КОМПОЗИТНЫЕ ВОЛОКНА НА ОСНОВЕ ГИДРАТЦЕЛЛЮЛОЗЫ, СОДЕРЖАЩИЕ БОР (III) КАК ПРЕКУРСОРЫ УГЛЕРОДНЫХ МАТЕРИАЛОВ
- Авторы: Егоров Ю.А.1, Бондаренко Г.Н.1, Виноградов М.И.1, Куличихин В.Г.1
-
Учреждения:
- Институт нефтехимического синтеза им. А.В. Топчиева Российской академии наук
- Выпуск: Том 65, № 5 (2023)
- Страницы: 347-362
- Раздел: КОМПОЗИТЫ
- URL: https://journal-vniispk.ru/2308-1139/article/view/233622
- DOI: https://doi.org/10.31857/S2308113923600041
- EDN: https://elibrary.ru/CQYZPO
- ID: 233622
Цитировать
Полный текст
Аннотация
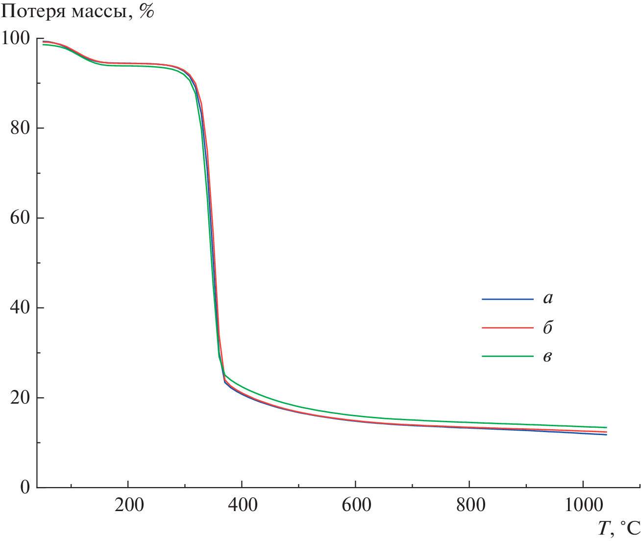
На основе твердых растворов целлюлозы в N-метилморфолин-N-оксиде и ортоборной кислоты с последующим их переводом в вязкотекучее состояние получены композитные волокна, содержащие бор (III). Исследовано реологическое поведение растворов целлюлозы, отличающихся содержанием ортоборной кислоты и воды в условиях непрерывной и динамической сдвиговой нагрузки, подтверждающее межмолекулярное взаимодействие между компонентами. Показано, что физико-механические характеристики композитных волокон, полученных из 16%-ного раствора в N-метилморфолин-N-оксиде, сопоставимы с аналогичными показателями для гидратцеллюлозных волокон. Методами термогравиметрического анализа и дифференциальной сканирующей калориметрии исследован процесс превращения композитных волокон различного состава в углеродное волокно. Химические и структурно-морфологические свойства композитных гидратцеллюлозных и полученных из них углеродных волокон исследованы методами ИК-фурье-спектроскопии, рентгенофазового анализа и электронной микроскопии. Методом спектроскопии комбинационного рассеяния установлено влияние соединений бора (III) на процесс карбонизации и образование графитоподобных структур в углеродном волокне.
Ключевые слова
Об авторах
Ю. А. Егоров
Институт нефтехимического синтеза им. А.В. Топчиева Российской академии наук
Email: yuegor@googlemail.com
Россия, 119991, Москва, Ленинский пр., 29
Г. Н. Бондаренко
Институт нефтехимического синтеза им. А.В. Топчиева Российской академии наук
Email: yuegor@googlemail.com
Россия, 119991, Москва, Ленинский пр., 29
М. И. Виноградов
Институт нефтехимического синтеза им. А.В. Топчиева Российской академии наук
Email: yuegor@googlemail.com
Россия, 119991, Москва, Ленинский пр., 29
В. Г. Куличихин
Институт нефтехимического синтеза им. А.В. Топчиева Российской академии наук
Автор, ответственный за переписку.
Email: yuegor@googlemail.com
Россия, 119991, Москва, Ленинский пр., 29
Список литературы
- Newcomb B.A. // Composites A. 2016. V. 91. P. 262.
- Newell J.A. // Encyclopedia of Polymer Science and Technology. New York: Wiley, 2005. V. 9. P. 91.
- Конкин А.А. Углеродные и другие жаростойкие волокнистые материалы. М.: Химия, 1974. С. 39.
- Fitzer E. // Carbon. 1989. V. 27. P. 621.
- Johnson D.L. // Pat. 3, 447, 956 USA. 1969.
- Lenz J., Schurz J., Wrentschur E. // J. Appl. Polym. Sci. 1988. V. 35. P. 1987.
- Coulsey A., Smith S.B. // Lenzinger Ber. 1996. V. 75. P. 51–61.
- Fink H.-P., Weigel P., Purz H.J., Ganster J. // Progr. Polym. Sci. 2001. V. 26. P. 1473.
- Bredereck K., Hermanutz F. // Rev. Progr. Color Rel. Top. 2005. V. 35. № 1. P. 59.
- Peng S., Shao H., Hu X. // J. Appl. Polym. Sci. 2003. V. 90. P. 1941.
- Kulichikhin V.G., Golova L.K., Makarov I.S., Bondarenko G.N., Berkovich A.K., Il’in S.O. // Polymer Science C. 2016. V. 58. № 1. P. 74.
- Hermanutz F., Gaehr F., Uerdingen E., Meister F., Kosan B. // Macromol. Symp. 2008. V. 262. P. 23.
- Sammons R.J., Collier J.R., Rials T.G., Spruiell J.E., Petrovan S. // J. Appl. Polym. Sci. 2013. V. 128. № 2. P. 951.
- Ingildeev D., Effenberger F., Bredereck K., Hermanutz F. // J. Appl. Polym. Sci. 2013. V. 128. № 6. P. 4141.
- Spörl J.M., Ota A., Son S., Massonne K., Hermanutz F., Buchmeiser M.R. // Mater. Today Commun. 2016. V. 7. P. 1.
- Brunner P.H., Roberts P.V. // Carbon. 1980. V. 18. P. 217.
- Konkin A.A. // Handbook of Composites / Ed. by W. Watt, B.V. Perov. Amsterdam: Elsevier, 1985. V. 1. P. 275.
- Kilzer F.J., Broido A. // Pyrodynamics. 1965. V. 2. P. 151.
- Tomlinson J.B., Theocharis C.R. // Carbon. 1992. V. 30. P. 907.
- Kandola B.K., Horrocks A.R., Price D., Coleman G.V. // J. Macromol. Sci. Polym. Rev. 1996. V. 36. P. 721.
- Weil E.D., Levchik S.V. // J. Fire Sci. 2008. V. 26. P. 243.
- Day M., Wiles D.M. // J. Therm. Insul. 1978. V. 2. P. 30.
- Satonaka S., Endoh T. // Res. Bull.College Experiment Forests Hokkaido Univ. 1983. V. 40. № 3. P. 529.
- Xie K., Gao A., Zhang Y. // Carbohydr. Polym. 2013. V. 98. P. 706.
- Karacan I., Soy T. // J. Mater. Sci. 2013. V. 48. P. 2009.
- Karacan I., Guel A. // J. Mater. Sci. 2014. V. 49. P. 7462.
- Morozova A.A., Brezhneva Y.V. // Fibre Chem. 1997. V. 29. P. 31.
- Hina K., Zou H., Qian W., Zuo D. // Cellulose. 2018. V. 25. P. 607.
- Zeng F., Pan D., Pan N. // J. Inorg. Organomet. Polym. Mater. 2005. V. 15. P. 261.
- Plaisantin H., Pailler R., Guette A., Birot M., Pillot J.-P., Daude G., Olry P.J. // Mater. Sci. 2006. V. 41. P. 1959.
- Lysenko A.A., Piskunova I.A., Astashkina O.V. // Fibre Chem. 2003. V. 35. P. 189.
- Spörl J.M., Beyer R., Abels F., Cwik T., Müller A., Hermanutz F., Buchmeiser M.R. // Macromol. Mater. Eng. 2017. V. 302. 1700195.
- McKee D.W. // Carbon. 1986. V. 24. № 6. P. 737.
- Sogabe T., Okada O., Kuroda K., Inagaki M. // Carbon. 1997. V. 35. № 1. P. 67.
- Chanzy H., Paillet M., Hagege R. // Polymer. 1990. V. 31. N. 3. P. 400.
- Egorov Y.A., Makarova V.V., Shandryuk G.A., Kulichikhin V.G. // Polymer Science A. 2022. V. 64. № 1. P. 38.
- Куличихин В.Г., Голова Л.К. // Научные основы химической технологии углеводов / Отв. ред. А.Г. Захаров. М.: Изд-во ЛКИ, 2008. С. 223.
- Wendler F., Persin Z., Stana-Kleinschek K., Reischl M., Ribitsch V., Bohn A., Fink H.-P., Meister F. // Cellulose. 2011. V. 18. P. 1165.
- Голова Л.К. // Рос. хим. журн. 2002. Т. 46. № 1. С. 49.
- Xue Y., Li W., Yang G., Lin Z., Qi L., P., Yu J., Chen J. // Polymers. 2022. V. 14. № 10. P. 2030.
- Lim K.Y., Seong Y.J., Kim B.C. // Polym. J. 2003. V. 35. P. 691.
- Acharia S., Liyanage S., Parajuli P., Rumi S.S., Shamshina J.L., Abidi N. // Polymers. 2021. V. 13. № 24. P. 4344.
- Golova L.K. // Fibre Chem. 1996. V. 28. № 1. P. 5.
- Kaldor A., Porter R.F. // Inorg. Chem. 1971. V. 10. P. 775.
- Dumanli A.G., Windle A.H. // J. Mater. Sci. 2012. V. 4. P. 4236.
- Isogai A., Usuda M., Kato T., Uryu T., Atalla R.H. // Macromolecules. 1989. V. 22. P. 3168.
- Yang H., Yan R., Chen H., Lee D.H., Zheng C. // Fuel. 2007. V. 86. P. 1781.
- Gandini A., Belgacem M.N. // Adv. Polym. Sci. 2016. V. 271. P. 169.
- Takaku A., Shioya M. // J. Mater. Sci. 1990. V. 25. P. 4873.
- Cuesta A., Dhamelincourt P., Laureyns J., Martínez-Alonso A., Tascón J.M.D. // Carbon. 1994. V. 32. № 8. P. 1523.
- Wang Y., Serrano S., Santiago-Avilés J. J. // Synth. Met. 2003. V. 138. № 3. P. 423.
- Li Z.Q., Lu C.J., Xia Z.P., Zhou Y., Luo Z. // Carbon. 2007. P. 45. P. 1686.
- Kobets L.P., Deev I.S. // Compos. Sci. Technol. 1998. V. 57. № 12. P. 1571.
Дополнительные файлы















