Особенности дрейфа Стокса в прибрежной зоне северо восточного побережья Черного моря по результатам моделирования
- Авторы: Дивинский Б.В.1, Куклев С.Б.1, Очередник В.В.1, Куклева О.Н.1
-
Учреждения:
- Институт океанологии им. П.П. Ширшова РАН
- Выпуск: № 1 (2024)
- Страницы: 6-19
- Раздел: Статьи
- URL: https://journal-vniispk.ru/2413-5577/article/view/255720
- EDN: https://elibrary.ru/CAVUNO
- ID: 255720
Цитировать
Аннотация
Стоксов дрейф, генерируемый поверхностным волнением, влияет на множество физических процессов, проистекающих в береговой зоне моря, в том числе на перенос тепла и соли, а также транспорт загрязняющих веществ. Учет параметров морских течений, вызываемых дрейфом Стокса, важен для более корректного описания общей гидродинамической структуры прибрежных вод. Кроме того, морские течения, генерируемые поверхностным волнением, могут вносить существенный вклад в процессы накопления и перераспределения загрязняющих веществ в прибрежной зоне моря. Представлены результаты исследований стоксова дрейфа на северо-восточном шельфе Черного моря в районе г. Геленджика за отрезок времени с 2003 по 2022 г. Выявлены сезонные и межгодовые особенности изменчивости скоростей и направлений течений Стокса. Показано, что с декабря по апрель, за исключением февраля, стоксов перенос обладает сопоставимыми повторяемостями по направлениям к берегу, от берега и на северо-запад. В феврале основной поток стремится в открытое море. В мае и июне значительно увеличивается повторяемость течений в сторону береговой линии, при этом в начале лета растет доля потоков, направленных на юго-восток. В июле течения с направлением на юго-восток и от берега становятся почти одинаковыми по повторяемости. С августа по ноябрь вырастает доля течений, направленных от берега, при постепенном уменьшении повторяемости потоков на юго-восток. В многолетнем выражении преобладает поток, направленный от берега в открытое море (повторяемость 34.3 %). Этот же поток обладает и наибольшей средней скоростью (0.053 м/с). Повторяемости вдольбереговых потоков, направленных на юго-восток и северо-запад, почти одинаковы, но при этом течения на северо-запад гораздо интенсивнее.
Полный текст
Введение
Следствием незамкнутости волновых орбитальных траекторий является дополнительный результирующий поток жидкости в верхних нескольких метрах водной толщи (с наибольшим значением на поверхности), соответствующий генеральному направлению распространения волн. Это явление впервые описано английским ученым Д. Стоксом 1 и впоследствии получило его имя.
Стоксов дрейф оказывает непосредственное влияние на множество физических процессов, проистекающих в береговой зоне моря [1–4]. В работе [5] показано, что траектории движения поверхностных дрифтеров в условиях развитого волнения со значительными высотами волн, превышающими 1 м, определяются именно дрейфом Стокса и только при сравнительно небольших высотах (менее 0.6 м) – местным ветром и основными течениями. Совместно с ветровыми течениями, градиентами плотности, приливами стоксов дрейф вносит существенный вклад в перенос тепла и соли, транспорт загрязняющих веществ, включая микро- и макропластик, а также нефтяных пятен [6–8]. Учет стоксова дрейфа позволяет значительно улучшить численные модели распространения пассивных примесей [9], что способствует лучшему пониманию экологических последствий хозяйственной деятельности человека.
Скорости течений, вызываемых стоксовым переносом, могут достигать 2 % от скорости локального ветра [8], а вклад стоксова переноса в общий поток, вызванный ветровой нагрузкой, может составлять до 40 % [10]. Параметры стоксова дрейфа существенно зависят также от сезона и географических особенностей морской акватории [11]. Отметим также, что, по данным работы [12], на акватории Балтийского моря течения, вызванные переносом Стокса, обладают средними скоростями 0.08–0.10 м/с и максимальными ~ 0.6 м/с.
Таким образом, стоксов дрейф может существенно влиять как на гидродинамический режим, так и экологическое состояние водоема.
Исходя из этого, основной целью настоящего исследования является анализ основных параметров стоксова дрейфа (скоростей и направлений), включая их сезонную и межгодовую изменчивость, за отрезок времени с 2003 по 2022 г. на северо-восточном шельфе Черного моря в районе г. Геленджика. Для условий Черного моря подобные оценки ранее не выполнялись. В качестве дополнения за тот же период исследованы сезонные и межгодовые закономерности распределений параметров ветрового волнения и приземного ветра.
Материалы и методы
В качестве инструментов исследований выступают современная спектральная волновая модель Датского гидравлического института DHI MIKE SW и база данных глобального реанализа ERA5, предоставляемая Европейским центром среднесрочных прогнозов ECMWF.
В модели DHI MIKE SW учитываются основные физические механизмы трансформации волнового поля, включая зарождение волн под воздействием приземного ветра, нелинейные трех- и четырехволновые взаимодействия, диссипацию энергии волн в результате донного трения и обрушения, а также явления дифракции и рефракции [13]. При расчете волновых полей Черного моря используется нестационарная полностью спектральная модель. Спектральные частоты заключены в диапазон волновых периодов от 1.6 до 16.5 с. Разрешение модели по направлениям распространения волн составляет 15°. Модель настроена на разделение волнового поля на две компоненты (чисто ветровое волнение и зыбь) и верифицирована на основе многочисленных натурных экспериментов и спутниковых данных [14].
Расчетная сетка со сгущением в прибрежной зоне покрывает акваторию Черного и Азовского морей и состоит из 20 000 расчетных элементов (рис. 1). Расчетная точка, указанная на врезке к рис. 1, расположена в 4 км мористее г. Геленджика на глубине 40 м.
В результате проведенного моделирования получен массив данных, состоящий из основных параметров чисто ветрового волнения и зыби, охватывающий период в 20 лет (с 2003 по 2022 г.). Массив включает в себя значительные высоты ветровых волн и зыби, а также направления их распространения. Временно́й шаг – 1 ч.
Из массива глобального атмосферного реанализа ERA5 за тот же срок и с аналогичным шагом по времени извлечены меридиональная и зональная компоненты скоростей приземного ветра и стоксова дрейфа. Последний вычисляется на основе анализа двумерных энергетических спектров волнения [15].
Таким образом, в дальнейшем исследуются особенности изменчивости следующих параметров:
- значительных высот, а также направлений распространения ветровых волн и зыби;
- направления и скорости ветра;
- направления и скорости стоксова дрейфа на поверхности моря.
Рис. 1. Расчетная сетка Черного и Азовского морей. На врезке показано положение расчетной точки в районе г. Геленджика
Fig. 1. Calculation grid of the Black Sea and the Sea of Azov. The inset shows the position of the calculation point near Gelendzhik
Результаты и обсуждение
Сезонные особенности распределения значительных высот ветровых волн, зыби, а также скоростей ветра представлены соответственно на рис. 2–4.
Как следует из рис. 2, с конца осени и до середины весны доминируют ветровые волны морских румбов (с юго-востока по северо-запад). Исключение составляют ноябрь и февраль с их сильными штормами северо-восточных направлений. В мае, июне и июле преобладают ветровые волны западных и северо-западных направлений. С августа по октябрь значительно усиливается волнение с северо-востока. При этом в августе и сентябре штормы со стороны открытого моря мало обеспечены.
На относительно узком шельфе с почти параллельными изобатами в районе г. Геленджика (см. рис. 1 на врезке) длинные волны зыби испытывают значительную рефракцию с перестройкой волнового фронта по нормали к берегу. В результате для всех сезонов характерно абсолютное преобладание волн зыби юго-западных и западо-юго-западных направлений (рис. 3).
В декабре, январе и марте (рис. 4) рассматриваемый регион находится под воздействием приземного ветра всех направлений, за исключением юго-восточных румбов. В феврале резко увеличивается вклад северо-восточного ветра. В апреле – мае выделяются два основных направления ветра: юго-западное и северо-восточное. С июня по сентябрь преобладают слабые ветры северных секторов, в основном северо-восточного направления. В октябре и ноябре северо-восточные ветры становятся определяющими.
На рис. 5 приведены обобщающие розы ветрового волнения, зыби и ветра, построенные за 20 лет с 2003 по 2022 г.
Рис. 2. Месячные розы ветрового волнения в районе г. Геленджика
Fig. 2. Monthly wind wave roses near Gelendzhik
Рис. 3. Месячные розы волн зыби в районе г. Геленджика
Fig. 3. Monthly swell wave roses near Gelendzhik
Рис. 4. Месячные розы приземного ветра в районе г. Геленджика
Fig. 4. Monthly surface wind roses near Gelendzhik
Рис. 5. Климатические розы ветрового волнения (a), зыби (b), приземного ветра (c)
Fig. 5. Climatic roses: for wind waves (a), for swell waves (b), for the surface wind (c)
Как следует из рис. 5, наибольшей повторяемостью обладают ветровые волны западо-юго-западных и северо-восточных направлений, при этом наиболее сильное волнение развивается в секторе юго-юго-восток – запад. Как и во все сезоны по отдельности, в межгодовом смысле доминирует зыбь западо-юго-западных и юго-западных румбов. Преобладающий ветер – северо-восточных направлений, ветер наименьшей повторяемости – юго-восточных румбов.
На рис. 6 отображены так называемые ящики с усами, дающие наглядное графическое представление о некоторых статистических характеристиках (среднее распределение, 1-й и 3-й квартиль (или 25-й и 75-й перцентиль), 10‑й и 90-й перцентиль) значений высот волн и скоростей ветра отдельно по месяцам и в целом за год.
Рис. 6. Статистические характеристики распределений значительных высот ветрового волнения (a), значительных высот зыби (b), скоростей приземного ветра (c)
Fig. 6. Statistical characteristics of the distributions of: significant wind wave heights (a), significant swell waves heights (b), surface wind speeds (c)
Данные (рис. 6) показывают, что для распределений высот волн характерна сильная внутрисезонная изменчивость. Наиболее сильное ветровое волнение отмечается в зимние месяцы со средними высотами волн ~ 0.7 м, наиболее слабое – в летние (hs,wind sea ~ 0.3 м). Аналогичная картина наблюдается и для зыби со средними высотами, несколько превышающими 0.6 м зимой и 0.2 м – летом. Наиболее спокойный месяц – август. У скоростей ветра различия между сезонами выражены не столь очевидно, как у параметров волнения. Зимой, а также в начале весны и в конце осени средние скорости ветра составляют ~ 7 м/с, летом – 5 м/с. Наиболее слабый ветер наблюдается в мае.
Сезонные особенности скоростей и направлений стоксова дрейфа представлены на рис. 7. Отметим, что, в соответствии с устоявшимися в океанографии традициями, направление течений Стокса определяется относительно стороны света, куда они направлены (направления волн и ветра – откуда). Для удобства рассмотрения и с учетом генеральной ориентации береговой линии, повторяемости стоксова дрейфа рассчитаны для четырех 90° секторов, условно определяющих следующие направления течений: к берегу, вдоль берега на юго-восток, от берега, вдоль берега на северо-запад.
Как следует из рис. 7, поверхностные течения, обусловленные ветровым волнением, сформированным как крупномасштабными процессами на всей акватории Черного моря, так и местным ветром, имеют хорошо выраженные сезонные отличия. С декабря по апрель, за исключением февраля, стоксов перенос обладает сопоставимыми повторяемостями по направлениям к берегу, от берега и на северо-запад. В феврале под воздействием сильных северо-восточных ветров основной поток стремится в открытое море. В мае и июне значительно увеличивается повторяемость течений в сторону береговой линии, при этом в начале лета растет доля потоков с направлением на юго-восток. В июле течения, направленные на юго-восток и от берега, становятся почти одинаковыми по повторяемостям. С августа по ноябрь вырастает доля течений, направленных от берега, при постепенном уменьшении повторяемости потоков на юго-восток.
Обобщенная картина морских течений, вызванных стоксовым переносом, представлена на рис. 8.
Как следует из рис. 8, многолетние повторяемости течений Стокса по направлениям составляют: к берегу – 27.4 %, на юго-восток – 20.9 %, от берега – 34.3 %, на северо-запад – 17.4 %. В целом, таким образом, преобладает поток, направленный в открытое море. Повторяемости вдольбереговых потоков, направленных на юго-восток и северо-запад, почти одинаковы.
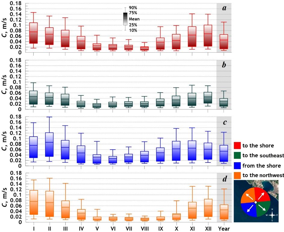
Статистические характеристики скоростей потоков обнаруживают и внутрисезонные различия (рис. 9). Течения, направленные к берегу, самые сильные в декабре – январе (средние скорости ~ 0.07 м/с), от берега – зимой и осенью, особенно в феврале (более 0.08 м/с), на северо-запад – с ноября по февраль. Самые слабые течения – на юго-восток со средними значениями, составляющими в зимний период 0.04 м/с. В августе крайне незначителен перенос (средние скорости меньше 0.02 м/с) к берегу и на северо-запад, в мае – на юго-восток, в июле – в сторону моря. В целом течения в сторону моря обладают наибольшими среднегодовыми значениями скорости (почти 0.06 м/с). Далее следуют течения к берегу и на северо-запад (~ 0.05 м/с) и вдольбереговые течения на юго-восток (~ 0.03 м/с).
Рис. 7. Месячные розы стоксова дрейфа в районе г. Геленджика
Fig. 7. Monthly roses of the Stokes drift near Gelendzhik
Межгодовая изменчивость скоростей стоксова дрейфа представлена на рис. 10. Данные показывают, что, несмотря на доминирование потоков, направленных в море, в отдельные годы (в 2004 и 2021 гг., например) могут превалировать течения в сторону берега. Среднегодовые повторяемости стоксова дрейфа по 90° секторам находятся в пределах: к берегу – 23.4–34.7 %, на юго-восток – 16.1–25.5 %, от берега – 24.8–44.1 %, на северо-запад – 12.6–23.3 %. Среднегодовые скорости течений варьируются следующим образом: к берегу – 0.037–0.054 м/с, на юго-восток – 0.025–0.035 м/с, от берега – 0.039–0.061 м/с, на северо-запад – 0.033–0.059 м/с. Максимальные скорости на порядок превосходят средние значения. Внутригодовые максимальные скорости также колеблются в довольно широких пределах: к берегу – 0.18–0.34 м/с, на юго-восток – 0.12–0.22 м/с, от берега – 0.19–0.42 м/с, на северо-запад – 0.20–0.34 м/с. Максимальная скорость дрейфа Стокса, составившая 0.42 м/с, наблюдалась в 2012 г. при течениях в сторону открытого моря.
Рис. 8. Розы течений, обусловленных дрейфом Стокса
Fig. 8. Roses of currents caused by the Stokes drift
Рис. 9. Статистические характеристики распределений скоростей стоксова дрейфа по секторам распространения: a – к берегу; b – на юго-восток; c – от берега; d – на северо-запад
Fig. 9. Statistical characteristics of Stokes drift velocities by distribution sectors: a – towards the coast; b – to the southeast; c – away from the coast; d – towards the northwest
Рис. 10. Повторяемость (a), средняя (b) и максимальная (c) скорость стоксова дрейфа по секторам распространения
Fig. 10. Repeatability (a), mean (b) and maximum (c) Stokes drift velocities by distribution sectors
Заключение
В ходе проведенной работы выполнен анализ основных параметров стоксова дрейфа (скоростей и направлений) за продолжительный отрезок времени с 2003 по 2022 гг. на северо-восточном шельфе Черного моря в районе г. Геленджика, а также исследованы сезонные и межгодовые закономерности распределений параметров ветрового волнения и приземного ветра.
Основные результаты.
Ветровые волны. С конца осени и до середины весны доминируют ветровые волны морских румбов (с юго-востока по северо-запад). Некоторое исключение составляют ноябрь и февраль с их сильными штормами северо-восточных направлений. В мае, июне и июле преобладают ветровые волны западных и северо-западных направлений. С августа по октябрь значительно усиливается волнение с северо-востока. При этом в августе и сентябре штормы со стороны открытого моря мало обеспечены. Наиболее сильное ветровое волнение наблюдается в зимние месяцы со средними высотами ~ 0.7 м, наиболее слабое – в летние (0.3 м).
Зыбь. Для всех сезонов характерно абсолютное преобладание волн зыби юго-западных и западно-юго-западных направлений. Средние высоты зыби несколько превышают 0.6 м зимой и 0.2 м летом.
Ветер. В декабре, январе и марте рассматриваемый регион находится под воздействием приземного ветра всех направлений, за исключением юго-восточных румбов. В феврале резко увеличивается доля северо-восточного ветра. В апреле – мае выделяются два основных направления ветра: юго-западное и северо-восточное. С июня по сентябрь преобладают слабые ветры северных секторов, в основном северо-восточного направления. В октябре и ноябре северо-восточные ветры становятся определяющими. Зимой, а также в начале весны и в конце осени средние скорости ветра составляют ~ 7 м/с, летом – 5 м/с. Наиболее слабый ветер наблюдается в мае.
Стоксов дрейф. С декабря по апрель, за исключением февраля, стоксов перенос обладает сопоставимыми повторяемостями по направлениям к берегу, от берега и на северо-запад. В феврале основной поток стремится в открытое море. В мае и июне значительно увеличивается повторяемость течений в сторону береговой линии, при этом в начале лета растет доля потоков на юго-восток. В июле течения, направленные на юго-восток и от берега, становятся почти одинаковыми по повторяемости. С августа по ноябрь вырастает доля течений, направленных от берега, при постепенном уменьшении повторяемости потоков на юго-восток.
Межгодовые характеристики течений Стокса сведены в таблице.
В многолетнем выражении преобладает поток, направленный от берега в открытое море. Этот же поток обладает и наибольшей средней скоростью. Повторяемости вдольбереговых потоков, направленных на юго-восток и северо-запад, почти одинаковы, но при этом течения на северо-запад гораздо интенсивнее.
Многолетние характеристики стоксова дрейфа по направлениям распространения
Long-term characteristics of the Stokes drift by wave directions
Направление | Повторяемость, % / | Средняя | Средняя |
К берегу / | 27.4 | 0.046 | 0.27 |
На юго-восток / | 20.9 | 0.030 | 0.17 |
От берега / | 34.3 | 0.053 | 0.28 |
На северо-запад / | 17.4 | 0.045 | 0.26 |
Отметим, что стоксов дрейф является только частью сложной гидродинамической картины, свойственной прибрежным водам. Как установлено А. Исобэ с соавторами на основе экспериментальных наблюдений и численного моделирования, крупный пластик под воздействием переноса Стокса большей частью перемещается и накапливается в береговой зоне моря, перерабатывается в более мелкие формы (микропластик) и выносится в дальнейшем в открытое море. Таким образом, можем заключить, что морские течения, генерируемые поверхностным волнением, вносят существенный вклад в процессы накопления и перераспределения загрязняющих веществ в шельфовой зоне моря и во многом определяют экологическое состояние прибрежных вод.
Последнее замечание. В поле групп волн на поверхности океана могут генерироваться средние течения, отличные в чистом виде от стоксова дрейфа, индуцируемого непосредственно волнами. Естественно, это влечет за собой определенные ошибки в оценках значений стоксова переноса. Тем не менее полагаем, что указанные неточности носят, скажем так, характер систематической ошибки и не сильно влияют на климатические особенности вариаций стоксова дрейфа.
1 Stokes G. G. On the numerical calculation of a class of definite integrals and infinite series // Transactions of the Cambridge Philosophical Society. Cambridge, 1847. Vol. IX, part 1. P. 166–187.
Об авторах
Борис Васильевич Дивинский
Институт океанологии им. П.П. Ширшова РАН
Email: divin@ocean.ru
ORCID iD: 0000-0002-2452-1922
SPIN-код: 2017-8359
ResearcherId: C-7262-2014
ведущий научный сотрудник, лаборатория геологии и литодинамики, кандидат географических наук
Россия, 117997, Россия, г. Москва, Нахимовский пр., д. 36Сергей Борисович Куклев
Институт океанологии им. П.П. Ширшова РАН
Email: kuklev@ocean.ru
ORCID iD: 0000-0003-4494-9878
SPIN-код: 7717-9703
ResearcherId: G-5656-2017
заведующий лабораторией гидрофизики и моделирования, кандидат географических наук
Россия, 117997, Россия, г. Москва, Нахимовский пр., д. 36Владимир Владимирович Очередник
Институт океанологии им. П.П. Ширшова РАН
Email: poekperementarium@gmail.com
ORCID iD: 0000-0002-3593-7114
SPIN-код: 6522-7608
ResearcherId: G-2850-201
научный сотрудник, лаборатория гидрофизики и моделирования
Россия, 117997, Россия, г. Москва, Нахимовский пр., д. 36Ольга Николаевна Куклева
Институт океанологии им. П.П. Ширшова РАН
Автор, ответственный за переписку.
Email: kukleva-ola@mail.ru
ResearcherId: J-7126-2018
научный сотрудник, лаборатория гидрофизики и моделирования
Россия, 117997, Россия, г. Москва, Нахимовский пр., д. 36Список литературы
- Clarke A., Van Gorder S. The relationship of near-surface flow, Stokes drift and the wind stress // Journal of Geophysical Research: Oceans. 2018. Vol. 123, iss. 7. P. 4680–4692. https://doi.org/10.1029/2018JC014102
- Observations and a model of undertow over the inner continental shelf / S. Lentz [et al.] // Journal of Physical Oceanography. 2008. Vol. 38, iss. 11. P. 2341–2357. https://doi.org/10.1175/2008JPO3986.1
- Lentz S., Fewings M. The wind- and wave-driven inner-shelf circulation // Annual Review of Marine Science. 2012. Vol. 4. P. 317–343. https://doi.org/10.1146/annurev-marine-120709-142745
- Sullivan P., McWilliams J. Dynamics of winds and currents coupled to surface waves // Annual Review of Fluid Mechanics. 2010. Vol. 42. P. 19–42. https://doi.org/10.1146/annurev-fluid-121108-145541
- Effects of Eulerian current, Stokes drift and wind while simulating surface drifter trajectories in the Baltic Sea / O. Pärn [et al.] // Oceanologia. 2023. Vol. 65, iss. 3. P. 453–465. https://doi.org/10.1016/j.oceano.2023.02.001
- Selective transport of microplastics and mesoplastics by drifting in coastal waters / A. Isobe [et al.] // Marine Pollution Bulletin. 2014. Vol. 89, iss. 1–2. P. 324–330. https://doi.org/10.1016/j.marpolbul.2014.09.041
- Fate of microplastics and mesoplastics carried by surface currents and wind waves: A numerical model approach in the Sea of Japan / S. Iwasaki [et al.] // Marine Pollution Bulletin. 2017. Vol. 121, iss. 1–2. P. 85–96. http://dx.doi.org/10.1016/j.marpolbul.2017.05.057
- The influence of Stokes drift on oil spills: Sanchi oil spill case / Y. Yang [et al.] // Acta Oceanologica Sinica. 2021. Vol. 40, iss. 10. P. 30–37. https://doi.org/10.1007/s13131-021-1889-9
- Bosi S., Broström G., Roquet F. The Role of Stokes drift in the dispersal of North Atlantic surface marine debris // Frontiers in Marine Science. 2021. Vol. 8. 697430. http://dx.doi.org/10.3389/fmars.2021.697430
- McWilliams J., Restrepo J. The wave-driven ocean circulation // Journal of Physical Oceanography. 1999. Vol. 29, iss. 10. P. 2523–2540. http://dx.doi.org/ 10.1175/1520-0485(1999)029<2523:TWDOC>2.0.CO;2
- Маркова Н. В., Багаев А. В. Оценка скоростей глубоководных течений в Черном море по данным дрейфующих буев-профилемеров Argo // Морской гидрофизический журнал. 2016. № 3. С. 26–39. https://doi.org/10.22449/0233-7584-2016-3-26-39
- Surface Stokes drift in the Baltic Sea based on modelled wave spectra / L. Tuomi [et al.] // Ocean Dynamics. 2017. Vol. 68, iss. 1. P. 17–33. URL: https://link.springer.com/article/10.1007/s10236-017-1115-7 (date of access: 20.02.2024).
- A third-generation spectral wave model using an unstructured finite volume technique / O. R. Sørensen [et al.] // Coastal Engineering 2004 – Proceedings of the 29th International Conference. World Scientific, 2005. P. 894–906. https://doi.org/10.1142/9789812701916_0071
- Divinsky B. V., Kosyan R. D. Spatiotemporal variability of the Black Sea wave climate in the last 37 years // Continental Shelf Research. 2017. Vol. 136. P. 1–19. http://dx.doi.org/10.1016/j.csr.2017.01.008
- Breivik Ø., Christensen K. A Combined stokes drift profile under swell and wind sea // Journal of Physical Oceanography. 2020. Vol. 50, iss. 10. P. 2819–2833. https://doi.org/10.1175/JPO-D-20-0087.1
Дополнительные файлы















