Влияние внутримолекулярных донорно-акцепторных взаимодействий на радиолиз органических соединений: эффекты в ацетилацетоне
- Авторы: Власов С.И.1, Пономарев А.В.1, Ершов Б.Г.1
-
Учреждения:
- Институт физической химии и электрохимии им. А.Н. Фрумкина Российской академии наук
- Выпуск: Том 510, № 1 (2023)
- Страницы: 69-73
- Раздел: ФИЗИЧЕСКАЯ ХИМИЯ
- URL: https://journal-vniispk.ru/2686-9535/article/view/135979
- DOI: https://doi.org/10.31857/S2686953523600174
- EDN: https://elibrary.ru/YRXCAM
- ID: 135979
Цитировать
Полный текст
Аннотация
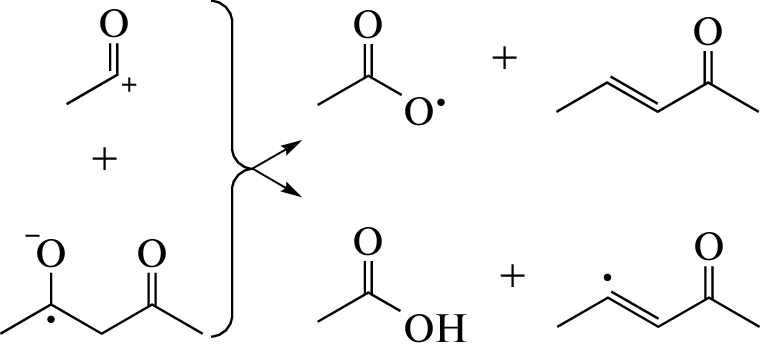
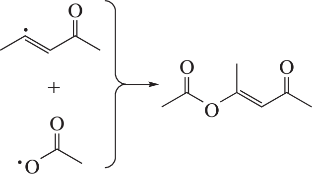
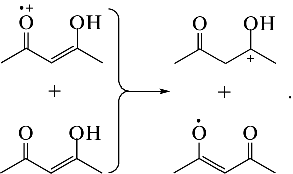
На примере ацетилацетона показано, что внутримолекулярная водородная связь существенно влияет на радиолитические превращения органических соединений, подавляя перенос протона от первичного катион-радикала к молекуле, а также способствуя разрыву С–ОН-связи в енольной форме. Вследствие этих эффектов основным тяжелым продуктом радиолиза при 295 К является 4-оксопент-2-ен-2-илацетат. В условиях кипения (413 К) водородные связи разрушаются, что приводит к преобладающему образованию 4-гидрокси-2-пентанона, который не обнаруживается при 295 К.
Ключевые слова
Об авторах
С. И. Власов
Институт физической химии и электрохимииим. А.Н. Фрумкина Российской академии наук
Email: ponomarev@ipc.rssi.ru
Россия, 119991, Москва
А. В. Пономарев
Институт физической химии и электрохимииим. А.Н. Фрумкина Российской академии наук
Автор, ответственный за переписку.
Email: ponomarev@ipc.rssi.ru
Россия, 119991, Москва
Б. Г. Ершов
Институт физической химии и электрохимииим. А.Н. Фрумкина Российской академии наук
Email: ponomarev@ipc.rssi.ru
Россия, 119991, Москва
Список литературы
- Belova N.V., Oberhammer H., Trang N.H., Girichev G. V. // J. Org. Chem. 2014. V. 79. P. 5412–5419. https://doi.org/10.1021/jo402814c
- Antonov I., Voronova K., Chen M.-W., Sztáray B., Hemberger P., Bodi A., Osborn D.L., Sheps L. // J. Phys. Chem. A. 2019. V. 123. P. 5472–5490. https://doi.org/10.1021/acs.jpca.9b04640
- Imatdinova D.N., Vlasov S.I., Ponomarev A.V. // Mendeleev Commun. 2021. V 31. P. 558–560. https://doi.org/10.1016/j.mencom.2021.07.041
- Howard D.L., Kjaergaard H.G., Huang J., Meuwly M. // J. Phys. Chem. A. 2015. V. 119. P. 7980–7990. https://doi.org/10.1021/acs.jpca.5b01863
- Curran H.J. // Int. J. Chem. Kinet. 2006. V. 38. P. 250–275. https://doi.org/10.1002/kin.20153
- Ponomarev A.V., Kholodkova E.M. // Mendeleev Commun. 2018. V. 28. P. 375–377. https://doi.org/10.1016/j.mencom.2018.07.011
- Wang H., Bozzelli J.W. // ChemPhysChem. 2016. V. 17. P. 1983–1992. https://doi.org/10.1002/cphc.201600152
- Yoon M.-C., Choi Y.S., Kim S.K. // J. Chem. Phys. 1999. V. 110. P. 11850–11855. https://doi.org/10.1063/1.479126
- Messaadia L., El Dib G., Ferhati A., Chakir A. // Chem. Phys. Lett. 2015. V. 626. P. 73–79. https://doi.org/10.1016/j.cplett.2015.02.032
- Ji Y., Qin D., Zheng J., Shi Q., Wang J., Lin Q., Chen J., Gao Y., Li G., An T. // Sci. Total Environ. 2020. 720. 137610. https://doi.org/10.1016/j.scitotenv.2020.137610
- Ponomarev A.V., Ershov B.G. // Environ. Sci. Technol. 2020. V. 54. P. 5331–5344. https://doi.org/10.1021/acs.est.0c00545
Дополнительные файлы














