // Macromol. Mater. Eng. 2003. V. 288. № 9. P. 730–736. doi: 10.1002/mame.200300030
- Li Z., Liu J., Zheng K-s. // New Carbon Materials, 2009, V. 24, № 2, 1007–8827,02-0178-05.
- S. Hirai, P.Phantong, T. Wakabayashi, S. Yao // Chemistry Open. 2021. V. 10. P. 352–359. doi: 10.1002/open.202000299
- G.R. Guillen, Y. Pan, M. Li, and E.M.V. Hoek // lnd. Eng. Chem. Res. 2011. V. 50. P. 3798–3817. doi: 10.1021/ie101928r
- Kim J.F., Kim Ji H., Lee Y.M., Drioli E. // Advances in Materials. Separations: Materials, Devices and Processes. 2016. V. 62. № 2. P461–490. doi: 10.1002/aic.15076
- Sukhanova T.E., Didenko A.L., Borisov I.L., Anokhina T.S., Ivanov A.G, Nesterova A.S., Kobykhno I.A., Yushkin A.A, Kudryavtsev V.V., Volkov A.V. // Membranes. 2022. V. 12. P. 1235. doi: 10.3390/membranes12121235
- Didenko A.L., Borisov I.L., Anokhina T.S., Ivanov A.G, Smirnova V.E., Vaganov G.V., Volkov A.V., Volkov V.V., Kudryavtsev V.V. // Polymers. 2022. V. 14. P. 4130.
Дополнительные файлы







