РЕАКЦИОННАЯ СПОСОБНОСТЬ НОВЫХ МОНОМЕРОВ ЗЕЛЕНОЙ ХИМИИ ПОЛИУРЕТАНОВ, МЕХАНИЗМ РЕАКЦИИ И ВЛИЯНИЕ СРЕДЫ
- Авторы: Забалов М.В.1, Левина М.А.1, Крашенинников В.Г.1, Тигер Р.П.1
-
Учреждения:
- Федеральный исследовательский центр химической физики им. Н.Н. Семенова Российской академии наук
- Выпуск: Том 65, № 4 (2023)
- Страницы: 286-294
- Раздел: ХИМИЧЕСКИЕ ПРЕВРАЩЕНИЯ
- URL: https://journal-vniispk.ru/2308-1139/article/view/231635
- DOI: https://doi.org/10.31857/S2308113923700511
- EDN: https://elibrary.ru/QORWFU
- ID: 231635
Цитировать
Полный текст
Аннотация
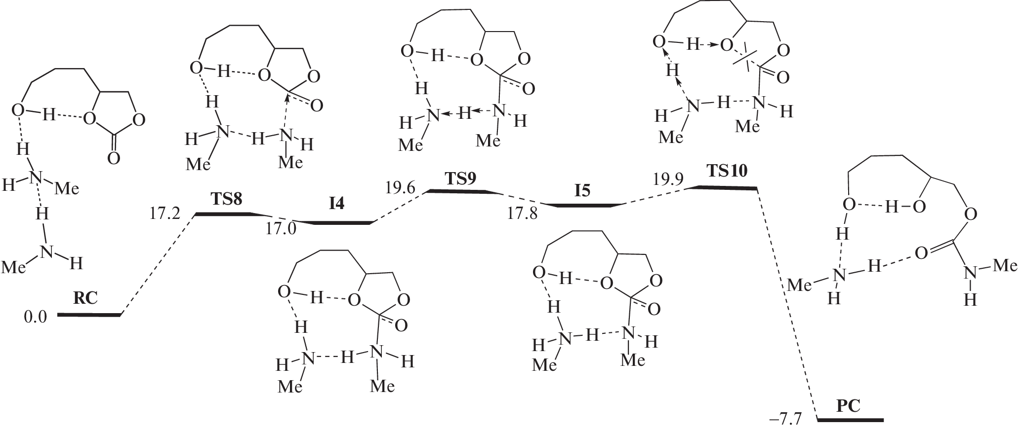
Изучено влияние индуктивного эффекта заместителей и протонодонорной OH-группы в замещенных циклокарбонатах с разной длиной алкильной цепи на активационные барьеры реакции их аминолиза, лежащей в основе процесса уретанообразования без участия изоцианатов. Учет молекул растворителя позволил дать количественную интерпретацию закономерностей процесса. Для ряда мономеров исследована кинетика модельной реакции аминолиза в растворе ДМСО.
Об авторах
М. В. Забалов
Федеральный исследовательский центр химической физики им. Н.Н. Семенова Российской академии наук
Email: zabalov@chph.ras.ru
Россия, 119991, Москва, ул. Косыгина, 4
М. А. Левина
Федеральный исследовательский центр химической физики им. Н.Н. Семенова Российской академии наук
Email: zabalov@chph.ras.ru
Россия, 119991, Москва, ул. Косыгина, 4
В. Г. Крашенинников
Федеральный исследовательский центр химической физики им. Н.Н. Семенова Российской академии наук
Email: zabalov@chph.ras.ru
Россия, 119991, Москва, ул. Косыгина, 4
Р. П. Тигер
Федеральный исследовательский центр химической физики им. Н.Н. Семенова Российской академии наук
Автор, ответственный за переписку.
Email: zabalov@chph.ras.ru
Россия, 119991, Москва, ул. Косыгина, 4
Список литературы
- Saunders J.H., Frisch K.C. Polyurethanes – Chemistry and Technology. New York; London: Interscience Publ., 1962. V. 16. Part I.
- Tiger R.P. // Polymer Science B. 2004. V. 46. № 5–6. P. 142.
- Guan J., Song Y., Lin Y., Yin X., Zuo M., Zhao Y., Tao X., Zheng Q. // Ind. Eng. Chem. Res. 2011. V. 50. № 11. P. 6517.
- Figovsky O., Shapovalov L., Leykin A., Birukova O., Po-tashnikova R. // PU Magazine. 2013. V. 10. № 4. P. 1.
- Nohra B., Candy L., Blanco J.-F., Guerin C., Raoul Y., Mouloungui Z. // Macromolecules. 2013. V. 46. № 10. P. 3771.
- Blattmann H., Fleischer M., Bahr M., Mulhaupt R. // Macromol. Rapid Comm. 2014. V. 35. № 14. P. 1238.
- Rokicki G., Parzuchowski P.G., Mazurek M. // Polym. Adv. Technol. 2015. V. 26. № 7. P. 707.
- Maisonneuve L., Lamarzelle O., Rix E., Grau E., Cramail H. // Chem. Rev. 2015. V. 115. P. 12407.
- Cornille A., Auvergne R., Figovsky O., Boutevin B., Caillol S. // Eur. Polym. J. 2017. V. 87. P. 535.
- Błażek K., Datta J. // Crit. Rev. Environ. Sci. Technol. 2019. V. 49. № 3. P. 173.
- Carre C., Ecochard Y., Caillol S., Averous L. // ChemSusChem. 2019. V. 12. № 15. P. 3410.
- Ecochard Y., Caillol S. // Eur. Polym. J. 2020. V. 137. 109915.
- Lambeth R.H. // Polym. Int. 2020. V. 70. P. 696.
- Tiger R.P., Zabalov M.V., Levina M.A. // Polymer Science C. 2021. V. 63. № 2. P. 113.
- Gomez-Lopez A., Elizalde F., Calvo I., Sardon H. // Chem. Comm. 2021. V. 57. № 92. P. 12254.
- Brzeska J., Piotrowska-Kirschling A.A. // Processes. 2021. V. 9. P. 1929.
- Bizet B., Grau E., Asua J.M., Cramail H. // Macromol. Chem. Phys. 2022. V. 223. № 13. 2100437.
- Kaur R., Singh P., Tanwar S., Varshney G., Yadav S. // Macromolecules. 2022. V. 2. № 3. P. 284.
- Figovsky O.L., Bol’shakov O.I., Vikhareva I.N. Nonisocyanate Polyurethanes: Green Solutions. Chelyabinsk: SUSU Publ., 2023.
- Catalá J., Guerra I., García-Vargas J.M., Ramos M.J., García M.T., Rodríguez J.F. // Polymers. 2023. V. 15. № 6. P. 1589.
- Levina M.A., Zabalov M.V., Krasheninnikov V.G., Tiger R.P. // Polymer Science B. 2018. V. 60. № 5. P. 563.
- Zabalov M.V., Levina M.A., Krasheninnikov V.G., Tiger R.P. // Russ. Chem. Bull., Int. Ed. 2014. V. 63. № 8. P. 1740.
- Levina M.A., Krasheninnikov V.G., Zabalov M.V., Tiger R.P. // Polymer Science B. 2014. V. 56. № 2. P. 139.
- Levina M.A., Zabalov M.V., Krasheninnikov V.G., Tiger R.P. // Polymer Science B. 2017. V. 59. № 5. P. 497.
- Zabalov M.V., Levina M.A., Tiger R.P. // Kinet. Catal. 2020. V. 61. № 5. P. 721.
- Zabalov M.V., Levina M.A., Krasheninnikov V.G., Tiger R.P. // Reac. Kinet. Mech. Cat. 2020. V. 129. № 1. P. 65.
- Zabalov M.V., Levina M.A., Tiger R.P. // Polymer Science B. 2020. V. 62. № 5. P. 457.
- Zabalov M.V., Tiger R.P. // Theor. Chem. Acc. 2017. V. 136. P. 95.
- Quienne B., Poli R., Pinaud J., Caillol S. // Green Chem. 2021. V. 23. № 4. P. 1678.
- Perdew J.P., Burke K., Ernzerhof M. // Phys. Rev. Lett. 1996. V. 77. № 18. P. 3865.
- Ernzerhof M., Scuseria G.E. // J. Chem. Phys. 1999. V. 110. № 11. P. 5029.
- Laikov D.N. // Chem. Phys. Lett. 1997. V. 281. № 1–3. P. 151.
- Laikov D.N., Ustynyuk Y.A. // Russ. Chem. Bull., Int. Ed. 2005. V. 54. № 3. P. 820.
- Zabalov M.V., Tiger R.P. // Russ. Chem. Bull. Int. Ed. 2016. V. 65. № 3. P. 631.
- Caldeweyher E., Bannwarth C., Grimme S. // J. Chem. Phys. 2017. V. 147. № 3. 034112.
- Caldeweyher E., Ehlert S., Hansen A., Neugebauer H., Spicher S., Bannwarth C., Grimme S. // J. Chem Phys. 2019. V. 150. № 15. 154122.
- Caldeweyher E., Mewes J.-M., Ehlert S., Grimme S. // Phys. Chem. Chem. Phys. 2020. V. 22. № 16. P. 8499.
- Zabalov M.V., Tiger R.P., Berlin A.A. // Dokl. Chem. 2011. V. 441. Pt 2. P. 355.
- Zabalov M.V., Tiger R.P., Berlin A.A. // Russ. Chem. Bull., Int. Ed. 2012. V. 61. P. 518.
- Alves M., Mereau R., Grignard B., Detrembleur C., Jerome C., Tassaing T. // RSC Adv. 2017. V. 7. № 31. P. 18993.
- Levina M.A., Zabalov M.V., Gorshkov A.V., Shashkova V.T., Krasheninnikov V.L., Tiger R.P., Miloslavskii D.G., Pridatchenko M.L. // Polymer Science B. 2019. V. 61. № 5. P. 540.
- Mizuno K., Imafuji S., Ochi T., Ohta T., Maeda S. // J. Phys. Chem. B. 2000. V. 104. № 47. P. 11001.
- Li Q., Wu G., Yu Z. // J. Am. Chem. Soc. 2006. V. 128. № 5. P. 1438.
- Li Q., An X., Gong B., Cheng J. // Spectrochim. Acta A. 2008. V. 69. № 1. P. 211.
- Li Q., An X., Gong B., Cheng J. // Vib. Spectrosc. 2008. V. 46. № 1. P. 28.
- Zhang L., Wang Y., Xu Z., Li H. // J. Phys. Chem. B. 2009. V. 113. № 17. P. 5978.
- Noack K., Kiefer J., Leipertz A. // ChemPhysChem. 2010. V. 11. № 3. P. 630.
- Venkataramanan N.S., Suvitha A. // J. Mol. Graph. Model. 2018. V. 81. P. 50.
- Mrázková E., Hobza P. // J. Phys. Chem. A. 2003. V. 107. № 7. P. 1032.
- Venkataramanan N.S. // Int. J. Quant. Chem. 2012. V. 112. № 13. P. 2599.
- Venkataramanan N.S. // J. Mol. Model. 2016. V. 22. № 7. Art. 151.
- Venkataramanan N.S., Suvitha A., Kawazoe Y. // J. Mol. Liq. 2018. V. 249. P. 454.
- Li X., Liu L., Schlegel H.B. // J. Am. Chem. Soc. 2002. V. 124. № 32. P. 9639.
- Joseph J., Jemmis E.D. // J. Am. Chem. Soc. 2007. V. 129. № 15. P. 4620.
- Mo Y., Wang C., Guan L., Braïda B., Hiberty P.C., Wu W. // Chem. Eur. J. 2014. V. 20. № 27. P. 8444.
Дополнительные файлы










