Первичный скрининг ростостимулирующих свойств ризосферных микроорганизмов по отношению к семенам томата
- Авторы: Гальперина А.Р.1, Сопрунова О.Б.1, Пархоменко А.Н.1
-
Учреждения:
- ФГБОУ ВО «Астраханский государственный технический университет»
- Выпуск: № 5 (2024)
- Страницы: 37-41
- Раздел: Растениеводство и селекция
- URL: https://journal-vniispk.ru/2500-2082/article/view/268566
- DOI: https://doi.org/10.31857/S2500208224050083
- EDN: https://elibrary.ru/ztfkfl
- ID: 268566
Цитировать
Полный текст
Аннотация
Исследованы бактериальные изоляты, выделенные из ризосферы культурных и дикорастущих растений аридных экосистем Астраханской области, обладающие способностью к триптофаниндуцируемому синтезу индолил-3-уксусной кислоты, стимулированию прорастания семян томатов сортов Санька, Волгоградский, Космонавт Волков, Новичок. Семена инкубировали во влажных камерах, оценивали лабораторную всхожесть и морфометрические показатели проростков. Высокую всхожесть (90% и более) семян сорта Санька наблюдали при обработке суспензиями 12 изолятов, Волгоградский – 9, Космонавт Волков – 2, Новичок – 3. Суспензии изолятов 16/19 и 31/20 обеспечивают высокую всхожесть семян всех сортов: до 86,6 – 100 и 90 – 100% соответственно, 9/19 – существенно снижает ее у Волгоградского, Космонавта Волкова и Новичка на 66,6 – 56,7%. Отмечено, что суспензия изолята 16/19 помогает увеличивать биомассу у Саньки, Волгоградского и Космонавта Волкова до 273 – 449%, 31/20 обладает стимулирующим эффектом по отношению к морфометрическим показателям проростков всех сортов (увеличивает развитие корня на 73,3 – 183,3%, стебля – 46,8 – 100,5%). Суспензия изолята 9/19 ингибирует не только всхожесть семян, но и вызывает пониженное накопление биомассы проростков, угнетает развитие корней и стеблей сортов Волгоградский, Космонавт Волков и Новичок. Таким образом, изоляты 16/19 и 31/20 ризосферных бактерий оказывают стимулирующее действие как на всхожесть семян томатов, так и морфометрические параметры проростков.
Полный текст
Томат (Lycopersicon esculentum) – один из самых популярных овощей, имеет пищевую и экономическую ценность во всем мире. Благодаря вкусовым качествам и высокой биологической ценности плодов (наличие витаминов, микроэлементов, каротиноидов, в том числе ликопина) их потребление в мире увеличивается. [1, 11] Производство томатов, особенно в закрытом грунте, зависит от использования агрохимикатов (удобрения, пестициды). Наблюдается тенденция к росту получения натуральной органической экологически чистой продукции с заменой химических препаратов на микробные, стимулирующие прорастание семян, повышающие устойчивость растений к заболеваниям и неблагоприятным факторам окружающей среды. Подобные препараты чаще всего производят на основе PGPR-бактерий – микроорганизмов, помогающих развитию растений. [6, 9] Механизмы действия PGPR: растворение питательных веществ для облегчения их усвоения растениями, регулирование гормонального баланса, повышение устойчивости растений к патогенам. Кроме того, PGPR проявляет синергетическое и антагонистическое взаимодействие с другими микроорганизмами внутри ризосферы и за ее пределами в основной массе почвы, что косвенно увеличивает рост растений. [7]
Цель работы – изучить способность ризосферных микроорганизмов стимулировать прорастание семян томатов.
МАТЕРИАЛЫ И МЕТОДЫ
Объект исследования – 20 бактериальных изолятов, выделенных из ризосферы культурных и дикорастущих растений аридных экосистем Астраханской области в 2019-2020 годах, обладающих способностью к триптофаниндуцируемому синтезу индолил-3-уксусной кислоты (ИУК) и находящихся в коллекции кафедры «Прикладная биология и микробиология» ФГБОУ ВО «Астраханский государственный технический университет». [4]
Использовали сорта семян томата: Волгоградский, Санька (раннеспелые), Космонавт Волков, Новичок (среднеспелые). По районированию они различались: Волгоградский и Новичок рекомендованы для Центрального Черноземья и Нижнего Поволжья, Санька и Космонавт Волков – Центрального Черноземья.
Изучали способность исследуемых ризосферных микроорганизмов стимулировать прорастание семян томата методом инкубирования во влажных камерах. Семена перед закладыванием замачивали на сутки в стерильной водопроводной воде, далее стерилизовали в течение 5 мин. в 70%-м растворе этилового спирта, промывали стерильной водопроводной водой и замачивали 30 мин. в водной суспензии микроорганизмов с титром 106 КОЕ/мл. Контрольный вариант замачивали на 30 мин. в стерильной водопроводной воде. Проращивали семена (по 10 шт.) во влажных камерах в термостате при переменной температуре 20…30°C, повторность – четырехкратная. В эксперименте определяли параметры всхожести семян (лабораторная) и морфометрические показатели проростков (длина корня и стебля, их общая сырая биомасса). [2] Статистический анализ проводили с помощью пакета Statistica 6.1 (StatSoftInc., USA). Данные представляли в виде х ± SD. Для сравнения двух независимых выборок применяли t-критерий Стьюдента (при Р<0,05 различия считали достоверными, предварительно проверив данные на нормальность распределения).
РЕЗУЛЬТАТЫ И ОБСУЖДЕНИЕ
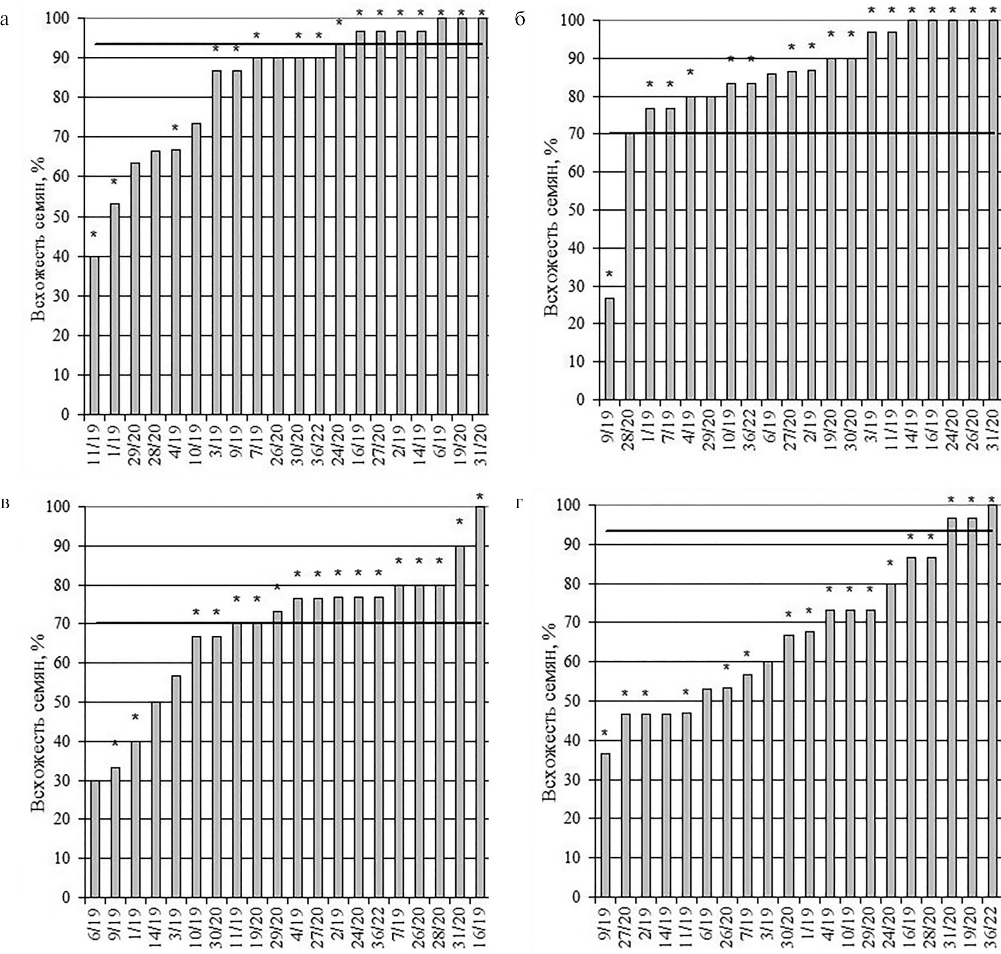
Показатель лабораторной всхожести характеризует посевные качества семян и свидетельствует об их способности прорастать за определенный срок при оптимальных условиях. Обработка семян водными суспензиями исследуемых микроорганизмов выявила их разнонаправленное действие (рис. 1). Лабораторная всхожесть семян томатов в контроле колебалась от средней – 70 (Волгоградский, Космонавт Волков) до высокой – 93,3% (Санька, Новичок).
Рис. 1. Лабораторная всхожесть семян томата: а – Санька, б – Волгоградский, в – Космонавт Волков, г – Новичок (x ± SD, n=3, * – значения, достоверно отличающиеся от контроля при р < 0,05, черная линия – контрольный вариант).
Высокая всхожесть (90% и более) семян сорта Санька отмечена при обработке суспензиями 12 изолятов (рис. 1а), Волгоградский – 9 (рис. 1б), Космонавт Волков –2 (рис. 1в), Новичок –3 изолятов (рис. 1г). Стимулирующее действие суспензиями изолятов более выражено для сортов ранней спелости, чем средней. Если сравнивать с контрольным вариантом, то у Волгоградского всхожесть стимулируют суспензиями 18 изолятов (максимальный показатель), у Новичка – 3 (минимальный).
Суспензия изолята 9/19 снижает всхожесть семян сортов Волгоградский, Космонавт Волков и Новичок на 56,7…66,6%, у сорта Санька ингибирующее действие практически не выражено. Суспензии изолятов 16/19 и 31/20 обеспечивали высокую всхожесть у семян всех сортов – до 86,6…100% и 90…100% соответственно.
В эксперименте, помимо лабораторной всхожести, оценивали и морфометрические показатели проростков томатов (длина корня и стебля, общая биомасса проростков), которые пересчитывали в процентном соотношении к контрольному варианту (их принимали за 100%). Ингибирующим признавалось воздействие изолята, вызывающее снижение показателя ниже 100%, стимулирующим – выше 100%.
Выявлено, что обработка семян суспензиями исследуемых изолятов положительно повлияла на морфометрические показатели проростков сорта Санька. Только суспензии 2 изолятов (24/20, 29/20) ингибировали развитие корня (на 38%). Снижение биомассы на 12,6…78,2% ниже, чем в контрольном варианте, наблюдали при действии суспензий изолятов 24/20, 29/20, 11/19, 27/20, 10/19, 6/19. Суспензия изолята 2/19 оказала максимальное стимулирующее действие на развитие корня (374,3%) и биомассу (255,3%), 30/20 – увеличение длины стебля на 300,2% (рис. 2а).
Рис. 2. Морфометрические показатели проростков: а – Санька, б – Волгоградский, в – Космонавт Волков, г – Новичок.
Действие суспензий изолятов на морфометрические показатели проростков сорта Волгоградский в целом положительное. Суспензии изолятов 9/19, 36/22, 1/19 снижают длину корня и стебля проростков на 6,7…53,2% и 15…40% соответственно; 28/20, 14/19, 7/19, 10/19 – только стебля на 15,1…55,1%. Понижение значений биомассы по отношению к контрольным было при воздействии суспензий изолятов 9/19, 14/19, 29/20, 7/19, 2/19. В наибольшей степени стимулирует развитие корня на 383,8% – 10/19; стебля (216,9) – 6/19; биомассы (157,5%) – 31/20 (рис. 2б).
Суспензии изолятов 14/19, 9/19, 6/19, 11/19, 29/20 снижают длину корня на 8…34%, остальные провоцируют его развитие. Рост стебля ингибировали суспензии изолятов 9/19, 6/19, 1/19, 10/19, 30/20, 11/19, 2/19, 7/19, 3/19 на 12,4…76,0%. Понижение общей биомассы проростков на 13,4…64,0% вызывали изоляты 14/19, 29/20, 10/19, 26/20, 30/20, 11/19, 2/19, 27/20, 3/19, 4/19. При этом стимулировали развитие корня суспензии 15 изолятов, стебля – 10, биомассы – 5. Из них максимальное действие (увеличение длины корня на 500%, стебля – 90,2, биомассы – 349,2%) оказывала 16/19 (рис. 2в).
В наименьшей степени суспензии 11/19, 6/19, 30/20, 27/20, 14/19 ингибировали развитие корня сорта Новичок (на 12…68%), стебля – 27…78%, биомассы – 26,3…66,0%, 26/20, 9/19, 2/19, 7/19 угнетали развитие стебля до 35%; 1/19 – корня до 11%. Снижение биомассы проростков ниже, чем в контроле на 12…80%, наблюдали при воздействии суспензий изолятов 1/19, 10/19, 26/20, 9/19, 4/19, 7/19. Максимальное стимулирующие влияние на развитие корня (440,5%) и биомассы (93,4%) оказывала суспензия 3/19 – увеличило длину стебля на 87,6%.
Выявлен изолят 9/19, который ингибирует не только всхожесть семян, но и вызывает пониженное накопление биомассы проростков, угнетает развитие корней и стеблей проростков сортов Волгоградский, Космонавт Волков и Новичок.
Определены изоляты, положительно воздействующие на всхожесть и развитие проростков: 16/19 – максимальное накопление биомассы у Саньки, Волгоградского и Космонавта Волкова до 273…449%, 31/20 – развитие корня на 73,3…183,3, стебля – 46,8…100,5%.
Выявлено, что изолят 9/19 способен синтезировать до 16,0 мкг/мл ИУК, 31/20 – 25,0, 16/19 – 9,0 мкг/ мл. [6] ИУК – один из наиболее важных растительных гормонов, напрямую влияющих на рост, деление клеток и образование корней, а также помогает увеличивать площадь поглощающей поверхности корня, что позволяет интенсифицировать питание растений. [8]
Обнаруженный в ходе эксперимента ингибирующий эффект суспензии изолята 9/19, при достаточном синтезе ИУК, согласуется с литературными данными Л.С. Церковняк и Teale et al., указывающими на то, что экзогенный ауксин способен проявлять как положительный, так и отрицательный эффект. [3, 12] Оптимальный диапазон концентраций ИУК для конкретного растения может быть чрезвычайно узким и сдвиг в любую сторону может привести к угнетению. [3, 12]
Стимулирующее действие микробных суспензий изолятов 16/19 и 31/20 на растения может быть обусловлено не только синтезом ИУК, но и других биологически активных соединений, улучшающих фосфорное питание растений, усвоение ионов железа, повышающих иммунитет к фитопатогенам. [5, 10]
Выводы. Таким образом, выявлены изоляты (16/19 и 31/20) ризосферных бактерий, оказывающие стимулирующее действие на всхожесть семян томатов (6,7…30%), а также морфометрические параметры проростков – увеличение длины корня до 286%, стебля – 204, биомассы – 294%. Полученные данные свидетельствуют о необходимости дальнейших исследований по видовой идентификации изолятов, изучения физиолого-биохимических свойств, в том числе по наличию синтеза БАВ, на возможность применения в качестве стимуляторов роста сельскохозяйственных растений.
Исследование выполнено при поддержке гранта Российского научного фонда № 23-26-00227 «Генетическая паспортизация ризосферных микроорганизмов аридных экосистем с биотехнологически значимыми свойствами» / The study was supported by the Russian Science Foundation grant No. 23-26-00227 “Genetic certification of rhizospheric microorganisms of arid ecosystems with biotechnologically significant properties”.
Об авторах
Алина Равильевна Гальперина
ФГБОУ ВО «Астраханский государственный технический университет»
Автор, ответственный за переписку.
Email: alina_r_s@rambler.ru
кандидат биологических наук, доцент
Россия, г. АстраханьОльга Борисовна Сопрунова
ФГБОУ ВО «Астраханский государственный технический университет»
Email: alina_r_s@rambler.ru
доктор биологических наук, профессор
Россия, г. АстраханьАнна Николаевна Пархоменко
ФГБОУ ВО «Астраханский государственный технический университет»
Email: alina_r_s@rambler.ru
кандидат биологических наук, доцент
Россия, г. АстраханьСписок литературы
- Ахмедова П.М. Оценка новых гибридов томата в защищенном грунте // Вестник российской сельскохозяйственной науки. 2021. №1. С. 37-41. https://doi.org/10.30850/vrsn/2021/1/37-41
- ГОСТ 12038-84. Семена сельскохозяйственных культур. Методы определения всхожести = Agriculturalseeds. Methods for determination of germination: издание официальное: утвержден и введен в действие Постановлением Государственного комитета СССР по стандартам от 19.12.84 № 4710: дата введения 1986-07-01. М.: Стандартинформ, 2011.
- Церковняк Л.С. Фосфатмобилизирующие бактерии Bacillus subtilis – продуценты соединений фенольной природы // Прикладная биохимия и микробиология. 2009. Т. 45. С. 311–317.
- Юсупова Д.М., Бареева А.Ш., Гальперина А.Р., Сопрунова О.Б. Изучение способности ризосферных микроорганизмов к продукции ИУК и влиянию на рост растений // Инновации и продовольственная безопасность. 2023. № 3. С. 83–90. https://doi.org/10.31677/2311-0651-2023-41-3-83-90
- Almaghabi O.A., Massoud S.I., Abdelmoneim T.S. Influence of inoculation with plant growth promoting rhizobacteria (PGPR) on tomato plant growth and nematode reproduction under greenhouse conditions // Saudi Journal of Biological Sciences. 2013. V. 20. № 1. P. 57–61. https://doi.org/10.1016/j.sjbs.2012.10.004
- Dutta, S., Podile, A.R., Plant growth promoting rhizobacteria (PGPR): the bugs to debug the root zone // Critical Reviews in Microbiology. 2010. Vol. 36. № 3. Р. 232–244. https://doi.org/10.3109/10408411003766806
- Gupta, G., Parihar, S.S., Ahiwar, N.K. et al. Plant growth promoting Rhizobacteria (PGPR): Current and Future Prospects for Development of Sustainable Agriculture // Journal of Microbial Biochemical Technology. 2015. Vol. 7. № 2. P. 96–102. https://doi.org/10.4172/1948-5948.1000188
- Hayat R., Ahmed I., Sheirdil R.A. An overview of plant growth promoting rhizobacteria (PGPR) for sustainable agriculture. In: M. Ashraf, M. Oztürk, M.S.A. Ahmad, and A. Aksoy (eds.) Crop production for agricultural improvement. Berlin: Springer, 2012. P. 557–579. https://doi.org/ 10.1016/B978-0-443-16030-1.00017-1.
- Moustaine M., Elkahkahi R., Bebbouazza A. et al. Effect of plant growth promoting rhizobacterial (PGPR) inoculation on growth in tomato (Solanum lycopersicum L.) and characterization for direct PGP abilities in Morocco. International Journal of Environment, Agriculture and Biotechnology. 2017. Vol. 2. № 2. P. 590–596. https://doi.org/10.22161/ijeab/2.2.5
- Perez-Rodriguez M.M., Mariela P., Victor L. Et al. Pseudomonas fluorescens and Azospirillum brasilense increase the yield and fruit quality of tomatoes under field conditions // Journal of Soil Science and Plant Nutrition. 2020. V. 20. № 4. P. 1614–1624. https://doi.org/10.1007/s42729-020-00233-x
- Ramavath K., Hameeda B., Reddy G. Enhancement of Plant Growth in Tomato by Inoculation with Plant Growth Promoting Bacillus spp // World Journal of Agricultural Research. 2019. Vol. 7. № 2. P. 69–75. https://doi.org/10.12691/wjar-7-2-5
- Teale W.D., Paponov I.A., Palme K. Auxin in action: signalling, transport and the control of plant growth and development // Natures reviews. Molecular cell Biology. 2006. V. 7. № 11. P. 847–859. https://www.doi.org/10.1038/nrm2020
Дополнительные файлы





