Композиционный текстиль с электропроводящими и магнитными свойствами
- Authors: Сапурина И.Ю.1, Шишов М.А.1, Щербаков А.Е.2, Спивак Ю.М.2, Селютин А.А.3
-
Affiliations:
- Институт высокомолекулярных соединений Российской академии наук
- Санкт-Петербургский государственный электротехнический университет “ЛЭТИ” им. В.И. Ульянова (Ленина)
- Санкт-Петербургский государственный университет
- Issue: Vol 66, No 3 (2024)
- Pages: 196-209
- Section: КОМПОЗИТЫ
- URL: https://journal-vniispk.ru/2308-1139/article/view/272910
- DOI: https://doi.org/10.31857/S2308113924030053
- EDN: https://elibrary.ru/LVJHRI
- ID: 272910
Cite item
Full Text
Abstract
Электропроводящий композиционный текстиль и текстиль, сочетающий электропроводящие и магнитные свойства, получен на основе биосовместимых нетоксичных материалов: коммерческого нетканого текстиля, электропроводящего полипиррола и магнетита (Fe3O4). Композиционный текстиль сформирован из двуслойных волокон, где волокна исходного текстиля покрыты оболочкой полипиррола, а текстиль, сочетающий электропроводящие и магнитные свойства, имеет трехслойную структуру, где поверх оболочки полипиррола высажены частицы магнетита. Композиционный текстиль сохраняет структуру исходной ткани со свободным межволоконным пространством: удельная площадь поверхности материалов и их механические свойства близки по значениям. Исследован состав материалов их электропроводящие, магнитные и окислительно-восстановительные свойства. Изучено взаимодействие композиционного текстиля и текстиля, сочетающего электропроводящие и магнитные свойства с электромагнитным излучением в диапазоне частот 4–8 ГГц в сравнении с коммерческим радиопоглощающим материалом на основе карбонильного железа.
Full Text
ВВЕДЕНИЕ
Электронный текстиль или так называемый “умный текстиль” – это пористый, растяжимый, гибкий и легкий материал, который помимо основных покровных функций, например, защиты человека от холода, дождя, ветра и солнца, обладает дополнительными функциями, например, в сферах коммуникации, энергоснабжения, мониторинга жизнедеятельности или специальных мер защиты [1, 2]. Данные материалы могут реагировать на внешние воздействия, такие как электрическое или магнитное поле, химические или биохимические агенты, температура, механические силы и т.д., при этом материал может не только передавать эти сведения, т.е. участвовать в телекоммуникации, но и адаптироваться в соответствии с условиями внешней среды [3, 4]. Технологии, связанные с получением электронного текстиля, переживают колоссальный прогресс, а критически важным звеном здесь являются материалы, используемые для его создания. Как правило, это широкий спектр материалов (природные соединения, металлы, полупроводники, синтетическая органика и т.д.), которые должны обладать разнообразными свойствами: электропроводящими, изолирующими, оптическими, магнитными, окислительно-восстановительными и т.д. В конечном продукте весь перечень функциональных свойств должен сочетаться с хорошими механическими характеристиками изделия [5, 6].
В большинстве случаев в качестве основы электронного текстиля используют натуральные и/или синтетические волокна. В такую основу либо встраивают гибкое электронное устройство [7], либо модифицируют полотно или волокна ткани мультифункциональными добавками [8]. Последним достижением стало создание многоуровневых волокон, сформированных из различных материалов, которые уже сами по себе представляют миниатюрное устройство или защитную среду [1]. В качестве примера можно привести энергосберегающий элемент в виде многослойного волокна, где коаксиальные слои представляют собой анод, сепаратор с твердым электролитом и катод электрохимического элемента [9].
Одна из важнейших характеристик электронного текстиля – электропроводность. Для придания ткани электропроводности используют металлы и углерод: металлические и/или углеродные нити формируют полотно либо вводятся в состав текстиля. Такие изделия имеют высокий уровень электропроводности, но некомфортны, а в случае металлов тяжелы и нестойки к коррозии [10]. Другой вариант – импрегнирование традиционного текстиля металлическими или углеродными частицами [11, 12, 13]. Большим недостатком таких изделий является низкая износостойкость в результате истирания и осыпания напыленных частиц, а также коррозия частиц металла [7]. Помимо этого, очень проблематично использовать такой текстиль в контакте с кожей человека: наблюдается тактильный дискомфорт и очень часты аллергические реакции.
Сравнительно новым направлением придания электропроводности традиционному текстилю является использование полисопряженных полимеров: полианилина, полипиррола и политиофена [1, 13]. Полимеры имеют достаточный уровень электропроводности 100–101 См/см, устойчивы к коррозии, стабильны, не растворяются, не разлагаются с выделением ядовитых низкомолекулярных продуктов, не поддерживают горение [14] и хорошо совмещаются с тканым остовом [15]. В отличие от металлов и углерода электропроводящие полимеры имеют состав, сходный с живыми тканями и не вызывают тактильный дискомфорт. Многочисленные исследования показали биосовместимость полисопряженных полимеров на клеточном уровне. Это значительно расширяет область использования данных полимеров в составе “умного текстиля”. В медицине полимеры применяют не только in vitro, но и in vivo [16, 17, 18]. Это электростимуляция роста клеток, ускоренное заживление ран, регенерация нервных волокон, целевая доставка лекарств и молекулярная тест-диагностика [19, 20]. В настоящее время полисопряженные полимеры незаменимы в ряде биомедицинских технологий, которые используют электрические методы диагностики и лечения.
Полисопряженные полимеры обладают не только электропроводностью, они демонстрируют также богатый набор свойств, присущий полупроводникам, и поистине мультифункциональны [15]. Полимеры участвуют в окислительно-восстановительных процессах, и такие взаимодействия обратимы, поэтому на основе полимеров созданы гибкие и стойкие к деформациям источники электропитания: суперконденсаторы и аккумуляторные батареи [21, 22]. Полимеры являются превосходными сорбентами, фильтры на их основе применяются для очистки воды [23]. Традиционные ткани, импрегнированные электропроводящими полимерами, могут использоваться как детектирующие элементы сенсоров [24], поскольку полимеры чувствительны ко многим химическим реагентам и дают закономерный отклик на их присутствие. На основе полимеров созданы совместимые с одеждой гибкие и миниатюрные сенсоры токсичных и взрывоопасных газов [25]. В медицине и спортивной диагностике используют мобильные сенсоры мониторинга состояния здоровья человека: состояния мышечных тканей, записи сердечного ритма и дыхания, состава биологических сред: пота, слюны, мочи [26, 27, 28]. Электропроводящие полимеры являются проводниками смешанного типа, они обладают и электронной, и ионной проводимостью, уровень которой определяется степенью допирования полимера специальными добавками [29]. Все чаще подобный текстиль применяется на интерфейсе с кожей для преобразования ионных токов живых тканей в электронные токи приборов и обратно, с целью электродиагностики и электростимуляции [30].
Текстиль, включающий электропроводящие полимеры, успешно экранирует электромагнитное излучение в широком диапазоне частот и может быть использован для защиты человека от СВЧ [31, 32]. Если металлы и углерод экранируют за счет отражения электромагнитного излучения, то для полимеров характерны высокие значения сорбционной составляющей, и они позиционируются как адсорберы электромагнитного излучения. Для усиления взаимодействия с магнитной составляющей волны и повышения эффективности защиты электропроводящие полимеры сочетают с магнитными материалами. В основном это порошковые ферриты, поэтому полученные композиты также представляют собой порошки, которые трудно иммобилизовать на текстиль [33, 34]. Таким образом, текстиль, сочетающий высокую электропроводность и магнитные свойства, является востребованным и перспективным материалом.
В данной работе исследуются свойства, полученного нами электронного текстиля, созданного на основе смесевой ткани вискоза/полиэфир и электропроводящего полипиррола. В настоящее время с использованием полипиррола создано уже достаточно видов умного текстиля, который получен на основе различных натуральных и синтетических тканей; хлопка и шерсти, нейлона, полиэфира, стекловолокна и биосовместимых электроформованных волокон [19, 35, 36, 37]. Тем не менее свойства таких материалов значительно различаются. В широких пределах варьируется уровень электропроводности и редокс-активности материалов, их пористость, механические свойства, а также стабильность изделий. Все перечисленные свойства зависят от вида исходного текстиля, содержания в нем полипиррола, уровня допирования полимера, а также методов нанесения его на текстиль [29]. Последнее в значительной степени контролирует качество совмещения полипиррола с волокнами ткани и его распределение внутри волокнистой матрицы, что критическим образом влияет на электропроводность и стабильность продукта. По этой причине актуальной задачей является получение новых видов электронного текстиля на основе полипиррола. Для создания материала, имеющего практический интерес, необходимо максимально адаптировать его к конкретному виду применения. В таком плане полипиррол – очень удобный объект, поскольку в широком диапазоне меняет свойства в зависимости от степени и типа допирования, а также позволяет наносить на ткань дополнительные органические и неорганические агенты, улучшающие характеристики изделия [38].
Кроме текстиля с электропроводящей полипиррол компонентой (Т-ППи) нами получен текстиль, сочетающий электропроводящие и магнитные свойства (Т-ППи-Fe3O4). Для этого частицы магнетита нанесены поверх слоя полипиррола, покрывающего волокна вискозы. Полученные материалы исследованы в качестве абсорберов электромагнитного излучения в диапазоне частот 4–8 ГГц. Показано, что их защитные характеристики превосходят, характеристики коммерческого пластинчатого материала на основе карбонильного железа, диспергированного в полимерной матрице (ПЭВ-Л). Данный материал предназначен для экранирования электромагнитного излучения с целью защиты биологических объектов и радиоэлектронной аппаратуры от электромагнитного излучения, а также для оборудования безэховых камер. http://magneton.ru/docs/datasheets/svch-radiopogloschayuschie/rpm.pdf.
ЗКСПЕРИМЕНТАЛЬНАЯ ЧАСТЬ
Методы модификации текстиля
В работе использовали коммерческий нетканый текстиль из вискозы и полиэфирных волокон (60/40%), он выпускается различными производителями России. Образцы ткани размерами 50 × 60 см, натянутые на каркас, обрабатывали раствором солей трехвалентного железа (тосилат железа), который в качестве допирующей добавки содержал соляную кислоту. Обработку проводили при комнатной температуре в течение нескольких часов, после чего текстиль подсушивали и вносили в камеру с парами пиррола. Окислительная полимеризация пиррола протекала здесь при температуре 45 °С в течение 6 ч. Затем модифицированные полипиррол и получившие черную окраску образцы текстиля многократно промывали дистиллированной водой и сушили на воздухе в растянутом на каркасе состоянии. Высаживание частиц магнетита на композиционный текстиль Т-ППи осуществляли путем соосаждения солей двух- и трехвалентного железа [39].
Исследование материалов
Морфологию полученных материалов изучали с использованием сканирующего электронного микроскопа “Hitachi S-3400N” с аналитической приставкой – спектрометром “Oxford Instruments X-Max 20” для энергодисперсионного анализа, а также сканирующего электронного микроскопа “Carl Zeiss Supra 55 VP” фирмы “Carl Zeiss” (Германия). Перед исследованием на установке “Eiko-IB3” (“Ioncoater”) на образец исходной ткани напыляли слой золота толщиной ~25 нм при ионном токе 6 мА и межэлектродном напряжении 1.5 кВ. Образцы Т-ППи и Т-ППи-Fe3O4 обладали достаточной электропроводностью и были исследованы без напыления золота.
Деформационно-прочностные свойства текстиля исследовали при комнатной температуре и влажности в режиме продольного растяжения с использованием разрывной машины “Instron 5943” (США). Толщина исследуемых образцов составляла 2 мм, ширина ~ 6 мм, базовая длина 20 мм. Скорость деформации образцов 1 мм/мин. Прочность образцов оценивали по максимальному значению напряжения при растяжении. Механические характеристики образцов (прочность, модуль упругости и деформацию до разрыва) рассчитывали статистическим усреднением измерений не менее двадцати образцов.
Удельную площадь поверхности образцов определяли методом низкотемпературной сорбции азота (БЭТ) с использованием оборудования “SORBI MS” (Общество с ограниченной ответственностью “МЕТА”, Новосибирск) и программного обеспечения SoftSorbi II [40]. В качестве газа-носителя использовали гелий высокой чистоты марки 6.0, газа-сорбата – азот высокой чистоты. Перед измерениями все образцы подвергались термодесорбции на станции пробоподготовки SorbiPrep (Общество с ограниченной ответственностью “МЕТА”, Новосибирск) при температуре 150 °C в течение 60 мин. Вес проб определялис помощью весов CE124-C, SARTOGOSM
Электропроводность текстиля измеряли с помощью прижимного электрода по тестовой методике ААТСС 76-2005 (Electrical Surface Resistivity of Fabrics) с использованием вольтметра-амперметра “Keithley 2010” и источника тока “Keithley 237” при комнатной температуре и влажности.
Электрохимические характеристики Т-ППи и Т-ППи-Fe3O4 изучали в двухэлектродной ячейке размером 35 × 9 мм, изготовленной из тефлона. Электроды из платиновой проволоки толщиной 1 мм и длиной 35 мм, накладывали на исследуемый кусок текстиля (35 × 9 мм), помещенный на дно ячейки и фиксировали его. Измерения проводили с использованием “Potentiostat/Galvanostat ELINS P-30J”, который позволяет регистрировать токи в диапазоне от 10 нА до 2 А и потенциалы в интервале 80 мкВ–15 В. Максимальная скорость регистрации 1580 точек/с.
Структуру образцов изучали с помощью рентгеновского дифрактометра (“Advance D8”, “Bruker”) с источником излучения CuKα.
Электрохимическую емкость образцов оценивали в двухэлектродной электрохимической ячейке с электродами из стеклоуглерода размерами 1 и 5 см2 с использованием водного электролита 0.9% NaCl. Циклы заряд–разряд проводили при плотности тока 10 мА/г.
Магнитные измерения выполняли на вибрационном магнетометре “Lake Shore 7410” при комнатной температуре в интервале напряженности поля от +18000 до –18000 Э.
Взаимодействие текстиля с электромагнитным излучением в диапазоне частот 4–8 ГГц изучали при использовании волноводного метода измерений. Для измерения S-параметров использовали векторный анализатор цепей “Keysight N5232A”. Образцы толщиной 2, 4 и 6 мм помещали в волновод прямоугольного сечения. Размеры образцов соответствовали размерам волновода и составляли 48 × 24 мм для частотного диапазона 3.9–5.65 ГГц и 35 × 15 для 5.65–8 ГГц соответственно. Для определения параметров поглощения K, реализуемого при двойном прохождении электромагнитной волны объема композиционного материала за измерительной ячейкой, устанавливали металлический экран. Определяли параметры S11, характеризующие отражение волны от поверхности образца (SR) (reflection) и параметры S12, характеризующие проницаемость образца (ST) (transmittance).
РЕЗУЛЬТАТЫ И ИХ ОБСУЖДЕНИЕ
Получение композиционного текстиля
В работе получен композиционный текстиль, состоящий из многоуровневых волокон. Первым уровнем была нетканая матрица из смесевых волокон вискоза/полиэфир (Т), обеспечивающая покровные (защитные) функции одежды с необходимыми ей механическими свойствами. Вторым уровнем служил капсулирующий волокна текстиля слой электропроводящего полипиррола, а третьим уровнем являлись частицы магнетита, высаженного на слой полипиррола.
В принципе Т-ППи может быть получен путем импрегнации текстиля предварительно полученной дисперсией полипиррола [41, 42]. Однако перечень известных дисперсий, представляющих собой жидкие составы наночастиц полипиррола, стабилизированных от слипания специальными стабилизаторами, органичен, к тому же их использование не всегда обеспечивает хорошую адгезию полипиррола к носителю. Истинные растворы полипиррола неизвестны, полимер не плавится и нерастворим, поэтому относится к категории не перерабатываемых материалов, к которым неприменимы традиционные методы переработки полимеров [15].
В нашем случае Т-ПП получали, нанося полипиррол на текстиль методом гетерофазного синтеза – окислительной полимеризации пиррола в присутствии текстиля. Как показали предварительные исследования, метод позволяет сформировать однородный слой полипиррола на поверхности волокон во всем объеме текстиля и обеспечивает хорошую адгезию полипиррола к их поверхности [43]. Окислительная полимеризация пиррола может протекать как в жидкой, так и в газовой фазе. При получении Т-ППи полимеризация осуществлялась из паровой фазы пиррола. Реакция шла на поверхности волокон текстиля, предварительно импрегнированного окислителем (Fe-ТSA3). Уравнение окислительной полимеризации пиррола можно записать в общем виде:
В ходе реакции текстиль приобретал черную окраску. Далее после отмывки непрореагировавшего мономера и побочных продуктов реакции этот материал представлял собой композиционный текстиль Т-ППи, состоящий из двухуровневых волокон.
Текстиль, содержащий трехуровневые волокна Т-ППи-Fe3O4 был получен на основе Т-ППи путем непрерывного синтеза, без удаления побочных продуктов полимеризации. Данный способ основан на одном из методов получения магнетита, состоящем в соосаждении солей двух- и трехвалентного железа [39, 44]. Для получения Т-ППи в качестве окислителя пиррола использована соль трехвалентного железа, которая при взаимодействии с пирролом переходит в двухвалентное состояние. Таким образом, в ходе полимеризации в текстильной матрице накапливается состав реагентов (Fe+3/Fe+2), необходимый для получения магнетита методом соосаждения солей. Неотмытый текстиль погружался в щелочной раствор с рН 9, где на поверхность полипиррола высаживались частицы магнетита.
Общая схема получения Т-ППи и Т-ППи-Fe3O4 показана на рис. 1.
Рис. 1. Схема получения Т-ППи и Т-ППи-Fe3O4: а – насыщение текстиля окислителем, б – высушивание текстиля, в – экспонирование в парах пиррола, г – погружение в раствор щелочи. Цветные рисунки можно посмотреть в электронной версии
На рис. 2 приведена фотография исходного текстиля, а также образцов после модификации текстиля полипирролом и после нанесения на полипиррол магнетита.
Рис. 2. Фотография образцов текстиля: а – исходный текстиль Т, б – текстиль Т-ППи, в – текстиль с нанесенным магнетитом Т-ППи-Fe3O4
Морфология материалов
Морфология образцов исходного текстиля при разном увеличении, а также текстиля после модификации полипирролом и после нанесения на двухуровневые волокна Т-Ппи магнетита представлена на рис. 3. Текстиль образован хаотически переплетенными волокнами и имеет пористую структуру. Волокна исходного текстиля имеют гладкую, но рельефную поверхность с продольным рисунком, их диаметр составляет порядка 10 мкм (рис. 3а, 3б).
Рис. 3. Изображения образцов, полученные методом сканирующей электронной микроскопии: а, б – исходный текстиль Т; в, г – текстиль после модификации полипирролом Т-ППи; д, е – текстиль после высаживания на поверхность полипиррола магнетита Т-ППи-Fe3O4
После модификации полипирролом общая морфология пористого текстиля с открытым межволоконным пространством сохраняется, что видно на изображении общего плана (рис. 3в). При большем увеличении видно, что поверхность волокон Т-ППи становится монолитной (без продольного рисунка), и теряет гладкость. Это результат покрытия волокон текстиля сплошным слоем полипиррола. Слой сформирован в ходе гетерофазного синтеза полимера и прочно связан с волокном. На его поверхности наблюдаются также редкие островковые образования полипиррола. После высаживания на композиционный текстиль магнетита (рис. 3д, 3е) общий вид материала не меняется. Межволоконные пространства по-прежнему не засорены, а индивидуальные волокна покрыты слоем полипиррола, на котором видны островковые образования.
Удельная площадь поверхности
По данным БЕТ-анализа удельная площадь поверхности исходного текстиля составляет 16.9 м2/г, что соответствует расчётам с учетом плотности упаковки протяженных волокон и их диаметра. После нанесения полипиррола удельная площадь поверхности образцов увеличивается до 22.8 м2/г. Это связано с покрытием волокон слоем полипиррола, имеющим пористую и проницаемую для жидкостей и газов структуру (рис. 3г). После высаживания магнетита путем обработки материала щелочью происходит дедопирование полипиррола, сопровождающееся удалением из полимерной матрицы молекул допирующей кислоты и воды. При этом плотность полипиррола значительно возрастает, а проницаемость слоя падает [24]. В результате увеличения диаметра волокон Т-ППи-Fe3O4 за счет плотного слоя полипиррола и иммобилизованных частиц Fe3O4 удельная поверхность композиционного текстиля снижается до 9.8 м2/г
Состав композиционного текстиля
Количественный состав композиционного текстиля определен весовым методом по приросту массы материала после высаживания полипиррола и после нанесения на Т-ППи частиц магнетита. Содержание электропроводящего полимера в составе композиционного текстиля 10 ± 1 мас. %, а содержание магнетита 6 ± 2 мас. %.
Среди оксидов железа магнетит обладает наиболее выраженными магнитными свойствами, биосовместим и отличается высокой стабильностью. По этой причине планировалось получить именно такой тип смешанного окисла железа [39, 45]. Экспериментальным подтверждением образования магнетита служат данные рентгенофазового анализа. Рентгенограмма Т-ППи-Fe3O4 содержит набор пиков, которые полностью совпадают с пиками эталона магнетита, а в малоугловой области дифрактограммы присутствует аморфное галло, характерное для полипиррола (рис. 4).
Рис. 4. Данные рентгеноструктурного анализа композиционного текстиля Т-ППи-Fe3O4 в сравнении с эталонным образцом магнетита
На рис. 5 приведены данные о качественном элементном составе композиционного текстиля Т-ППи-Fe3O4, которые получены методом энергодисперсионного анализа (energy dispersive X-ray analysis). Видно, что в композиционном материале присутствует весь набор элементов, соответствующий составляющим его компонентам: это исходный текстиль (C, O), допированный полипирролом (C, N, S, Cl), и магнетит (Fe, O).
Рис. 5. Энергодисперсионный анализ. Элементный состав Т-ППи-Fe3O4
Элементный анализ подкреплен картированием обнаруженных элементов. На рис. 6 и 7 представлены поэлементные карты исследованных образцов исходной ткани и Т-ППи-Fe3O4. Распределение по элементам в них равномерное, кроме железа, что свидетельствует о кластеризации магнетита в отдельные частицы, прикрепленные к волокнам материала. Это также можно наблюдать и на микрофотографиях электронной микроскопии (рис. 3д, 3е).
Рис. 6. Элементные карты исходного текстиля
Рис. 7. Элементные карты материала Т-ППи-Fe3O4
Результаты исследования состава и морфологии композиционного текстиля показывают, что его волокна представляют собой трехслойную структуру нитей смесевого текстиля, капсулированных слоем полипиррола с нанесенными поверх полипиррола частицами магнетита.
Магнитные характеристики
Для образца Т-ППи-Fe3O4, зависимость намагниченности от напряженности магнитного поля (рис. 8) демонстрирует резкое увеличение намагниченности до значений поля 1500 Э с последующим выходом кривой на насыщение. При ближайшем рассмотрении кривой (рис. 8б) можно заметить очень небольшую петлю гистерезиса.
Рис. 8. Зависимость намагниченности от напряженности магнитного поля (а) и центральная часть зависимости для образца Т-ППи-Fe3O4 (б)
Практически полное отсутствие петли гистерезиса характерно для материала, состоящего из суперпарамагнитных частиц оксида железа. Низкое значение остаточной намагниченности (0.6 emu) и коэрцитивной силы (70 Э) свидетельствует о получении практически монодисперсных однодоменных частиц магнетита размером не более 30 нм [46] с малым количеством частиц магнетита большего размера.
Механические свойства
Результаты исследования механическими свойств композиционного текстиля в сопоставлении со свойствами исходной ткани, приведены в табл. 1. Данные о прочности в режиме продольного растяжения и упруго-деформационные свойства, определяли по относительному удлинению. В результате нанесения полипиррола на поверхность волокон исходного текстиля и высаживания частиц магнетита механические свойства композиционного текстиля практически не изменились. Вариации прочностных и деформационных свойств находятся в пределах погрешности измерений.
Таблица 1. Механические характеристики текстиля: прочность в режиме продольного растяжения и упруго-деформационные свойства, определяемые по относительному удлинению
Образец | Прочность, МПа | Модуль Юнга, МПа | Деформация при растяжении, % |
Т | 1.08 ± 0.31 | 14.32 ± 3.18 | 24.60 ± 6.19 |
Т-ППи | 1.35 ± 0.06 | 14.24 ± 0.89 | 31.42 ± 11.72 |
Т-ППи-Fe3O4 | 1.91 ± 0.14 | 18.16 ± 1.51 | 30.01 ± 3.86 |
Нетканая матрица состоит из хаотически уложенных волокон, которые связаны только силами физического зацепления. Прочность таких материалов меньше прочности индивидуального волокна и зависит от толщины слоя и спутанности волокон. Результаты измерений определялись как среднеарифметическое на основании измерения не менее 20 образцов материала. Высокая погрешность измерений связана с различием плотности и толщины нетканой матрицы на разных участках волокнистого мата.
Электропроводность и электрохимические характеристики
Удельное сопротивление окисленной электропроводящей формы полипиррола в виде порошка, спрессованного в таблетку, составляет 0.1 ± 0.02 Ом см–1. В составе композиционного текстиля присутствует не более 10% веса полипиррола. Объемная фракция полипиррола еще меньше, поскольку плотность исходного текстиля чуть менее 1 г см–3, а плотность полипиррола – 1.3 г см–3. Тем не менее перколляционный порог проводимости успешно преодолен за счет структуры волокон композиционного текстиля, где полипиррол в виде тонкого протяженного слоя локализован на поверхности волокон Т.
В табл. 2 представлены данные по электросопротивлению композиционного текстиля. Измерения проведены на сухой однослойной ткани толщиной 2 ± 0.2 мм. Сопротивление исходного текстиля выше 600 МОм, при нанесении электропроводящей формы полипиррола оно снижается на пять–шесть порядков (табл. 2). Нанесение частиц магнетита приводит к частичному дедопированию полипиррола [47] и повышению сопротивления текстиля на полтора порядка. Погрешность измерения сопротивления тканей велика и достигает 30%, что связано с неоднородностью самого нетканого полотна, толщина которого значительно различается от точки к точке. Неравномерность покрытия волокон слоем полипиррола дает меньшую погрешность.
Таблица 2. Электрическое сопротивление исходного и композиционного текстиля при толщине слоя 2 ± 0.2 мм
Образец | Поверхностное сопротивление, Ом | Объемное сопротивление, Ом |
Т | > 6 000 000 | > 6 000 000 |
Т-ППи | 23 ± 4 | 18 ± 4 |
Т-ППи-Fe3O4 | 810 ± 250 | 850 ± 230 |
Вольт-амперные характеристики Т-ППи и Т-ППи-Fe3O4 исследованы как для сухого текстиля, так и для образцов, увлажненных физиологическим раствором (водным раствором 0.9% NaCl) (рис. 9). Сухие образцы демонстрируют линейную омическую зависимость тока от приложенного напряжения в диапазоне ±1.0 В. По наклону прямой видно, что электропроводность Т-ППи примерно на порядок превышает проводимость Т-ППи-Fe3O4, что согласуется с результатами табл. 2. При увлажнении образцов наблюдается, во-первых, значительное повышение плотности тока и, во-вторых, преобразование омических вольт-амперных зависимостей в циклические вольт-амперограммы, где ход анодных и катодных кривых не совпадает [48]. Последнее свидетельствует о наличии у материалов электрохимической емкости, значение которой прямо пропорционально площади, описываемой циклической вольт-амперной зависимостью. Грубая оценка электрохимической емкости образцов в ходе циклов заряд–разряд в двухэлектродной электрохимической ячейке с раствором NaCl показала, что для Т-ППи она составляет 5 Ф/г, а для Т-ППи-Fe3O4 15 Ф/г при плотности тока 10 мА/г.
Рис. 9. Вольт-амперные характеристики Т-ППи (а) и Т-ППи-Fe3O4 (б) в сухом состоянии (1) и в физиологическом растворе (0.9 мас. % NaCl) (2)
На рис. 10 приведены циклы перезарядки текстиля при наложении переменного напряжения в диапазоне ±1.0 В со сменой полярности каждые 60 с. Испытания показали, что для сухих образцов ток точно следует за изменением потенциала, и обратимая перезарядка может продолжаться часами. Для увлажненных образцов и катодная и анодная ветви имеют небольшой изгиб, что свидетельствует о наличии вклада окислительно-восстановительных процессов, и связано с циклами окисления–восстановления полипиррола. Со временем наблюдается некоторое снижение плотности тока, которая может объясняться нестабильностью ионных процессов.
Рис. 10. Временная зависимость тока при наложении на образцы Т-ППи (а) и Т-ППи-Fe3O4 (б) переменного напряжения в диапазоне ±1.0 В со сменой полярности каждые 60 с: а – в сухом состоянии, б – в растворе
Электропроводность композиционного текстиля обеспечивается за счет слоя электропроводящего полипиррола, покрывающего волокна текстиля и создающего перколяционную сеть во всем объеме образца. Носителями заряда в полипирроле служат положительные поляроны или дырки (holles), транспорт которых идет по системе полисопряжения, образованной полимерными цепями. Заряд полярона компенсирован подвижным анионом, поэтому электронный транспорт в образце сопровождается и транспортом ионов. В переносе заряда участвует только небольшая часть носителей, а основная их доля локализована. Сольватация поляронов растворителем и активация их подвижным анионом ведет к их делокализации и повышению электропроводности полипиррола. Под действием растворителей, приводящих к набуханию полипиррола и при увеличении ионной силы, электропроводность полимера растет [48]. В сухом образце ионный транспорт подавлен, наблюдается только безинерционный электронный ток, который точно следует за изменением потенциала. При увлажнении физиологическим раствором электропроводность образцов увеличивается более, чем на порядок. По изменению вольт-амперной зависимости видно, что в транспорте заряда принимают участие не только электроны, но и ионы. Исследование Т-ППи и Т-ППи-Fe3O4 в физиологическом растворе показывает, что материалы не только не теряют свои функциональные свойства при увлажнении, но даже усиливают их.
Взаимодействие с электромагнитным излучением
Исследование взаимодействия композиционного текстиля с электромагнитным излучением в диапазонах частот 3.9–5.65 ГГц и 5.65–8 ГГц проведены на образцах Т-ППи и Т-ППи-Fe3O4 разной толщины: 2, 4 и 6 мм. В качестве материала сравнения использован коммерческий пластинчатый материал на основе карбонильного железа диспергированного в полимерной матрице (ПЭВ-Л) (http://magneton.ru/docs/ datasheets/svch-radiopogloschayuschie/rpm.pdf). Он предназначен для экранирования электромагнитного излучения с целью защиты биологических объектов и радиоэлектронной аппаратуры от электромагнитного излучения, а также оборудования безэховых камер.
Частотная зависимость параметров прохождения электромагнитной волны сквозь образец (ST) (transmittance) и отражения волны от поверхности образца (SR) (reflection) для текстиля разной толщины в диапазонах частот 3.9–5.65 ГГц и 5.65–8 ГГц приведена на рис. 11. Видно, что проницаемость образцов для электромагнитного излучения закономерно снижается с увеличением толщины композиционного текстиля. Это свидетельствует о том, что с электромагнитным излучением взаимодействует весь объем образца даже при толщине текстиля 6 мм и существует резерв повышения его экранирующей способности за счет дальнейшего увеличения толщины. Нетканая матрица состоит из хаотически уложенных волокон, разделенных значительным свободным пространством. Благодаря свободному пространству улучшается согласование волнового сопротивления объема композиционного текстиля и свободного пространства вне образца. При этом электромагнитная волна способна взаимодействовать с большим объемом композиционного материала, вследствие чего с увеличением толщины общий показатель поглощения улучшается при незначительном росте отражающей способности материала.
Рис. 11. Частотная зависимость параметров ST (а, в) и SR (б, г) для диапазона 3.9–5.65 (а, б) и 5.65–8 ГГц (в, г). Толщина образцов 2 (1, 1’), 4 (2, 2’) и 6 мм (3, 3’). Сплошные линии – Т-ППи, штриховые – Т-ППи-Fe3O4
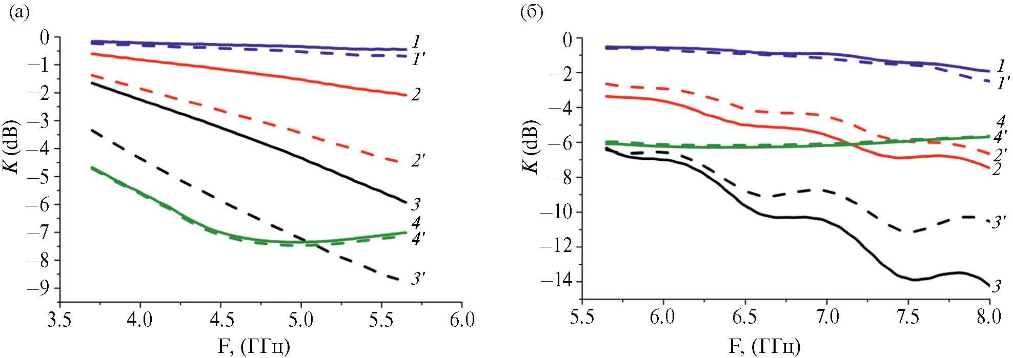
Для образцов Т-ППи-Fe3O4 с магнитной компонентой проницаемость ST ниже, а отражающая способность SR выше, чем для образцов Т-ППи той же толщины. Это указывает на то, что высаживание магнетита на поверхность Т-ППи смещает акцент взаимодействия образца с механизма поглощения электромагнитного излучения на механизм экранирования с увеличением вклада отражения.
На рис. 12 представлены параметры поглощения электромагнитного излучения K, реализуемого при двойном прохождении электромагнитной волной объема композиционного материала, для образцов Т-ППи и Т-ППи-Fe3O4 разной толщины. Для сравнения параметры К приведены для коммерческого радиопоглощающего материала ПЭВ-Л толщиной 4 и 6 мм.
Рис. 12. Частотная зависимость коэффициента поглощения K для образцов Т-ППи (1–3) и Т-ППи-Fe3O4 (1’–3’) в сравнении с параметрами ПЭВ-Л (4, 4’) в диапазонах частот 3.9–5.65 (а) и 5.65–8 ГГц (б). Толщина образцов 2 (1, 1’), 4 (2, 2’, 4) и 6 мм (3, 3’, 4’)
Видно, что для образцов Т-ППи и Т-ППи-Fe3O4 во всем диапазоне частот коэффициент К непрерывно растет с увеличением толщины образцов. В то же время эффективность ПЭВ-Л лимитирована толщиной 4 мм, дальнейшее повышение К с ростом толщины невозможно из-за полного отражения электромагнитной волны образцом. Следует отметить, что в диапазоне частот 3.90–5.65 преобладает экранирующий эффект образцов Т-ППи, имеющих больший вклад поглощения электромагнитного излучения, в то время как в диапазоне 5.65–8 ГГц по параметрам экранирования лидирует образец Т-ППи-Fe3O4 толщиной 6 мм, имеющий больший вклад отражения. На основе полученных данных можно говорить о высоком уровне экранирования электромагнитного излучения композиционным текстилем. Практически во всем диапазоне исследуемых частот коэффициент К образцов толщиной 6 мм превышает параметры коммерческих образцов ПЭВ-Л толщиной 4 и 6 мм. Необходимо учесть также, что плотность композиционного текстиля (1.2 г/см3) в 3 раза ниже плотности ПЭВ-Л (4 г/см3). К тому же текстиль значительно превосходит ПЭВ-Л по комфорту за счет использования биосовместимых материалов и пористой, “дышащей”, т.е. проницаемой для жидкостей и газов структуре. В диапазоне часто 6–8 ГГц композиционный текстиль снижает мощность электромагнитного излучения более чем на 90% и имеет тенденцию к увеличению не только экранирующей, но и поглощающей способности при больших частотах. С учетом повышенной комфортности материала композиционный текстиль является перспективным для использования в сфере обеспечения защиты человека от негативного воздействия электромагнитного излучения.
ЗАКЛЮЧЕНИЕ
На базе нетканого коммерческого текстиля Т и электропроводящего полипиррола получен электропроводящий текстиль T-ППи, состоящий из волокон, покрытых оболочкой полипиррола. На основе T-ППи получен текстиль Т-ППи-Fe3O4, который в добавок к электропроводящим имеет магнитные свойства, приобретенные за счет частиц магнетита, нанесенных на оболочку полипиррола. И электропроводящая, и магнитная компоненты прочно связаны с поверхностью волокон ткани. По структуре, механическим свойствам и комфортности композиционный текстиль практически не отличается от исходного. Электрическое сопротивление T-ППи толщиной 2 ± 0.2 мм составляет 23 ± 4 Ом, а Т-ППи-Fe3O4 – 850 ± 230 Ом, что не менее, чем на пять–шесть порядков ниже сопротивления исходной ткани. При увлажнении водными электролитами электропроводность материалов возрастает на порядок. Наряду с электронной проводимостью материалы демонстрируют ионную проводимость и характеризуются электрохимической емкостью: T-ППи – 5 Ф/г, и Т-ППи-Fe3O4 – 15 Ф/г.
Намагниченность насыщения Т-ППи-Fe3O4 составляет 4 emu и достигается до значений поля 1500 Э. Материал проявляет суперпарамагнитные свойства со слабо выраженным ферромагнетизмом. Исследование взаимодействия композиционного текстиля с электромагнитным излучением показало, что в диапазоне частот 6–8 ГГц Т-ППи-Fe3O4 толщиной 6 мм снижает мощность электромагнитного излучения более чем на 90% и имеет тенденцию к увеличению экранирующей способности при больших частотах.
Благодаря использованию биосовместимых нетоксичных материалов низкой плотности и комфортной, “дышащей”, т.е. проницаемой для жидкостей и газов структуре, полученный композиционный текстиль может использоваться непосредственно на теле человека. При этом он не теряет функциональных свойств при контакте с выделяющимся потом и при погружении в воду. Предварительные исследования показали возможность многократного использования материала, хотя стирка текстиля в щелочных растворах нежелательна, его очистка возможна с помощью химической чистки. Приведенные в работе свойства текстиля позволяют прогнозировать возможность его использования не только для защиты человека от электромагнитного излучения, но и для создания мобильных нагревательных элементов и источников электропитания.
About the authors
И. Ю. Сапурина
Институт высокомолекулярных соединений Российской академии наук
Author for correspondence.
Email: sapurina@mail.ru
Russian Federation, Санкт-Петербург
М. А. Шишов
Институт высокомолекулярных соединений Российской академии наук
Email: sapurina@mail.ru
Russian Federation, Санкт-Петербург
А. Е. Щербаков
Санкт-Петербургский государственный электротехнический университет “ЛЭТИ” им. В.И. Ульянова (Ленина)
Email: sapurina@mail.ru
Russian Federation, Санкт-Петербург
Ю. М. Спивак
Санкт-Петербургский государственный электротехнический университет “ЛЭТИ” им. В.И. Ульянова (Ленина)
Email: sapurina@mail.ru
Russian Federation, Санкт-Петербург
А. А. Селютин
Санкт-Петербургский государственный университет
Email: sapurina@mail.ru
Russian Federation, Санкт-Петербург
References
- Chatterjee K., Tabor J. Ghosh T.K. // Electrically Conductive Coatings for Fiber-Based E-Textiles Fibers. 2019. V. 7. P. 51.
- Khundaqji H., Hing W., Furness J., Climstein M. // Scoping Review JMIR Mhealth Uhealth. 2020. V. 8(5). P. 18092.
- Coyle S., Diamond D. Encyclopedia of Materials: Science and Technology. Elsevier: N.-Y., 1–5. 2010.
- Mondal K. // Recent Advances in Soft E-Textiles Inventions. 2018. V. 3. P. 23.
- Singh K., Kumar J., Pandit P. // Recent Advancements in Wearable & Smart Textiles: An Overview, Materials Today: Proceedings. 2019. V. 16. P. 1518.
- Zahid M., Rathore H.A., Tayyab H., Rehan Z.A., Rashid I.A., Lodhi M., Zubair U., Shahid I. // Arabian Journal of Chemistry. 2022. V. 15. P. 103480.
- Wang Z., Wang W., Jiang Z., Yu D. // Applied Surface Science. 2017. V. 396. P. 208.
- Singha K., Kumar J., Pandit P. // Materials Today-Proc. 2019. V. 16. P. 1518.
- Mirabedini A., Lu Z., Mostafavian S. // J. Foroughi. Nanomaterials. 2021. V. 11. P. 3.
- Henn A.R., Cribb R.M. // Interference Technology Engineering Master (ITEM) Update. 1993. V. 15. P. 4.
- Ersoy M.S., Onder E. // Textile Research Journal. 2014. V. 84. P. 2103.
- Babaahmadi V., Montazer M., Gao W. // Carbon. 2017.
- Fajar M.N., Endarko E., Rubiyanto A., Nizam N.A., Malek N., Hadibarata T., Syafiddin A. // Biointerface A. Research in Applied Chemistry. 2020. V. 10. № 1. P. 4902.
- Stejskal J., Trchova M., Sapurina I. // J. Appl. Polym. Sci. 2005. V. 98. P. 2347.
- Skotheim T.A., Reynolds J.R. Handbook of Conducting Polymers. CRC Press, Boca Raton, 1320. 2007.
- Liu Y., Yin P., Chen J., Cui B., Zhang C., Wu F. // International Journal of Polymer Science. 2020. V. 16.
- Silva A.C., Cordoba T. // Front. Mater. 2019. V. 6. P. 98.
- Zare E.N., Makvandi P., Ashtari B., Rossi F., Motahari A., Perale G. // J. Med. Chem. 2016. V. 18.
- Sapurina I.Yu., Matrenichev V.V., Vlasova E.N., Shishov M.A., Ivan’kova Е.М., Dobrovolskaya I.P., Yudin V.E. Polymer Science, Ser B. 2020. V. 62. № 2. P. 116.
- Nekounam H., Gholizadeh S., Allahyari Z., Samadian H., Nazeri N., Ali Shokrgozar M. // Reza Faridi-Majidi. Materials Research Bulletin. 2021. V. 134. P. 111083.
- Lorca S., Santos F., Fernandez A.J. // Gadgets and Smart Textiles Polymers. 2020. V. 12. P. 2812.
- Sapurina I.Yu., Shishov M.A., Ivanova V.T. // Russ. Chem. Rev. 2020. V. 89. № 10. P. 1115.
- Conzuelo L.V., Arias-Pardilla J., Cauich-Rodriguez J.V., Smit M.A., Otero T.F. // Sensors. 2010. V. 10. P. 2638.
- She C., Li G., Zhang W., Xie G., Zhang Y., Li L., Cheng Y. // Sensors and Actuators A: Physical. 2021. V. 317. P. 112436.
- Li Y.-Q., Huang P., Zhu W.-B., Fu S.-Y., Hu N., Liao K. // Sci. Rep. 2017. V. 7. P. 45013.
- Harito C., Utari L., Putra B.R., Yuliarto B., Purwanto S., Zaidi S.Z.J., Bavykin D.V., Marken F., Walsh F.C. // Perspectives Journal of The Electrochemical Society. 2020. V. 167. P. 037566.
- Wang D., Zhou X., Song R., Wang Z., Fang C., Li N.,Huang Y. // International Journal of Biological Macromolecules. 2021. V. 181. P. 160.
- Yavuz O., Ram M.K., Aldissi M. // Nanotechnology. 2008. V. 9. P. 435.
- Liu Y., Yin P., Chen J., Cui B., Zhang C., Wu F. // International Journal of Polymer Science. 2020. V. 16.
- Shakir M.F., Rashid I.A., Tariq A., Nawab Y., Afzal A., Nabeel M., Hamid U. // Journal of Electronic Materials. 2020. V. 49(3). P. 1660.
- Chandrasekhar P., Naishadham K. // Synthetic Metals. 1999. V. 105. P. 115.
- N.E. Kazantseva. Sabu Tomas Polymer Composites Willey−VCH, Weinheim. P. 613. 2012.
- Babayan V., Kazantseva N.E., Sapurina I., Moučka R., Vilčakova J., Stejskal J. // Applied Surface Science. 2012. V. 258. P. 7707.
- Wu J., Zhou D., Too C.O., Wallace G.G. // Synthetic Metals. 2005. V. 155. № 3. P. 698.
- Kim H.K., Kim M.S., Chun S.Y., Park Y.H., Jeon B.S., Lee J.Y., Hong Y.K., Joo J., Kim S.H. // Mol. Cryst. Liq. Cryst. 2003. V. 405. P. 161.
- Radoičić M., Ćirić-Marjanović G., Miličević D., Suljovrujić E., Milošević M., Jakovljević J.K., Šaponjić Z. // Composite Interfaces. 2020.
- Geetha S., Kumar K., Meenakshi S., Vij ayan M.T., Trivedi D.C. // Сomposites science and technology. 2020. V. 70. № 6. P. 1017.
- Usman M., Byrne J.M., Chaudhary A., Orsetti S., Hanna K., Ruby C., Kappler A., Haderlein S.B. Chem. Rev. 2018. V. 118. P. 3251.
- Tokmeilova S., Maraeva E.V. // Overview of sorption analysis capabilities for meso- and microporouszeolites nanomaterials. Chimica Techno Acta. 2021. V. 8. № 3. P. 20218302.
- Gahlout P., Choudhary V. // Composites part b-engineering. 2019. V. 175. P. 107093.
- Blinova N., Sapurina I., Klimovič J., Stejskal J. // Polymer Degradation and Stability. 2005. V. 88. P. 428.
- Pang A.L., Arsad A., Ahmadipour M. Polym. Adv. Technol. 2020. P. 1.
- Niculescu A.-G., Chircov C., Grumezescu A.M. // Methods. 2022. V. 199. P. 1046.
- Svobodova H., Kosna´ D., Tanila H., Wagner A., Trnka M., Vitovicˇ P., Hlinkova J., Vavrinsky E., Ehrlich H., Pola´k S., Kopani M. // Biometals. 2020. V. 33. P. 1.
- Reichel V., Kovacs A., Kumari M. Sci. Rep. 2017. V. 7. P. 45484.
- Moucka R., Kazantseva N., Sapurina I. // J. Mater Sci. Electronic materials. 2017.
- Shishov M.A., Sapurina I.Yu., Smirnova N.V., Yudin V.E. Biointerface Research in Applied Chemistry. 2023. V. 13. № 1. P. 96.
Supplementary files















