СИЛИКОНЫ В КОСМЕТИКЕ
- Авторы: Иванова Е.В.1, Миняйло Е.О.1,2, Темников М.Н.1,2, Мухторов Л.Г.1, Атрощенко Ю.М.1
-
Учреждения:
- Тульский государственный педагогический университет им. Л.Н. Толстого
- Институт элементоорганических соединений им. А.Н. Несмеянова Российской академии наук
- Выпуск: Том 65, № 5 (2023)
- Страницы: 323-340
- Раздел: ОБЗОРЫ
- URL: https://journal-vniispk.ru/2308-1139/article/view/233617
- DOI: https://doi.org/10.31857/S2308113923600077
- EDN: https://elibrary.ru/CCDHYL
- ID: 233617
Цитировать
Полный текст
Аннотация
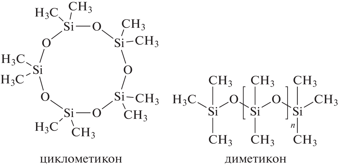
Исследовано структурное разнообразие кремнийорганических соединений, использующихся в составах продуктов декоративных и уходовых косметических средств. Описаны уникальные физико-химические свойства силиконов, позволяющие задействовать их в качестве смягчающих и увлажняющих средств, эмульгаторов, пленкообразователей и регуляторов вязкости, антистатических и связующих веществ. Показаны механизмы действия силиконов различного строения, благодаря которым кремнийорганические соединения успешно применяют для придания косметике определенных свойств. Проведен сравнительный анализ эффективности силиконов в сравнении с природными соединениями, выполняющими аналогичные функции в составах косметических средств. Рассмотрен вопрос безопасности применения силиконов для здоровья человека.
Об авторах
Е. В. Иванова
Тульский государственный педагогический университет им. Л.Н. Толстого
Email: temnikov88@gmail.com
Россия, 300026, Тула, пр. Ленина, 125
Е. О. Миняйло
Тульский государственный педагогический университет им. Л.Н. Толстого; Институт элементоорганических соединений им. А.Н. Несмеянова Российской академии наук
Email: temnikov88@gmail.com
Россия, 300026, Тула, пр. Ленина, 125; Россия, 119334, Москва, ул. Вавилова, 28
М. Н. Темников
Тульский государственный педагогический университет им. Л.Н. Толстого; Институт элементоорганических соединений им. А.Н. Несмеянова Российской академии наук
Email: temnikov88@gmail.com
Россия, 300026, Тула, пр. Ленина, 125; Россия, 119334, Москва, ул. Вавилова, 28
Л. Г. Мухторов
Тульский государственный педагогический университет им. Л.Н. Толстого
Email: temnikov88@gmail.com
Россия, 300026, Тула, пр. Ленина, 125
Ю. М. Атрощенко
Тульский государственный педагогический университет им. Л.Н. Толстого
Автор, ответственный за переписку.
Email: temnikov88@gmail.com
Россия, 300026, Тула, пр. Ленина, 125
Список литературы
- Rochow E.G. Pat. US2380995A USA. 1941.
- Rochow E.G. // J. Am. Chem. Soc. 1945. V. 67. № 6. P. 963.
- Андрианов К.А. Кремнийорганические соединения. М.: Госхимиздат, 1955.
- Kostic A. // Cos. Act. J. 2021. V. 1. P. 34.
- Pat. 51542 ПHP. 1964.
- Pat. 92263 French Republic . 1966.
- Pat. 329819 USA. 1962.
- Воронков М.Г., Зелчан Г.И., Лукевиц Э.Я. Кремний и жизнь. Биохимия, токсикология и фармакология соединений кремния. Рига: Зинатне, 1971.
- Соболевский М.В., Музовская О.А., Попелева Г.С. Свойства и области применения кремнийорганических продуктов. М.: Химия, 1975.
- Кремнийорганические продукты, выпускаемые в СССР: Каталог-справочник / Министерство хим. пром-ти СССЗ. М.: Химия, 1970.
- Крем для рук “Силиконовый”: https://www.svobodako.ru/dlya-tela/kategorii/kremy-dlya-ruk/krem-dlya-ruk-silikonovyy. Электронный ресурс.
- Бесхлорная химия силиконов – дорога в будущее / Под ред. А.М. Музафарова. М.: Перо, 2018.
- Temnikov M.N., Muzafarov A.M. // RSC Adv. Royal Soc. Chem. 2020. V. 10. № 70. P. 43129.
- Krizhanovskiy I., Temnikov M., Kononevich Yu., Anisimov A., Drozdov F., Muzafarov A. // Polymers (Basel). 2022. V. 14. № 15. P. 3079.
- Mojsiewicz-Pieńkowska K., Krenczkowska D. // Chemosphere. 2018. V. 191. P. 204
- O’Lenick A.J. Silicones for Personal Care / Ed. by A.C. Kozlowski. Carol Stream: Allured Publ. Corporation, 2008.
- Montiel M.C., Máximo F., Serrano-Arnaldos M., Ortega-Requena S., Murcia M., Bastida J. // Eng. Life Sci. 2019. V. 19. № 5. P. 370.
- Guo W., Dai Y., Chu X., Cui S. // Ecotoxicol. Environ. Saf. 2021. V. 213. P. 111983.
- Barel A.O., Paye M., Maibach H.I. Handbook of Cosmetic Science and Technology. London: Informa Healthcare Inc., 2009.
- Goussard V., Aubry J.M., Nardello-Rataj V. // Adv. Colloid Interface Sci. 2022. V. 304. P. 1.
- Yates J., Moore J., Mint A. // Res. Disclosure. 2001. P. 1875.
- Van Reeth I., Urrutia A. // SEPAWA Congress Conf. Proceedings. 2003.
- Abrutyn E.S. // Conditioning Agents for Hair and Skin / Eds by R. Schueller, P. Romanowski New York: Marcel Dekker Inc., 1999. P. 34.
- Blakely J., Van Reeth I., Vagts A. // Inside Cosmetics. 1998. P. 14.
- Arkles B. // Arkles. B. 2001. V. 26. P. 402.
- DeArmitt C. // Cosmet. Toilet. 2008. V. 123. P. 51.
- Blanco I. // Polymers (Basel). 2018. V. 10. P. 904.
- Quadir M. Pat. EP1603518A4 USA. 2006.
- Loman-Cortes P., Binte Huq T., Vivero-Escoto J.L. // Molecules. 2021. V. 26. № 6453. P. 1.
- Cekada J., Weyenberg D.R. Pat. DE1595471A1 USA. 1970.
- Yawat Y. Pat. JPH0723287B2 USA. 1985.
- Defossez B., Gagnebien D. Pat. AU636202B2 USA. 1993.
- Olejnik A., Sztorch B., Brząkalski D., Przekop R.E. // Materials (Basel). 2022. V. 15. № 3. P. 1.
- Bui H.S., Coleman-Nally D. Film-Forming Technology and Skin Adhesion in Long-Wear Cosmetics // Adhesion in Pharmaceutical, Biomedical and Dental Fields. New York: Wiley, 2017. P. 141.
- Bui H.S., Halpern S., Kanji M. Pat. US9089503B2 USA. 2015.
- Baney R.H., Itoh M., Sakakibara A., Suzuki T. // Chem. Rev. 1995. V. 95. № 5. P. 1409.
- Kondo T., Yoshii K., Horie K., Itoh M. // Macromolecules. 2000. V. 33. № 10. P. 3650.
- Itoh M., Oka F., Suto M., Cook S.D., Auner N. // Int. J. Polym. Sci. 2012. V. 2012. P. 1.
- Gordan G.V. Pat. US7803358B2 USA. 2010.
- Arkles B. // MRS Bull. 2001. V. 26. № 5. P. 402.
- Amouroux N., Petit J., Léger L. // Langmuir. 2001. V. 17. № 21. P. 6510.
- Di M., He S., Li R., Yang D.-Z. // Nucl. Instruments Methods Phys. Res. Sect. B. 2006. V. 248. № 1. P. 31.
- Xiang H., Xiang H., Ge J., Cheng S., Han H., Cui S. // J. Sol-Gel Sci. Technol. 2011. V. 59. № 3. P. 635.
- Shi X., Chen Z., Yang Y. // Eur. Polym. J. 2014. V. 50. P. 243.
- Jia P., Jia P., Liu H., Liu Q., Cai X. // Polym. Degrad. Stab. 2016. V. 134. P. 144.
- Meshkov I.B., Kalinina A.A., Gorodov V.V., Bakirov A.V., Krasheninnikov S.V., Chvalun S.N., Muzafarov A.M. // Polymers (Basel). 2021. V. 13. № 17. P. 2848.
- Tomomasa S., Takada H., Soyama Y. Pat. US5948393A USA. 1999.
- Becker L.C., Bergfeld W.F., Belsito D.V., Hill R.A., Klaassen C.D., Liebler D.C., Marks J.G., Shank R.C., Slaga Th.J., Snyder P.W., Andersen F.A. // Int. J. Toxicol. 2014. V. 33. № 2. P. 65S.
- Shchegolikhina O.I., Pozdnyakova Yu.A., Molodtsova Yu.A., Korkin S.D., Bukalov S.S., Leites L.A., Lyssenko K.A., Peregudov A.S., Auner N., Katsoulis D.E. // Inorg. Chem. 2002. V. 41. № 25. P. 6892.
- Anisimov A.A., Kononevich Yu.N., Buzin M.I., Peregudov A.S., Shchegolikhina O.I., Muzafarov A.M. // Macroheterocycles. 2016. V. 9. № 4. P. 442.
- Pozdnyakova Y.A., Korlyukov A.A., Kononova E.G., Lyssenko K.A., Peregudov A.S., Shchegolikhina O.I. // Inorg. Chem. 2010. V. 49. № 2. P. 572.
- Vysochinskaya Y.S., Anisimov A.A., Peregudov A.S., Dubovik A.S., Orlov V.N., Malakhova Yu.N., Stupnikov A.A., Buzin M.I., Nikiforova G.G., Vasil’ev V.G., Shchegolikhina O.I., Muzafarov A.M. // J. Polym. Sci., Polym. Chem. 2019. V. 57. № 11. P. 1233.
- Vysochinskaya Y.S., Gorodov V.V., Anisimov A.A., Boldyrev K.L., Buzin M.I., Naumkin A.V., Maslakov K.I., Peregudov A.S., Shchegolikhina O.I., Muzafarov A.M. // Russ. Chem. Bull. 2017. V. 66. № 6. P. 1094.
- Zhemchugov P.V., Peregudov A.S., Malakhova Yu.N., Buzin A.I., Buzin M.I., Shchegolikhina O.I., Muza-farov A.M. // Russ. Chem. Bull. 2015. V. 64. № 6. P. 1394.
- Dyuzhikova Y.S., Anisimov A.A., Peregudov A.S., Buzin M.I., Nikiforova G.G., Vasil’ev V.G., Kostrov S.A., Buzin A.I., Stupnikov A.A., Malakhova Yu.N., Shchegolikhina O.I., Muzafarov A.M. // Polymers (Basel). 2022. V. 14. № 2. P. 285.
- Dyuzhikova Y.S., Anisimov A.A., Gorodov V.V., Olenich E.A., Buzin M.I., Nikiforova G.G., Kostrov S.A., Shchegolikhina O.I., Muzafarov A.M. // J. Organomet. Chem. 2023. V. 989. P. 1.
- Krizhanovskiy I., Temnikov M., Drozdov F.V., Peregudov A.S., Anisimov A. // React. Chem. Eng. 2023. V. 8. № 5. P. 1005.
- Obrezkova M.A., Kalinina A.A., Pavlichenko I.V., Vasilenko N.G., Mironova M.V., Semakov A.V., Kulichikhin V.G., Buzin M.I., Muzafarov A.M. // Silicon. 2015. V. 7. № 2. P. 177.
- Filippov A., Kozlov A., Tarabukina E., Obrezkova M., Muzafarov A. // Polym. Int. 2016. V. 65. № 4. P. 393.
- Obrezkova M.A., Saraeva I.I., Ignatieva G.M., Vasilenko N.G., Muzafarov A.M. // Mendeleev Commun. 2021. V. 31. № 5. P. 704.
- Temnikov M.N., Buzin M.I., Demchenko N.V., Cherkaev G.V., Vasilenko N.G., Muzafarov A.M. // Mendeleev Commun. 2016. V. 26. № 2. P. 121.
- Temnikov M.N., Vasiliev V.G., Buzin M.I., Muza-farov A.M. // Eur. Polym. J. 2020. V. 130. № 3. P. 109676.
- Jaumann M., Rebrov E.A., Kazakova V.V., Muzafarov A.M., Goedel W.A., Moeller M. // Macromol. Chem. Phys. 2003. V. 204. № 7. P. 1014.
- Kazakova V.V., Rebrov E.A., Myakushev V.B., Strelkova T.V., Ozerin A.N., Ozerina L.A., Chenskaya T.B., Sheiko S.S., Sharipov E.Yu., Muzafarov A.M. // Silicones and Silicone-Modified Materials ACS Symposium Book Series 729. Am. Chem. Soc.: Washington, 2000. V. 34. P. 503.
- Kazakova V.V., Myakushev V.D., Strelkova T.V., Muza-farov A.M. // Polymer Science A. 1999. V. 41. № 3. P. 283.
- Amirova A.I., Golub O.V., Migulin D.A., Muzafarov A.M. // Int. J. Polym. Anal. Charact. 2016. V. 21. № 3. P. 214.
- Temnikov M.N., Zimovets S.N., Vasil’ev V.G., Buzin M.I. // Nesmeyanov Institute of Organoelement Compounds, Russ. Acad. Sci. 2020. V. 3. P. 112.
- Meshkov I.B., Kalinina A.A., Kazakova V.V., Demchenko A.I. // Nesmeyanov Institute of Organoelement Compounds, Russ. Acad. Sci. 2020. V. 3. № 4. P. 118.
- Dendrimer Chemistry: Synthetic Approaches Towards Complex Architectures // Monographs in Supramolecular Chemistry / Eds by M. Malkoch, Gallego S. García. London: Royal Soc. Chem., 2020. P. 293.
- Minyaylo E.O., Anisimov A.A., Zaitsev A.V., Milenin S.A., Tikhonov P.A., Vyshivannaya O.V., Olshevskaya V.A., Nikiforova G.G., Buzin M.I., Peregudov A.S., Muza-farov A.M. // React. Funct. Polym. 2020. V. 157. P. 104746.
- Tatarinova E.A., Rebrov E.A., Myakushev V.D., Mesh-kov I.B., Demchenko N.V., Bystrova A.V., Lebedeva O.V., Muzafarov A.M. // Russ. Chem. Bull. 2004. V. 53. № 11. P. 2591.
- Milenin S.A., Selezneva E.V., Tikhonov P.A., Vasil’ev V.G., Buzin A.I., Balabaev N.K., Kurbatov A.O., Petoukhov M.V., Shtykova E.V., Feigin L.A., Tatarinova E.A., Kramarenko E.Yu., Chvalun S.N., Muzafarov A.M. // Polymers (Basel). 2021. V. 13. № 4. P. 606.
- Serkova E.S., Krasnova I.Y., Milenin S.A., Selezneva E.V., Tatarinova E.A., Boldyrev K.L., Korlyukov A.A., Zubavichus Y.V., Buzin M.I., Serenko O.A., Shifrina Z.B., Muzafarov A.M. // Polymer (Guildf). 2018. V. 138. P. 83.
- Ardabevskaia S.N., Chamkina E.S., Krasnova I.Yu., Milenin S.A., Sukhova E.A., Boldyrev K.L., Bakirov A.V., Serenko O.A., Shifrina Z.B., Muzafarov A.M. // Int. J. Mol. Sci. 2022. V. 23. № 24. P. 15461.
- Boldyrev K., Tatarinova E., Meshkov I., Vasilenko N., Buzin M., Novikov R., Vasil’ev V., Shtykova E., Feigin L., Bystrova A., Chvalun S., Muzafarov A. // Polymer (Guildf). 2019. V. 174. P. 159.
- Tarasenkov A.N., Getmanova E.V., Tatarinova E.A., Buzin M.I., Demchenko N.V., Cherkaev G.V., Muza-farov A.M. // Russ. Chem. Bull. 2017. V. 66. № 9. P. 1675.
- Vodop’yanov E.A., Tatarinova E.A., Rebrov E.A., Muzafarov A.M. // Russ. Chem. Bull. 2004. V. 53. № 2. P. 358.
- Tereshchenko A.S., Tupitsyna G.S., Tatarinova E.A., Bystrova A.V., Muzafarov A.M., Smirnova N.N., Markin A.V. // Polymer Science B. 2010. V. 52. № 1–2. P. 41.
- Novozhilova N.A., Malakhova Yu.N., Buzin M.I., Buzin A.I., Tatarinova E.A., Vasilenko N.G., Muzafarov A.M. // Russ. Chem. Bull. 2013. V. 62. № 11. P. 2514.
- Getmanova E.V., Tereshchenko A.S., Ignat’eva G.M., Tatarinova E.A., Myakushev V.D., Muzafarov A.M. // Russ. Chem. Bull. 2004. V. 53. № 1. P. 137.
- Tereshchenko A.S., Getmanova E.V., Buzin A.I., Ignat’eva G.M., Tatarinova E.A., Bystrova A.V., Myakushev V.D., Muzafarov A.M. // Russ. Chem. Bull. 2007. V. 56. № 11. P. 2200.
- Sheremetyeva N.A., Tatarinova E.A., Drozdov F.V., Muzafarov A.M., Serenko O.A., Buzin M.I., Elmanovich I.V., Gallyamov M.O. // Russ. Chem. Bull. 2018. V. 67. № 8. P. 1440.
- Mironova M.V., Semakov A.V., Tereshchenko A.S., Tatarinova E.A., Getmanova E.V., Muzafarov A.M., Kulichikhin V.G. // Polymer Science A. 2010. V. 52. № 11. P. 1156.
- Lardy F., Vennat B., Pouget P., Pourrat A. // Drug Dev. Ind. Pharm. 2000. V. 26. № 7. P. 715.
- Budiasih S., Masyitah I.D., Jiyauddin K., Kaleemullah M., Samer A., Fadli A.M., Yusuf E. // BROMO Conference. 2018.
- Miyahara R. Emollients // Cosmetic Science and Technology. Amsterdam: Elsevier, 2017. P. 245.
- Thomas A., Matthäus B., Fiebig H.-J. Fats and Fatty Oils // Ullmann’s Encyclopedia of Industrial Chemistry. Weinheim: Wiley-VCH Verlag GmbH & Co. KGaA, 2015. P. 1.
- Alander J.T. Chemical and Physical Properties of Emollients // Treatment of Dry Skin Syndrome. Berlin; Heidelberg: Springer Berlin Heidelberg, 2012. P. 399.
- Anneken D.J., Both S., Christoph R., Fieg G., Steinberner U., Westfechtel A. // Ullmann’s Encyclopedia of Industrial Chemistry. Weinheim, Germany: Wiley-VCH Verlag GmbH & Co. KGaA, 2006.
- Duprat-de-Paule S., Guilbot J., Roso A., Cambos S., Pierre A. // OCL. 2018. V. 25. № 5. P. D503.
- O’Lenick A.J. // J. Surfactants Deterg. 2001. V. 4. № 3. P. 311.
- Dodgson K., Bannister D.J., Semlyen J.A. // Polymer (Guildf). 1980. V. 21. № 6. P. 663.
- Mancuso A., Tarsitano M., Udongo B.P., Cristiano M.C., Torella D., Paolino D. // Int. J. Cosmet. Sci. 2022. V. 44. № 5. P. 514.
- Lionetti N., Rigano L. // Cosmetics. 2018. V. 5. № 1. P. 22.
- Kis N., Kovács A., Budai-Szűcs M., Gácsi A., Csányi E., Pannonhalminé C.I., Berkó S. // Pharmaceutics. 2019. V. 11. № 12. P. 660.
- Mojsiewicz-Pieńkowska K. Review of Current Pharmaceutical Applications of Polysiloxanes (Silicones) // Handbook of Polymers for Pharmaceutical Technologies. Beverly: Scrivener Publ. LLC, 2015. P. 363.
- Eeman M., van Reeth I. Silicone Film-Formers: New Approaches for Measuring Film Barrier Properties // IFSCC Congress. 2014.
- Bleasdale B., Finnegan S., Murray K., Sean K., Steven P.L. // Adv. Wound Care. 2015. V. 4. № 7. P. 422.
- Clugston P.A., Vistnes M.D., Perry L.C., Maxwell G.P., Fisher J. // Ann. Plast. Surg. 1995. V. 34. № 1. P. 12.
- Araújo L.A. de, Addor F., Campos P.M.B.G.M. // An. Bras. Dermatol. 2016. V. 91. № 3. P. 331.
- Shin H.T. // Dermatol. Ther. 2005. V. 18. № 2. P. 124.
- Hall B.J., Jones L.W., Dixon B. // Eye Contact Lens Sci. Clin. Pract. 2014. V. 40. № 1. P. 51.
Дополнительные файлы
























