Epoxy-Amine Systems with Reactive Guanidine Derivatives
- Authors: Senchikhin I.N.1, Merkulova M.S.2, Sedishev I.P.2, Grammatikova N.E.3, Uryupina O.Y.1, Urodkova E.K.1, Zhavoronok E.S.2
-
Affiliations:
- Frumkin Institute of Physical Chemistry and Electrochemistry, Russian Academy of Sciences
- MIREA—Russian Technological University
- Gause Institute of New Antibiotics
- Issue: Vol 65, No 2 (2023)
- Pages: 122-133
- Section: МЕДИЦИНСКИЕ ПОЛИМЕРЫ
- URL: https://journal-vniispk.ru/2308-1139/article/view/135622
- DOI: https://doi.org/10.31857/S2308113923700420
- EDN: https://elibrary.ru/WZICAC
- ID: 135622
Cite item
Full Text
Abstract
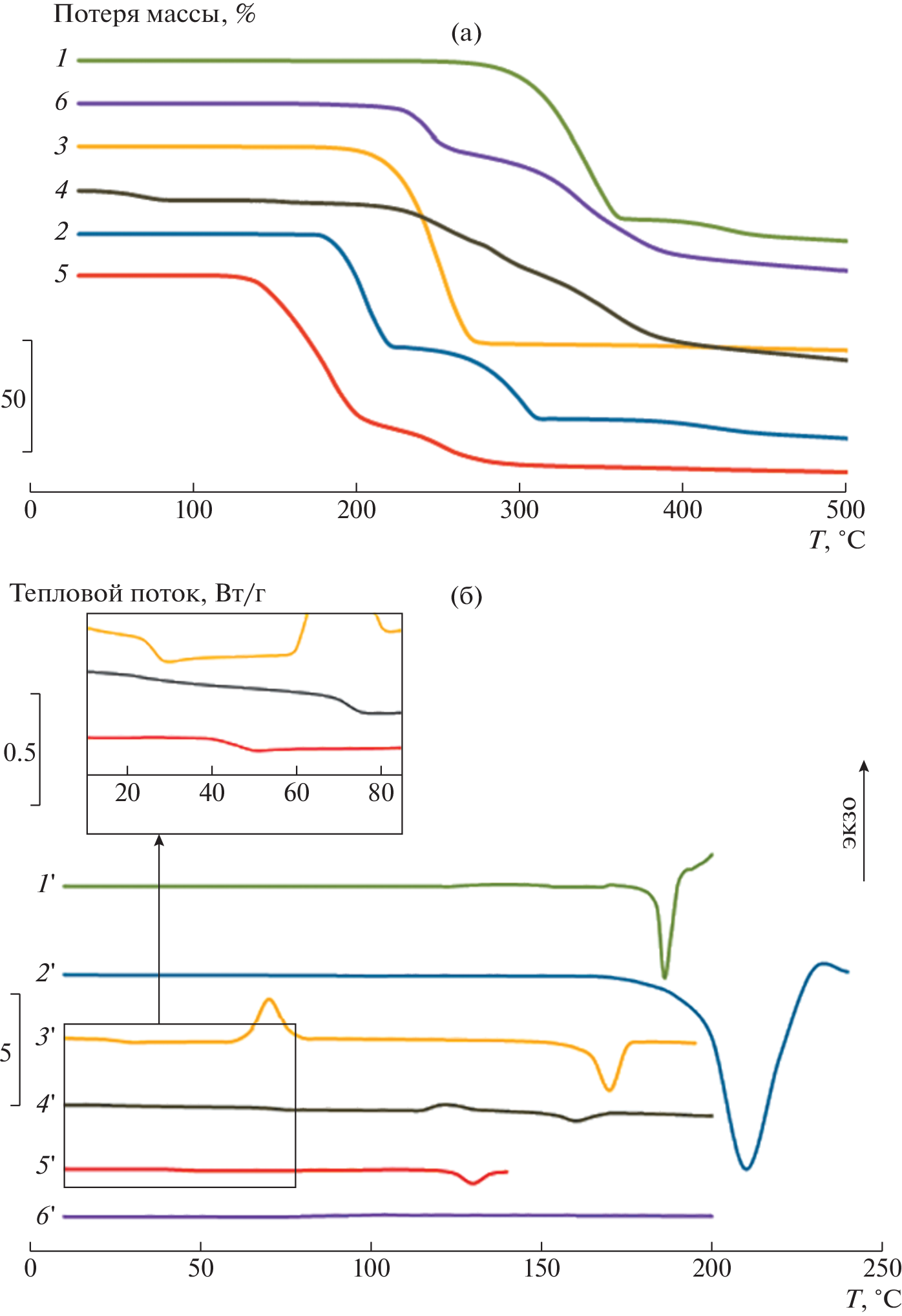
The modification of epoxy-amine systems with reactive monomeric derivatives based on guanidine has been attempted in order to create novel polymer coatings suppressing activity of pathogens. Preliminary chemical interaction of these compounds with the epoxy component allows their covalent incorporation into the epoxy-amine network to ensure prolonged action of the coating. The synthesized guanidine hydrosalicylate, hydro-4-aminosalicylate, hydro-5-sulfosalicylate, and dihydro-5-sulfosalicylate have been characterized by means of elemental and thermal analysis. The degree of hydrochloride substitution with the organic salt residue and temperature of onset of the thermal decomposition under argon as well as temperatures of the salts vitrification and melting have been determined. Solubility of the synthesized salts in a diane-epoxy oligomer has been estimated. It has been shown that the substitution of hydrochloride with the organic residue noticeably decreases the temperature of the onset of the reaction with the epoxy oligomer. Average functionality of the guanidine salts in the reaction with the epoxy oligomer has been determined; it has been revealed that most of the N‒Н groups of the modifiers are involved in the reaction, in certain cases these being the residues of the organic salts. Stoichiometry of the guanidine‒epoxy oligomer binary mixtures as well as this of the adducts synthesized with the oligomeric amine curing agent Jeffamine D-230 are presented. The initial tests of the obtained films have revealed pronounced bacteriostatic activity towards the methicillin-resistant S. Еpidermidis at the guanidine hydrosalicylate content as low 1 wt %, the parameter of the film forming suppression being 19.2%.
About the authors
I. N. Senchikhin
Frumkin Institute of Physical Chemistry and Electrochemistry, Russian Academy of Sciences
Email: isenchikhin@gmail.com
119071, Moscow, Russia
M. S. Merkulova
MIREA—Russian Technological University
Email: isenchikhin@gmail.com
119571, Moscow, Russia
I. P. Sedishev
MIREA—Russian Technological University
Email: isenchikhin@gmail.com
119571, Moscow, Russia
N. E. Grammatikova
Gause Institute of New Antibiotics
Email: isenchikhin@gmail.com
119021, Moscow, Russia
O. Yu. Uryupina
Frumkin Institute of Physical Chemistry and Electrochemistry, Russian Academy of Sciences
Email: isenchikhin@gmail.com
119071, Moscow, Russia
E. K. Urodkova
Frumkin Institute of Physical Chemistry and Electrochemistry, Russian Academy of Sciences
Email: isenchikhin@gmail.com
119071, Moscow, Russia
E. S. Zhavoronok
MIREA—Russian Technological University
Author for correspondence.
Email: isenchikhin@gmail.com
119571, Moscow, Russia
References
- De With G. Polymer Coatings: a Guide to Chemistry, Characterization, and Selected Applications. Weinheim: Wiley-VCH, 2018.
- Polymer Coatings: Technologies and Applications / Eds by S.M. Rangappa, J. Parameswaranpillai, S. Siengchin. Boca Raton: CRC Press, 2020.
- Jones F.N., Nichols M.E., Pappas S.P. Organic Coatings: Science and Technology. London: Wiley, 2017.
- Petrie E. Epoxy Adhesive Formulations. New York: McGraw-Hill Education, 2005.
- Resins for Surface Coatings / Ed. by P.K.T. Oldring. London: Wiley, 2001. V. 1.
- Cao K.Y., Yu Z.X., Zhu L.J., Yin D., Chen L.G., Jiang Y., Wang J. // Surf. Coatings Technol. 2021. V. 465. P. 771.
- Kopsidas S., Olowojoba G.B., Kinloch A.J., Taylor A.C. // Int. J. Adhes. Adhesiv. 2021. V. 104. P. 1.
- Aguirre-Guerrero A.M., de Gutierrez R.M. // Construct. Build. Mater. 2021. V. 268. P. 1.
- Yastrebinskaya A.V., Matveeva L.Yu., Edamenko A.S. // Diffus. Defect Data. B. 2020. V. 299. P. 55.
- Gavrilov M., Erofeev V., Afonin V. // Alfa Build. 2021. V. 20. P. 2006.
- Taioli S., Trevisanutto P.E., Vera P., Simonucci S., Abril I., Garcia-Molina R., Dapor M. // J. Phys. Chem. Lett. 2021. V. 12. P. 487.
- Zhang J., Zhu B., Wang H., Zhang C., Zeng W., Zhou Q. // Frontiers Mater. 2021. V. 8. P. 730627.
- Rauf M.Kh., Imtiaz-ud-Din, Badshah A. // Exp. Opin. Drug Discovery. 2013. № 8. P. 1.
- Рыжкина И.С., Муртазина Л.И., Шерман Е.Д., Пантюкова М.Е., Масагутова Э.М., Павлова Т.П., Фридланд С.В., Коновалов А.И. // Докл. PАH. 2011. Т. 438. № 2. С. 207.
- Menyashev M.R., Martynenko A.I., Popova N.I., Klescheva N.A., Sivov N.A. // Polymer Science B. 2016. V. 58. № 5. P. 394.
- Мусаев Ю.И., Мусаева Э.Б., Киржинова И.Х. // Фунд. исследования. 2011. № 12. С. 139.
- Бородина Е.А., Орлова Н.А., Гатилов Ю.В., Сальникова О.И. // Журн. орг. химии. 2015. Т. 51. С. 1778.
- Воронков М.Г., Белоусова Л.И., Пожидаев Ю.Н., Власова Н.Н. // Журн. общей химии. 2003. Т. 73. С. 1311.
- Воинцева И.И., Гембицкий П.А. Полигуанидины – дезинфекционные средства и полифункциональные добавки в композиционные материалы. М.: ЛКМ-Пресс, 2009.
- Hashirova S.Yu., Musaev Yu.I., Mikitaev A.K., Malkanduev Yu.A., Ligidov M.H. // Polymer Science B. 2009. V. 51. № 9. P. 1723.
- Сенчихин И.Н., Жаворонок Е.С., Матвеев А.В., Урюпина О.Я., Ролдугин В.И. // Коллоид. журн. 2018. Т. 80. С. 324.
- Zhavoronok E.S., Sedishev I.P., Safonov A.V., Senchihin I.N. // Polymer Science A. 2019. V. 61. № 5. P. 610.
- Zhavoronok E.S., Sedishev I.P., Merkulova M.S., Uryupina O.Ya., Senchihin I.N. // Polymer Science B. 2021. V. 63. № 1. P. 31.
- Сенчихин И.Н., Жаворонок Е.С., Харитонова Е.В., Ролдугин В.И. // Тонкие хим. технологии. 2016. Т. 11. № 6. С. 98.
- Сенчихин И.Н., Жаворонок Е.С., Матвеев А.В., Урюпина О.Я., Ролдугин В.И. // Инженерный журнал: наука и инновации. 2017. Т. 72. № 12. С. 1.
- Zhavoronok E.S., Senchikhin I.N., Pchelintsev I.E., Roldughin V.I. // Polymer Science B. 2018. V. 60. № 2. P. 188.
- Zhavoronok E.S., Senchikhin I.N. // J. Appl. Polym. Sci. 2020. V. 137. № 44. P. 1.
- Smith A. Applied Infrared Spectroscopy: Fundamentals Techniques and Analytical Problem-Solving (Chemical Analysis: a Series of Monographs on Analytical Chemistry and Its Applications). New York; Chichester; Brisbane; Toronto: Wiley-Interscience, 1979.
- Silverstein R.M., Webster F.X., Kiemle D.J. Spectrometric Identification of Organic Compounds. Rio de Janeiro: Willey, 2005.
- Bellamy L. Infrakrasnye Spektry Slozhnykh Molekul (The Infra-Red Spectra of Complex Molecules). New York: Springer, 1975.
- Nakanishi K., Solomon P.A. Infrared Absorption Spectroscopy. San Francisco: Holden Day, 1977.
- Garcia F.G., da Silva P.M., Soares B.G., Briones J.R. // Polymer Testing. 2007. V. 26. P. 95.
- Lee E., Anjum F. // StatPearls [Internet]. Treasure Island (FL): StatPearls Publishing; 2022 Jan-. Available from: https://www.ncbi.nlm.nih.gov/books/NBK563240.
Supplementary files




















