ЯМР-ИССЛЕДОВАНИЕ ТЕТРАДНОГО РАСЩЕПЛЕНИЯ В РЕГУЛЯРНО-ЧЕРЕДУЮЩИХСЯ ДИФЕНИЛЕНОКСИД-ДИФЕНИЛЕНСУЛЬФИДНЫХ СОПОЛИАРИЛЕНФТАЛИДАХ ПЕРИОДИЧЕСКОГО СТРОЕНИЯ
- Авторы: Крайкин В.А.1, Фатыхов А.А.1, Гилева Н.Г.1, Янгиров Т.А.1, Салазкин С.Н.2
-
Учреждения:
- Уфимский институт химии Уфимского федерального исследовательского центра Российской академии наук
- Институт элементоорганических соединений им. А.Н. Несмеянова Российской академии наук
- Выпуск: Том 65, № 1 (2023)
- Страницы: 72-80
- Раздел: Статьи
- URL: https://journal-vniispk.ru/2308-1139/article/view/135620
- DOI: https://doi.org/10.31857/S230811392370033X
- EDN: https://elibrary.ru/PICMVM
- ID: 135620
Цитировать
Полный текст
Аннотация
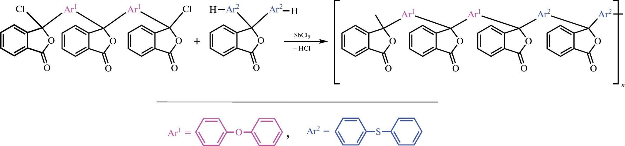
С помощью метода приращений изучено тетрадное расщепление сигналов узлового четвертичного sp3-гибридизированного атома углерода в ряду модельных (со)полиариленфталидов с различной длиной фениленоксифталидных (O) и фенилентиофталидных (S) последовательностей: O-1, OOOS-2, OOS-3, OS-4, SSO-5, SSSO-6, S-7 и OOSS-8. На основе данных анализа модульных значений диадных инкрементов рассчитаны тетрадные инкременты и предсказано расположение сигналов всех тетрад в спектрах ЯМР 13С индивидуальных (со)полиариленфталидов и их смесей. Достоверность расчетов подтверждена совпадением предсказанных и экспериментальных значений диадных и тетрадных инкрементов для специально синтезированного (со)полиариленфталида OOSS-8, спектрами смесей (со)полиариленфталидов с эквимольным содержанием расщепляемых тетрад, а также хорошей сходимостью их исходных составов, рассчитанных по деконволюированным спектрам.
Об авторах
В. А. Крайкин
Уфимский институт химии Уфимского федерального исследовательского центра Российской академии наук
Email: vkrajkin@mail.ru
Россия, 450054, Уфа, пр. Октября, 71
А. А. Фатыхов
Уфимский институт химии Уфимского федерального исследовательского центра Российской академии наук
Email: vkrajkin@mail.ru
Россия, 450054, Уфа, пр. Октября, 71
Н. Г. Гилева
Уфимский институт химии Уфимского федерального исследовательского центра Российской академии наук
Email: vkrajkin@mail.ru
Россия, 450054, Уфа, пр. Октября, 71
Т. А. Янгиров
Уфимский институт химии Уфимского федерального исследовательского центра Российской академии наук
Email: vkrajkin@mail.ru
Россия, 450054, Уфа, пр. Октября, 71
С. Н. Салазкин
Институт элементоорганических соединений им. А.Н. Несмеянова Российской академии наук
Автор, ответственный за переписку.
Email: vkrajkin@mail.ru
Россия, 119991, Москва, ул. Вавилова, 28
Список литературы
- Kinsinger J.B., Fischer T., Wilson C.W. // J. Polym. Sci., Polym. Phys. 1967. V. 5. P. 285.
- Hellwege K.H., Johnsen U., Kolbe K. // Kolloid-Z. u. Z. Polym. 1966. V. 214. P. 45.
- Giammanco G., Martinez de Ilarduya A., Alla A., Munoz-Guerra S. // Biomacromolecules. 2010. V. 11. P. 2512.
- Kint D.P.R., Martinez de Ilarduya A., Munoz-Guerra S. // Macromolecules. 2002. V. 35. P. 314.
- Martinez de Ilarduya A., Kint D.P.R., Munoz-Guerra S. // Macromolecules. 2000. V. 33. P. 4596.
- Matsuda H., Asakura T., Miki T. // Macromolecules. 2002. V. 35. P. 4664.
- Matsuda H., Nagasaka B., Asakura T. // Polym. J. 2003. V. 35. № 9. P. 740.
- Matsuda H., Asakura T., Nakagawa Y. // Macromolecules. 2003. V. 36. P. 6160.
- Montaudo G., Montaudo M.S., Scamporrino E., Vitalini D. // Macromolecules. 1992. V. 25. P. 5099.
- Zhang Y., Feng Z.-G., Zhang Ai.-Y. // Polym. Int. 2003. V. 52. P. 1351.
- Урман Я.Г. // Высокомолек. соед. А. 1982. Т. 24. № 9. С. 1795.
- Zhou X.-M., Jiang Z.-H. // J. Polym. Sci., Polym. Phys. 2005. V. 43. P. 1624.
- Matsuda H., Asakura T. // Macromolecules. 2004. V. 37. P. 2163.
- Matlengiewicz M. // Macromolecules. 1984. V. 17. P. 473.
- Ross J.F. // J. Macromol. Sci. A. 1987. V. 24. № 2. P. 211.
- Pasich M., Henzel N., Matlengiewicz M. // Int. J. Polym. Anal. Charact. 2013. V. 18. P. 105.
- Hansen P.E. // Org. Magn. Reson. 1979. V. 12. № 3. P. 109.
- Jin J.-I., Chang J.-H., Hatada K., Ute K., Hotta M. // Polymer. 1992. V. 33. № 7. P. 1374.
- Fatyhov A.A., Sedova E.A., Egorov A.E., Salazkin S.N., Kraikin V.A. // Magn. Reson Chem. 2017. V. 55. P. 958.
- Kraikin V.A., Fatykhov A.A., Gileva N.G., Kravchenko A.A., Salazkin S.N. // Magn. Reson. Chem. 2021. V. 59. P. 61.
- Levy G.C., Nelson G.L. Carbon-13 Nuclear Magnetic Resonance for Organic Chemists. New York: Wiley, 1972.
- Урман Я.Г., Алексеева С.Г., Слоним И.Я. // Высокомолек. соед. А. 1977. Т. 19. № 2. С. 299.
- Алексеева С.Г., Павлова A.Я., Урман Я.Г., Доброхотова M.K., Слоним И.Я., Фрунзе T.M. // Высокомолек. соед. А. 1981. Т. 23. № 7. С. 1505.
- Салазкин С.Н., Рафиков С.Р., Толстиков Г.А., Золотухин М.Г. // Докл. АН СССР. 1982. Т. 262. № 2. С. 355.
- Золотухин М.Г., Егоров А.Е., Седова Э.А., Сорокина Ю.Л., Ковардаков В.А., Салазкин С.Н., Сангалов Ю.А. // Докл. АН СССР. 1990. Т. 311. № 1. С. 127.
- Kraikin V.A., Gileva N.G., Sedova E.A., Kuznetsov S.I., Fatykhov A.A., Musina Z.N., Salazkin S.N. // Polymer Science A. 2004. V. 46. № 10. P. 1027.
- Гилева Н.Г., Фатыхов А.А., Янгиров Т.А., Юмагулова Р.Х., Крайкин В.А. // Вестн. Башкирского ун-та. 2020. Т. 25. № 1. С. 38.
- Gileva N.G., Nosovskaya I.I., Fatykhov A.A., Salazkin S.N., Kraikin V.A. // Russ. J. Org. Chem. 2019. V. 55. № 2. P. 174.
Дополнительные файлы









