Experimental Characterization of Biodegradable Films Based on Modified Starch and Chitosan
- Authors: Zarubin D.M.1, Kachalova E.A.1, Salomatina E.V.1, Smirnova O.N.1, Smirnova L.A.1, Abarbanel N.V.1, Petukhov A.N.1, Vorotyntsev A.V.1
-
Affiliations:
- Lobachevsky State University of Nizhny Novgorod
- Issue: Vol 14, No 4 (2024)
- Pages: 333-342
- Section: Articles
- URL: https://journal-vniispk.ru/2218-1172/article/view/271557
- DOI: https://doi.org/10.31857/S2218117224040085
- EDN: https://elibrary.ru/MPKKRJ
- ID: 271557
Cite item
Full Text
Abstract
Gas transport and physico-mechanical properties of synthesized films based on modified starch and chitosan have been studied. The values of the permeability coefficients of pure gases included in the air for films based on modified chitosan and a copolymer based on modified starch and chitosan at a temperature of 23°C were determined. The oxygen permeability coefficient of the synthesized copolymer was compared with other polymers. A copolymer based on modified starch and chitosan was found to have medium oxygen barrier properties. The biodegradability of the samples under the action of the micromycete Aspergillus niger was studied by analyzing the degradation products by chromatography-mass spectrometry. The total biodegradation time of the samples was 4 weeks. These films are promising for use as packaging material.
Keywords
Full Text
ВВЕДЕНИЕ
В современном мире полимеры получили широкое распространение [1]. Они находят применение в таких областях, как автомобиле– и авиастроение [2], текстильная промышленность [3], медицина [4], сельское хозяйство [5], в мембранных технологиях газоразделения [6], в качестве упаковочных материалов [7]. Основными параметрами полимеров, используемых для создания газоразделительных мембран, являются коэффициент проницаемости и фактор разделения [8]. В частности, для полимеров, применяемых в качестве упаковочных материалов, регламентируется параметр скорости пропускания кислорода, поскольку он участвует в химических и биологических реакциях, приводящих к порче продуктов. Максимально допустимое значение скорости пропускания кислорода (СПК) для упаковки зависит от типа продукта, для которого она предназначена [9]. Для фруктов и овощей это значение составляет не более 200000 см3 м–2 д–1, для выпечки – не более 4000 см3 м–2 д–1, для мяса – не более 20 см3 м–2 д–1, для сыра и орехов – не более 10 см3 м–2 д–1.
Основными материалами, используемыми для хранения продуктов, являются полиэтилентерефталат (ПЭТ), полипропилен (ПП), полиэтилен (ПЭ) [7] благодаря их свойствам и низким затратам на производство. Однако быстрые темпы производства и сложности с утилизацией привели к проблеме накопления значительного количества полимерных отходов [10]. По разным оценкам во всем мире уже образовалось более 340 миллионов тонн пластиковых отходов, причем 46% из них приходится на упаковку. Ситуация усугубляется тем, что около 95% полимерных материалов, которые используются для упаковки, не перерабатываются и отправляются на свалку после одноразового использования [1]. Таким образом, разработка биоразлагаемых материалов для упаковки, способных заменить синтетические материалы, является актуальной задачей [11].
Наиболее перспективными кандидатами на эту роль являются полисахариды из-за их распространенности в природе, возобновляемости и экологичности. К ним относятся целлюлоза [11, 12], хитозан [13], крахмал [14], леван [15], пектин [16], белки [17] и др. [10, 18, 19]. Биоразлагаемость и низкая экологическая нагрузка побудили исследователей со всего мира заняться разработкой новых материалов на их основе. Подобных работ, сосредоточенных на синтезе биоразлагаемых пленок на основе природных материалов, с каждым годом становится все больше, что говорит об озабоченности мирового сообщества проблемами, связанными с производством и утилизацией пластиков.
Крахмал и хитозан являются наиболее распространенными полисахаридами после целлюлозы. Помимо их биоразлагаемости и биосовместимости, крахмал является самым дешевым полисахаридом, а хитозан обладает хорошей пленкообразующей способностью [20] и умеренной антибактериальной активностью [21]. На сегодняшний день достаточно хорошо развиты методы получения пленок на основе крахмала [22–24] и хитозана [25, 26], которые возможно использовать для создания упаковочных материалов.
Описанные в работах [22–24] пленки на основе различных видов крахмала демонстрируют разные значения прочности на разрыв, как относительно низкие (<5 МПа) [23], так и достаточно высокие (>6 МПа) [22, 24]. С другой стороны, все представленные пленки обладают хорошими эластичными свойствами, значения относительного удлинения – более 30%. Однако все представленные в этих работах пленки на основе крахмала обладают низкими барьерными свойствами по отношению к кислороду (более 0,062 Баррер по классификации [1]). Пленки на основе хитозана, представленные в работах [25, 26] наоборот обладают средними и высокими барьерными свойствами (от 0,0046 до 0,011 Баррер) по отношению к кислороду при высоких значения прочности на разрыв (20 МПа и более). Однако высокая стоимость хитозана является ограничением для применения его в промышленности.
Помимо способов создания пленок из природных материалов, внимание исследователей направленно на создание биосовместимых пленок с различными наполнителями, что позволяет регулировать их свойства в широком диапазоне. Авторы работы [27] представили биосовместимую пленку на основе каппа-каррагинана и гидроксипропилметилцеллюлозы с добавлением активных соединений эфирного масла чайного дерева. Полученные пленки обладают высокими барьерными свойствами для УФ-излучения и паров воды, а также умеренной антибактериальной активностью. Однако, как сообщают сами авторы, технология синтеза биосовместимых пленок для упаковок является дорогостоящей.
Целью данной работы является получение биоразлагаемых полимерных пленок на основе модифицированных крахмала и хитозана, исследование их механических и газотранспортных свойств, а также исследование их биоразлагаемости.
МАТЕРИАЛЫ И МЕТОДЫ
В настоящей работе использовались следующие материалы для синтеза полимерных пленок: крахмал картофельный (КР) (ОАО “Верховический крахмальный завод”) с молекулярной массой 1.5·105, акриламид (АА) (“х.ч.”), хитозан (ХТЗ) с молекулярной массой 2.2·105 и степенью деацитилирования 85% (ЗАО “Биопрогресс”), гидроксид натрия (“ч.д.а.”, АО “ХимРеактив”), уксусная кислота (99%, “х.ч.”), соляная кислота (36%, “х.ч.”), энантовый альдегид (ЭА) марки “ч.”. Для газотранспортных испытаний использовались следующие газы: азот (N2,99.999%), кислород (O2, 99.999%), диоксид углерода (CO2, 99.99%), приобретенные в ООО “НИИ КМ”.
Синтез полимерных пленок
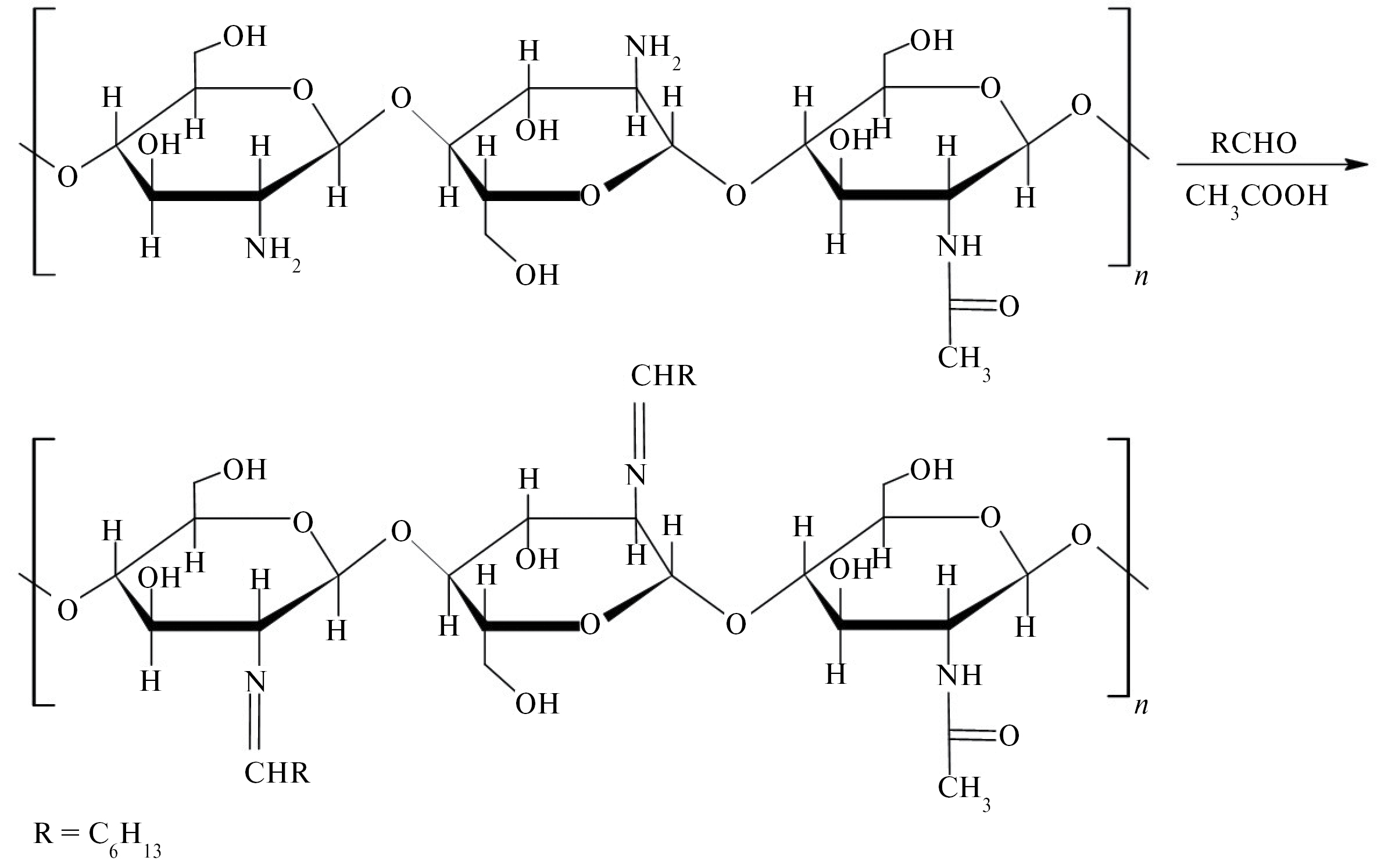
Для совмещения молекул крахмала и хитозана проводилась их предварительная модификация, т.к. крахмал растворяется в щелочных растворах, а хитозан – в кислотных. Молекула хитозана содержит больше химически доступных групп, чем крахмал, т.к. аминогруппа хитозана более химически активна, чем гидроксильная группа крахмала. Из литературных данных известно, что наличие аминогруппы в структуре повторяющегося звена полимера приводит к повышению барьерных свойств [28]. В связи с этим крахмал модифицировали привитой полимеризацией с акриламидом в массовом соотношении 1:2 в щелочной среде при температуре 60°C. В качестве инициатора привитой сополимеризации использовали персульфат аммония. В результате обеспечивалась растворимость сополимера КР–АА в диапазоне pH от 2 до 12. Схема получения сополимера КР–АА представлена на рис. 1. Хитозан был модифицирован энантовым альдегидом с образованием оснований Шиффа. Принципиальным является введение алкильных заместителей в структуру звеньев глюкозамина, которые могут оказывать пластифицирующий эффект. Схема реакции нуклеофильного присоединения к аминогруппе хитозана энантового альдегида представлена на рис. 2.
Рис. 1. Привитая полимеризация крахмала акриламидом
Рис. 2. Схема нуклеофильного присоединения к аминогруппе хитозана энантового альдегида
После модификации крахмала и хитозана совмещали высаженный привитой сополимер КР–АА с 3 масс. % водно-кислотным раствором ХТЗ–ЭА. После полного растворения образцы центрифугировали для удаления пузырьков воздуха, после чего получали пленки на пленкозаливочной машине XiamenTMAX–TMH на лавсановую подложку. Пленки сушили в условиях равномерного испарения при температуре 40°C и атмосферном давлении до постоянной массы.
ИК–Фурье спектроскопия нарушенного полного внутреннего отражения
ИК-спектры были получены на приборе IRTracer–100 Shimadzu (Япония) с использованием приставки нарушенного полного внутреннего отражения (НПВО) (PIKE, США). Усредняли 30 сканирований с разрешением 4 см–1 в диапазоне 2000–600 см–1. Спектры порошкообразных крахмала и хитозана, а также пленок ХТЗ–ЭА и КРХ–АА–ХТЗ–ЭА были получены без предварительной пробоподготовки образцов. Для получения спектра сополимера КРХ–АА твердый образец тщательно измельчали в агатовой ступке.
Определение остаточной влаги в пленках
Количество остаточной влаги в пленках определяли с помощью кулонометрического титрования по методу Карла Фишера на приборе 831 KFCoulometer. Образцы пленок измельчали в агатовой ступке и засыпали в ячейку для измерения. Определение остаточной влаги проводилось на образце КРХ–АА–ХТЗ–ЭА 3 раза.
Определение коэффициента проницаемости чистых газов
Газотранспортные характеристики полученных пленок исследовались на примере чистых газов, а именно N2, O2 и CO2. Содержание паров воды в N2 составляет 5·10–4 об. %, в O2 – 5·10–4 об. %, в CO2 – 10·10–4 об. %. Измерения проводились на экспериментальной установке, принципиальная схема которой приведена на рис. 4. Известно, что остаточная влага в гидрофильных пленках может влиять на их газотранспортные свойства, поэтому определение коэффициента проницаемости проводилось несколько раз.
Рис. 3. ИК-спектры образцов крахмала (КРХ), хитозана (ХТЗ), хитозана-энантового альдегида (ХТЗ-ЭА), крахмала-акриламида (КРХ-АА), совмещенных сополимеров (КРХ-АА-ХТЗ-ЭА)
Рис. 4. Принципиальная схема установки для измерения проницаемости
Газотранспортные испытания проводились по следующей методике [29]: баллон с исследуемым газом подключался к установке, далее мембранный модуль продувался этим газом в течение 15 минут, после продувки в модуле создавалась разность давлений (~1.5–3 атм) между полостью высокого давления (ПВД) и полостью низкого давления (ПНД). Наблюдение за прохождением газа через мембрану осуществлялось с помощью датчиков давления в ПВД и ПНД, которые отправляют регистрируемый сигнал на ПК при помощи модуля аналогового ввода. Испытания проводились при температуре 23°C [30].
Коэффициент проницаемости мембраны рассчитывалась на основе данных давления с датчиков в ПВД и ПНД в соответствии с уравнением:
, (1)
где pfeedи pperm– это давления в ПВД и ПНД соответственно (Па), P – коэффициент проницаемости мембраны (м2 с–1), t – время (с), l – толщина мембраны (м), β – характеристический параметр, учитывающий геометрию мембранной ячейки, который определяется по
, (2)
где A – эффективная площадь мембраны (м2), Vfeedи Vperm – объемы в ПВД и ПНД соответственно (м3). Удельная проницаемость находится как тангенс угла наклона графика зависимости от .
Определение физико–механических свойств пленок
Физико–механические характеристики (прочность при растяжении и удлинение при разрыве) материала определяли на разрывной машине Roell/Zwick Z005. Испытания проводили при скорости растяжения 10 мм/мин на образцах толщиной 60±5 мкм в виде прямоугольников шириной 15 мм. Прочность на разрыв (σ, МПа) и относительное удлинение (ε, %) пленок определялись по следующим уравнениям:
, (3)
, (4)
где F – прилагаемое разрывное усилие (Н), S – площадь поперечного сечения пленки (мм2), ΔL – удлинение пленки перед разрывом (мм), L0 – начальная длина пленки (мм).
Изучение биоразлагаемости синтезированных пленок
Биоразлагаемость композиционного материала на основе модифицированных крахмала с хитозаном изучали с использованием штамма гриба Aspergillus niger van Thighem, который является наиболее активным биодеградирующим агентом широкого круга промышленных и строительных материалов. Образцы полимера помещали в чашки Петри на безуглеродную агаризованную среду Чапека–Докса и инокулировали водной суспензией спор гриба Aspergillus niger. Концентрация спор гриба в суспензии составляла 1–2 млн·см–3. Чашки Петри с образцами помещали в климатическую камеру “MHU–1000 CR” (фирма “Terchy”). Продолжительность испытаний – 28 сут при температуре 29±2°С и влажности >90%. По окончании испытаний образцы осматривали невооруженным глазом в рассеянном свете при освещенности 3000 лк и при увеличении 56–60. Материал считается грибостойким, если получает оценку 0–2 балла по шестибалльной шкале. Если на полимере отмечается рост гриба, оцениваемый в 4–5 баллов (при осмотре невооруженным глазом отчетливо виден рост гриба, покрывающего более 25% испытываемой поверхности полимера), то материал является биоразлагаемым. Анализ продуктов биодеструкции пленочных образцов был проведен газохроматографическим методом на приборе “Shimadzu GCMS QP–2010 Ultra” (Япония) с использованием кварцевой капиллярной колонки HP–1MS 30 м Ѕ 0.320 мм, df = 0.25 мкм. В качестве газа–носителя использовали гелий марки 6.0. Ионизацию примесей осуществляли электронным ударом при энергии электронов 70 эВ. Напряжение на электронном умножителе, выставленное при автоматической настройке электронной оптики, составляло 1388 В. Температура источника ионов – 250°С, интерфейса – 250°С, испарителя –250°С. Регистрацию хроматограмм проводили по полному ионному току (Scan) и в режиме регистрации выбранных ионов. Диапазон регистрируемых масс в режиме Scan составлял 35–500 а.е.м. при скорости сканирования 5 скан·с–1. Идентификацию компонентов проводили сравнением их масс-спектров, полученных в режиме Scan, с масс-спектрами библиотеки NIST–08. При идентификации продуктов распада путем сравнения экспериментальных и библиотечных масс-спектров коэффициенты их подобия составили 0.85–0.99.
РЕЗУЛЬТАТЫ И ОБСУЖДЕНИЕ
Известно, что для сохранения привлекательного внешнего вида продуктов, существенного увеличения сроков его хранения без потери потребительских качеств, а также удобства транспортировки в настоящее время широко используется технология упаковки с использованием газомодифицированной среды (ГМС), состоящей из смеси азота, углекислого газа и кислорода в разных соотношениях в зависимости от типа продукта. Азот непосредственно не влияет на сохранность продукта, не обладает бактериостатическим действием, заполняя упаковку, он поддерживает постоянство газовой смеси. Углекислый газ подавляет рост микроорганизмов, вызывающих порчу продукта. Кислород сохраняет натуральный цвет охлажденного мяса, предотвращает развитие ботулизма при упаковке рыбы, а при упаковке фруктов и овощей поддерживает процесс “дыхания” [31]. Таким образом, упаковочный материал должен обладать барьерными свойствами, препятствующими утечке газов.
Помимо этого, для хранения и транспортировки продуктов широко используются вакуумные упаковки [25], для которых одним из наиболее важных параметров считается показатель кислородопроницаемости. Кислород участвует в окислении липидов, деградации витаминов и способствует развитию аэробных микроорганизмов, наиболее часто участвующих в порче пищевых продуктов [32]. Поэтому важно, чтобы упаковочный материал обладал низкой проницаемостью для кислорода [33].
Успешность синтеза пленок на каждом этапе оценивалась с помощью ИК–Фурье спектроскопии. На рис. 3 представлены ИК-спектры исходных и модифицированных образцов крахмала и хитозана, а также спектр полученной на их основе пленок. На всех ИК-спектрах наблюдаются характерные для сахаридов полосы, обусловленные наличием С–О–С группы: 1155, 1070, 1030 см–1, а также колебания С–О–Н при 1005 см–1 у крахмала. Успешность модификации крахмала акриламидом подтверждается появлением в области 1650 см–1 валентных колебаний С=О (полоса амид I) и в области ~1610 см–1 составных частот деформационных колебаний N–H и колебаний C–N (амид II). Успешность модификации хитозана с характеристическими пиками при 1650 см–1 (амид I) и при 1591 см–1 (деформационные колебания N–H) подтверждается появлением полосы в области ~1570 см–1, характеризующей деформационные колебания связи С=N, образующейся в результате реакции с энантовым альдегидом (рис. 2). На ИК–спектре совмещенных сополимеров КР–АА–ХТЗ–ЭА наблюдаются полосы поглощения, соответствующие колебаниям как функциональных групп модифицированного хитозана, так и функциональных групп модифицированного крахмала, а также смещение полосы амид I в голубую область на 8 см–1, происходящее в результате их совмещения.
В ИК–спектре хитозана наблюдаются следующие полосы поглощения, характерные для его функциональных групп: (1651, 1591 см–1 – амид I и деформационные колебания свободных аминогрупп, соответственно), полосы, характерные для сахаридов при 1155 см–1, 1074 и 1032 см–1 (группа C–O–C). ИК-спектр крахмала характеризуется стандартными сигналами – пики О–Н при 3310 см–1, валентные колебания С–Н алифатических групп при 2925 см–1, валентные колебания С–О при 1165 см–1, и колебания С–О–Н при 1005 см–1.
Перед началом газотранспортных испытаний через образцы пропускался азот в течение 24 ч. Остаточная влага в сополимере КР–АА–ХТЗ–ЭА по результатам кулонометрического титрования по методу Карла Фишера составила 3 масс. %. В результате газотранспортных испытаний были определены коэффициенты проницаемости (P, Баррер) основных компонентов воздуха (N2, O2, CO2) при 23°C для сополимеров КР–АА–ХТЗ–ЭА и ХТЗ–ЭА. Толщина образцов составила 31±2 мкм. Данные газотранспортных испытаний представлены в таблице 1. Стоит отметить, что чистый крахмал не является пленкообразующим веществом, а пленки на основе сополимера КР–АА и чистого хитозана являются хрупкими, поэтому не удалось получить их газотранспортные характеристики. Из полученных данных видно, что сополимер на основе модифицированного хитозана обладает относительно высокими значениями коэффициента проницаемости основных компонентов воздуха (PN2 – 26.9 Баррер, PO2 – 58.1 Баррер, PCO2 – 101.3 Баррер). С другой стороны, совмещение модифицированных крахмала и хитозана приводит к резкому снижению газотранспортных характеристик за счет большого количества аминогрупп в модифицированном крахмале (PN2 – 0.013 Баррер, PO2 – 0.019 Баррер, PCO2 – 0.41 Баррер). Коэффициент проницаемости кислорода сополимера КРХ–АА–ХТЗ–ЭА говорит о том, что эти пленки являются среднебарьерными по классификации, представленной в работе [1].
Таблица 1. Коэффициенты проницаемости синтезированных мембран (P, Баррер)
Пленка | КРХ-АА-ХТЗ-ЭА | ХТЗ-ЭА |
N2 | 0.013 ± 0.005 | 26.9 ± 0.6 |
O2 | 0.019 ± 0.005 | 58.1 ± 0.8 |
CO2 | 0.41 ± 0.03 | 101.3 ± 1.2 |
В дополнение было проведено сравнение коэффициента проницаемости кислорода и скорости пропускания кислорода синтезированных пленок с другими материалами, такими как ПЭТ, полиэтилен высокого давления (ПВД), ПП, биаксиально–ориентированные полипропиленовые пленки (БОПП), этиленвиниловый спирт (EVOH), поливиниловый спирт (ПВС), поливинилденхлорид (ПВДХ), полилактид (ПЛА) целлюлоза, хитозан (табл. 2). Скорость пропускания кислорода (СПК) рассчитывалась по формуле:
, (5)
где ΔpO2 – парциальное давление кислорода в атмосфере равное 15.96 см. рт. ст.
Таблица 2. Сравнение проницаемости для кислорода различных полимеров
Материал | l, мкм | P, Баррер | СПК, см3 м–2 д–1 | Источник |
КРХ-АА-ХТЗ-ЭА | 31 | 0.019 | 8.45 | Эта статья |
ПЭТ | 50 | 0.029 | 8.00 | [34] |
ПВД | 70* | 1.300 | 256.09 | [35] |
ПП | 60 | 1.021 | 234.65 | [36] |
БОПП | 20 | 0.126 | 86.87 | [37] |
EVOH | 70* | 0.00015 | 0.03 | [38] |
ПВДХ | 70* | 0.0046 | 0.91 | [38] |
ПЛА | 25.4 | 0.069 | 37.46 | [39] |
Целлюлоза | 30 | 0.109 | 50.10 | [11] |
Хитозан | 79.7 | 0.011 | 1.9 | [25] |
*Условное значение толщины.
По данным табл. 2 видно, что пленки на основе модифицированных крахмала и хитозана превосходят по барьерным свойствам по отношению к кислороду такие полимеры, как ПЭТ, ПВД, ПП, БОПП, ПЛА и целлюлозу, но уступают EVOH, ПВДХ и хитозану. При толщине 31 мкм пленки обладают достаточно низкими значениями скорости пропускания кислорода (8.45 см3 м–2 д–1), что делает их пригодными для хранения большинства продуктов.
Кроме того, физико–механические свойства упаковки также важны для защиты продуктов при хранении и транспортировке. В табл. 3 приведены прочность на разрыв (σ, МПа) и относительное удлинение (ε, %) пленочных образцов различного состава. Пленки на основе чистого хитозана обладают относительно высокой прочностью на разрыв, но в то же время являются достаточно хрупкими, о чем свидетельствует значение относительного удлинения 1.5% при минимально допустимом – 5%. Модификация хитозана энантовым альдегидом привела к значительному улучшению физико–механических свойств. Добавление 10% по массе энантового альдегида в матрицу хитозана привело к увеличению прочности на разрыв в 2 раза, а относительное удлинение увеличилось в 22 раза. С другой стороны, совмещение модифицированных крахмала и хитозана приводит к снижению прочности на разрыв почти в 2 раза, а относительное удлинение пленок снижается на 33%. Тем не менее механические характеристики сополимера КР–АА–ХТЗ–ЭА являются достаточно высокими и позволяют рассматривать его в качестве упаковочного материала. К примеру, минимальное значение прочности на разрыв полиэтиленовых пленок для изготовления изделий народного потребления, упаковки и бытового назначения составляет 13.7 МПа при толщине от 30 до 100 мкм [40].
Таблица 3. Физико-механические характеристики полимерных пленок
Пленка | σ, МПа | ε, % |
КР-АА-ХТЗ-ЭА | 18.8 ± 0.8 | 22.2 ± 0.2 |
ХТЗ-ЭА | 31.6 ± 4.0 | 33.3 ± 3.1 |
КР-АА | – | – |
ХТЗ | 15.5 ± 1.7 | 1.5 ± 0.2 |
КР | – | – |
Следующим этапом данного исследования было определение биоразлагаемости синтезированных пленок. Биоразложение изучалось в течение 28 дней путем инкубации на поверхности мембраны микромицета Aspergillus niger с анализом продуктов разложения методом хромато–масс–спектрометрии. По результатам анализа продуктов разложения с помощью хромато–масс–спектрометрии после третьей недели инкубации в спектрах перестают обнаруживаться продукты разложения крахмала и хитозана. После четвертой недели на спектрах не обнаруживается акриламид, что свидетельствует о полном биоразложении мембран. После 4 недель оставшийся образец представляет из себя продукты метаболизма грибов. На рис. 5 показано изменение внешнего вида образцов при биодеструкции. В совокупности с барьерными свойствами пленки на основе модифицированных крахмала и хитозана являются перспективными для применения как в качестве вакуумной упаковки, так в качестве упаковки с газомодифицированной средой.
Рис. 5. Изменение внешнего вида пленок под воздействием микромицета Aspergillus niger с течением времени
ЗАКЛЮЧЕНИЕ
В рамках данной работы был предложен и описан синтез новых полимерных пленок на основе модифицированных крахмала и хитозана. Успешность синтеза подтверждалась с помощью Фурье–ИК–спектрометрии. Были изучены газотранспортные и механические характеристики образцов. Сополимер на основе модифицированных крахмала и хитозана обладает среднебарьерными характеристиками по отношению к кислороду. Высокие барьерные свойства связаны с наличием аминогрупп в структуре акриламида и хитозана. Биоразлагаемость синтезированных пленок составила 4 недели под действием микромицета Aspergillus niger. Результаты испытаний полученных пленок демонстрируют перспективность их применения в качестве упаковочных материалов.
БЛАГОДАРНОСТЬ
Основная часть работа была выполнена при поддержке Российского научного фонда, грант № 23-74-10069. Разработка уникального стенда для определения газотранспортных характеристик мембран была выполнена при финансовой поддержке Министерства науки и высшего образования Российской Федерации в рамках программы развития Передовой инженерной школы Университета Лобачевского.
About the authors
D. M. Zarubin
Lobachevsky State University of Nizhny Novgorod
Author for correspondence.
Email: dimazarubin493@gmail.com
Russian Federation, Nizhny Novgorod
E. A. Kachalova
Lobachevsky State University of Nizhny Novgorod
Email: dimazarubin493@gmail.com
Russian Federation, Nizhny Novgorod
E. V. Salomatina
Lobachevsky State University of Nizhny Novgorod
Email: dimazarubin493@gmail.com
Russian Federation, Nizhny Novgorod
O. N. Smirnova
Lobachevsky State University of Nizhny Novgorod
Email: dimazarubin493@gmail.com
Russian Federation, Nizhny Novgorod
L. A. Smirnova
Lobachevsky State University of Nizhny Novgorod
Email: dimazarubin493@gmail.com
Russian Federation, Nizhny Novgorod
N. V. Abarbanel
Lobachevsky State University of Nizhny Novgorod
Email: dimazarubin493@gmail.com
Russian Federation, Nizhny Novgorod
A. N. Petukhov
Lobachevsky State University of Nizhny Novgorod
Email: dimazarubin493@gmail.com
Russian Federation, Nizhny Novgorod
A. V. Vorotyntsev
Lobachevsky State University of Nizhny Novgorod
Email: dimazarubin493@gmail.com
Russian Federation, Nizhny Novgorod
References
- Wu F., Misra M., Mohanty A.K // Progress in Polymer Science. 2021. V. 117. №101395.
- Pradeep S.A., Iyer R.K., Kazan H., Pilla S // Plastics Design Library. 2017. P. 651–673.
- Adeleke A.A. // AgriEngineering. 2023. V. 5. I. 1. P. 193–217.
- Gupta R.K., Guha P., Srivastav P.P. // Food Chemistry Advances. 2022 V. 1. № 100315.
- Mehta V., Nishith D., Marjadi D. // Journal of Environmental Research and Development. 2014. V. 8. I. 4. P. 934–940.
- Pasichnyk M., Stanovsky P., Polezhaev P., Zach B., Šyc M., Bobák M., Jansen J.C., Přibyl M., Bara J.E., Friess K., Havlica J., Gin D.L., Noble R.D., Izák P. // Separation and Purification Technology. 2023. V. 323. № 124436.
- Jung H., Shin G., Kwak H., Hao L.T., Jegal J., Kin H.J., Jeon H., Park J., Oh D.X. // Chemosphere. 2023. V. 320. № 138089.
- Jana A., Modi A. // Carbon Capture Science and Technology. 2024 V. 11. I. December 2023. № 100204.
- Wang J., Gardner D.J., Stark N.M., Bousfield D.W., Tajvidi M., Cai Z. // ACS Sustainable Chemistry and Engineering. 2018. V. 6. I. 1. P. 49–70.
- Ahmed S., Janaswamy S. // Industrial Crops and Products. 2023. V. 201. № 116926.
- Jang S.W., Chang J.H. // Polymer (Korea). 2008 V. 32. I. 1. P. 63–69.
- Syrtsova D.A., Teplyakov V.V., Filistovich V.A., Savitskaya T.A., Kimlenka I.M., Grinshpan D.D. // Membranes and Membrane Technologies. 2019. V. 1. I. 6. P. 353–360.
- Chen H., Hu X., Chen E., Wu S., McClements D.J., Liu S., Li B., Li Y. // Food Hydrocolloids. 2016. V. 61. P. 662–671.
- Chen Y.L., Shull K.R. // Carbohydrate Polymer Technologies and Applications. 2023. V. 5. № 100291.
- Agarwal N., Jyoti, Thakur M., Mishra B.B., Singh S.P. // Environmental Technology and Innovation. 2023. V. 31. № 103231.
- Jahromi M., Niakousari M., Golmakani M.T., Mohammadifar M.A. // International Journal of Biological Macromolecules. 2020. V. 165. P. 1949–1959.
- Cruz-Diaz K., Cobos A., Fernandez-Valle M.E., Diaz O., Cambero M.I. // Food Packaging and Shelf Life. 2019. V. 22. № 100397.
- Xu L., Zheng Z., Lou Z., Jiang X., Wang M., Chen G., Chen J., Yan N. // Chemical Engineering Journal. 2023. V. 470. № 143978.
- Desireé Sousa da Costa R., Flores S.H., Brandelli A., Vargas C.G., Ritter A.C., Manoel da Cruz Eodrigues A., Meller da Silva L.H. // Food Research International. 2023. № 113172.
- Xue W., Zhu J., Sun P., Yang F., Wu H., Li W., // Trends in Food Science and Technology. 2023. V. 136. P. 295–307.
- Guo L., Liang Z., Yang L., Du W., Yu T., Tang H., Li C., Qiu H. // Journal of Controlled Release. 2021. V. 338. P. 571–582.
- Zhang C., Chen F., Meng W., Li C., Cui R., Xia Z., Liu C. // Carbohydrate Polymers. 2021. V. 253. № 117168.
- Patil S., Bhaimalla A.K., Mahapatra A., Dhakane-Lad J., Arputharaj A., Kumar M., Raja A.S.M., Kambli N. // Food Bioscience. 2021. V. 44. № 101352.
- Hakke V.S., Landge V.K., Sonawane S.H., Uday Bhaskar Babu G., Ashokkumar M., Flores E.M.M. // Ultrasonics Sonochemistry. 2022. V. 88. № 106069.
- Han Lyn F., Tan C.P., Zawawi R.M., Nur Nanani Z.A. // Food Hydrocolloids. 2021. V. 117. № 106707.
- Leceta I., Guerrero P., De La Caba K. // Carbohydrate Polymers. 2013. V. 93. I. 1. P. 339–346.
- Pak A.M., Maiorova E.A., Siaglova E.D., Aliev T.M., Strukova E.N., Kireynov A.V., Piryazev A.A., Novikov V.V. // Nanomaterials. 2023. V. 13. I. 11. № 1714.
- Priyadarshi R., Rhim J.W. // Innovative Food Science and Emerging Technologies. 2020. V. 62. № 102346.
- Sazanova T.S., Otvagina K.V., Kryuchkov S.S., Zarubin D.M., Fukina D.G., Vorotyntsev A.V., Voroyntsev I.V. // Langmuir. 2020. V. 36. I. 43. P. 12911–12921.
- ASTM 3985-02 // ASTM annual book of standards. 2017.
- Qu P., Zhang M., Fan K., Guo Z. // Critical Reviews in Food Science and Nutrition. 2022. V. 62. I. 1. P. 51–65.
- Michiels Y., Van Puyvelde P., Sels B. // Applied Sciences (Switzerland). 2017. V. 7. I. 7. № 665.
- Almeida T., Karamysheva A., Valente B.F.A., Silva J.M., Braz M., Almeida A., Silvestre A.J.D., Vilela C., Freire C.S.R. // Food Hydrocolloids. 2023. V. 144. № 108934.
- Kim T., Tran T.H., Hwang S.Y., Park J., Oh D.X., Kim B.S. // ACS Nano. 2019. V. 13. I. 4. P. 3796–3805.
- Compañ V., Ribes A., Diaz-Calleja R., Riande E. // Polymer. 1996. V. 37. I. 11. P. 2243–2250.
- Nguyen H.L., Tran T.H., Hao L.T., Jeon H., Koo J.M., Shin G., Hwang D.S., Hwang S.Y., Park J., Oh D.X. // Carbohydrate Polymers. 2021. V. 271. № 118421.
- Shayanipour H.R., Bagheri R. // Journal of Materials Research and Technology. 2019. V. 8. I. 3. P. 2987–2995.
- Lange J., Wyser Y. // Packaging Technology and Science. 2003. V. 16. I. 4. P. 149–158.
- Satam C.C., Irvin C.W., Lang A.W., Jallorina J.C., Shofner M.L., Reyonolds J.R., Meredith J.C. // ACS Sustai nable Chemistry and Engineering. 2018. V. 6. I. 8. P. 10637–10644.
- ГОСТ 10354-82. Пленкаполиэтиленовая. Технические условия. 1983.
Supplementary files







