ОСОБЕННОСТИ ПРОЯВЛЕНИЯ МНОЖЕСТВЕННОЙ ЛЮМИНЕСЦЕНЦИИ ДИАДЫ, ВКЛЮЧАЮЩЕЙ ИМИДАЗОЛЬНЫЙ И КУМАРИНОВЫЙ ФРАГМЕНТЫ, В ФОТООТВЕРЖДЕННЫХ АКРИЛОВЫХ СЕТЧАТЫХ ПОЛИМЕРАХ
- Авторы: Матвеева И.А.1, Шашкова В.Т.1, Любимов А.В.1, Любимова Г.В.1, Кольцова Л.С.1, Шиенок А.И.1, Зайченко Н.Л.1
-
Учреждения:
- Федеральный исследовательский центр химической физики им. Н.Н. Семенова Российской академии наук
- Выпуск: Том 65, № 4 (2023)
- Страницы: 295-303
- Раздел: ФУНКЦИОНАЛЬНЫЕ ПОЛИМЕРЫ
- URL: https://journal-vniispk.ru/2308-1139/article/view/231636
- DOI: https://doi.org/10.31857/S2308113923700547
- EDN: https://elibrary.ru/QLCORW
- ID: 231636
Цитировать
Полный текст
Аннотация
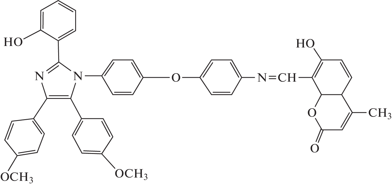
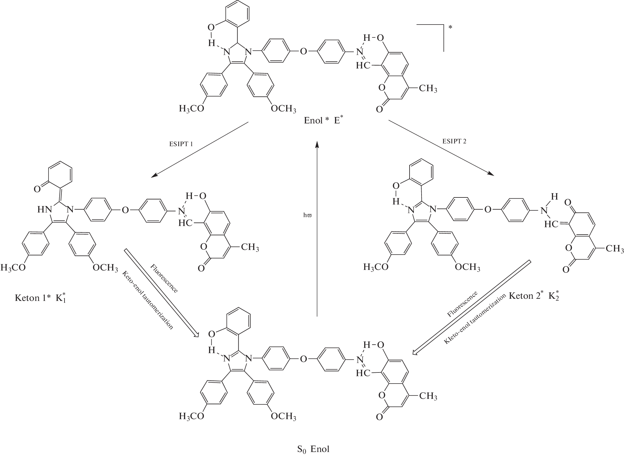
Оптимизированы условия получения методом фотоотверждения люминесцентных акриловых полимеров, содержащих органическую диаду, молекула которой объединяет два разных люминесцирующих фрагмента – гидроксизамещенный 2,4,5–триарилимидазольный и 8-азометин-7-гидроксикумариновый. Исследовано влияние природы фотоотвержденных акриловых сетчатых полимеров на люминесцентные свойства диады. Установлено, что в полученных алифатических сетчатых полимерах наблюдается независимая флуоресценция от обоих фрагментов молекулы, зависящая от длины волны возбуждения. В то же время в ароматических сетчатых полимерах и алифатических сетчатых полимерах, характеризующихся наличием в структуре простой эфирной связи, проявляется только флуоресценция имидазольного фрагмента. Характер люминесценции в большей степени определяется структурой полимерного звена и содержанием ароматических фрагментов в полимерной матрице, чем наличием гидроксильных групп в полимере. Показано, что эмиссия имидазольного фрагмента диады в алифатических сетчатых полимерах зависит от межузлового расстояния и условной полярности среды.
Об авторах
И. А. Матвеева
Федеральный исследовательский центр химической физики им. Н.Н. Семенова Российской академии наук
Email: zaina@chph.ras.ru
Россия, 119991, Москва, ул. Косыгина, 4
В. Т. Шашкова
Федеральный исследовательский центр химической физики им. Н.Н. Семенова Российской академии наук
Email: zaina@chph.ras.ru
Россия, 119991, Москва, ул. Косыгина, 4
А. В. Любимов
Федеральный исследовательский центр химической физики им. Н.Н. Семенова Российской академии наук
Email: zaina@chph.ras.ru
Россия, 119991, Москва, ул. Косыгина, 4
Г. В. Любимова
Федеральный исследовательский центр химической физики им. Н.Н. Семенова Российской академии наук
Email: zaina@chph.ras.ru
Россия, 119991, Москва, ул. Косыгина, 4
Л. С. Кольцова
Федеральный исследовательский центр химической физики им. Н.Н. Семенова Российской академии наук
Email: zaina@chph.ras.ru
Россия, 119991, Москва, ул. Косыгина, 4
А. И. Шиенок
Федеральный исследовательский центр химической физики им. Н.Н. Семенова Российской академии наук
Email: zaina@chph.ras.ru
Россия, 119991, Москва, ул. Косыгина, 4
Н. Л. Зайченко
Федеральный исследовательский центр химической физики им. Н.Н. Семенова Российской академии наук
Автор, ответственный за переписку.
Email: zaina@chph.ras.ru
Россия, 119991, Москва, ул. Косыгина, 4
Список литературы
- Krasovitskii B.M., Bolotin B.M. Organic Luminescent Materials. Weinheim: Wiley-VCH, 1988.
- Klauk H. Organic Electronics: Materials, Manufacturing, and Applications. Weinheim: Wiley-VCH, 2006.
- Zhao S.Ji, Chen Y., Guo H., Yang P. // Phys. Chem. Chem. Phys. 2012. V. 14. P. 8803.
- Park S.Y., Won M., Kang C., Kim J.S., Lee M.H. // Dyes Pigments. 2019. V. 164. P. 341.
- Brancato G., Signore G., Neyroz Y., Polli D., Cerullo G., Abbandonato G., Nukara L., Barone V., Belytan F., Bizzari R. // J. Phys. Chem. B. 2015. V. 119. P. 6144.
- Lui H., Lin F., Chen M., Hu K. // Iranian Polym. J. 2010. V. 19. № 3. P. 219.
- Chakraborty R., Soucek M.D. // Eur. Polym. J. 2008. V. 44. P. 3326.
- Bowling K., Adams J., Struck S. // J. Coat. Technol. 1996. V. 68. P. 91.
- Rath S.K., Diby A., Seghier Z., Boey F.Y.C., Abadie M.J.M. // Iran Polym J. 2006. V. 15. P. 855.
- Liu H., Yu L., Chen M., Huang Z. // Mater Res Bull. 2003. V. 38. P. 1607.
- Bongiovanni R., Malucelli G., Messori M., Pilati F., Priola A., Tonelli C., Toselli M.// J. Appl. Polym. Sci. 2000. V. 75. P. 651.
- Padalkar V.S., Seki S. // Chem. Soc. Rev. 2016. V. 45. P. 169.
- Park S., Kwon J.E., Kim S.H., Seo J., Chung K., Jang D.J., Medina B.W., Giecher J., Park S.Y. // J. Am. Chem. Soc. 2009. V. 131. P 14043.
- Heyer E., Nassue J., Ulrich G. // Dyes and Pigments. 2017. V. 143. P. 18.
- Tasaki S., Momotake A., Kanna Y., Sato T., Nishimura Y., Arai T. // Photochem. Photobiol. Sci. 2015. V. 14. P. 1864.
- Liubimov A.V., Venidiktova O.V., Valova T.M., Shienok A.I., Koltsova L.S., Liubimova G.V., Popov L.D., Zaichenko N.L., Barachevsky V.A. // Photochem. Photobiol. Sci. 2018. V. 17. P. 1365.
- Matveeva I.A., Shashkova V.T., Liubimov A.V., Liubimova G.V., Koltsova L.S., Shienok A.I., Zaichenko N.L. // Russ. J. Phys. Chem. B. 2019. V. 13. P. 803.
- Берлин А.А., Королев Г.В., Кефели Т.Я., Сивергин Ю.М. Акриловые олигомеры и материалы на их основе. М.: Наука, 1983.
- Van Krevelen D.W., Hoftyzer P.J. // Properties of Polymers: Correlations with Chemical Structure. London; New York: Elsevier, 1972.
Дополнительные файлы















