Hormonal profile changes under the influence of environmental factors in children residing in the Aral environmental disaster region
- 作者: Erkudov V.O.1, Rozumbetov K.U.2, Matchanov A.T.2, Pugovkin A.P.3, Nisanova S.N.2, Kalmuratova M.A.4, Kochubeev A.V.1, Rogozin S.S.1
-
隶属关系:
- Saint Petersburg State Pediatric Medical University
- Karakalpak Berdakh State University
- Saint Petersburg Electrotechnical University LETI
- Tashkent Pediatric Medical Institute
- 期: 卷 14, 编号 5 (2023)
- 页面: 51-70
- 栏目: Original studies
- URL: https://journal-vniispk.ru/pediatr/article/view/252878
- DOI: https://doi.org/10.17816/PED625943
- ID: 252878
如何引用文章
详细
BACKGROUND: Since the mid 20th century, the Southern Aral Sea Region is notorious as a region of ecological disaster, where anthropogenic influence led to the desiccation of the Aral Sea. Aridization of these territories is the cause of accumulation of endocrine disrupting chemicals — pesticides and toxic metals in soil and water.
AIM: The aim of this study was to assess the changes in hormonal profile under the influence of environmental factors in prepubertal children living at different distances from the epicenter of the Aral ecological disaster.
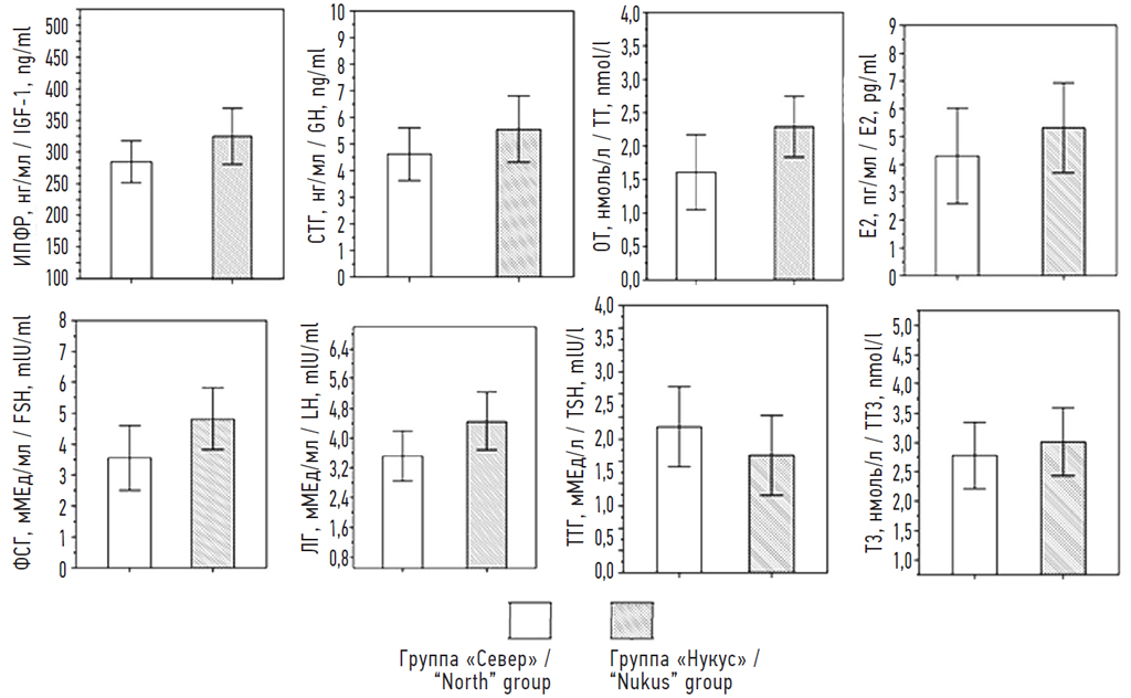
MATERIALS AND METHODS: The study included 58 male children aged 11–13 years. All children from birth lived in two regions of the Aral Sea Region and were divided into two groups depending on their place of residence. The group “North” (unfavorable conditions) consisted of 27 children from Muynak, Kungrad, Karauzyak, Takhtakupyr districts. The “Nukus” group (relatively favorable conditions) included 31 volunteers from Nukus city. All children were determined the concentration of IGF-1 — Insulin-like growth factor 1, GH — growth gormone, TT — total testosterone, E2 — estradiol, FSH — follicle-stimulating hormone, LH — luteinizing hormone, TSH — thyroid-stimulating hormone, TT3 — total triiodothyronine in blood sample. The statistical significance of the differences of the mentioned hormones in children from the “North” and “Nukus” groups was checked using the Mann–Whitney test.
RESULTS: This analysis revealed statistically significantly higher values of TT, FSH and LH in children from the “Nukus” group compared to their peers from the “North” group. The concentrations of IGF-1, GH, E2, TTG and T3 in blood plasma in volunteers from both groups were not statistically significantly different.
CONCLUSIONS: The environment of the Aral ecological disaster region with increased content of organochlorine compounds, pesticides and heavy metals changes the endocrine status in local prepubertal children. This is expressed in a moderate decrease in the activity of androgens (but not estrogens) and gonadotropic hormones. This research work can be considered as a pilot study, which determines the need for further monitoring of endocrine disorders in children and adults living in negative environmental conditions.
作者简介
Valerii Erkudov
Saint Petersburg State Pediatric Medical University
编辑信件的主要联系方式.
Email: verkudov@gmail.com
ORCID iD: 0000-0001-7351-0405
SPIN 代码: 5155-2173
MD, PhD, Associate Professor, Department of Human Physiology
俄罗斯联邦, Saint PetersburgKenzhabek Rozumbetov
Karakalpak Berdakh State University
Email: rozumbetov96@mail.ru
ORCID iD: 0000-0001-5967-4219
SPIN 代码: 9333-7494
Assistant Professor, Department of Anatomy, Physiology and Biochemistry of Animals
乌兹别克斯坦, NukusAzat Matchanov
Karakalpak Berdakh State University
Email: Matchanovazat@gmail.com
ORCID iD: 0000-0001-6066-1327
SPIN 代码: 8253-2317
PhD, Dr. Sci. (Biology), Head of Department of General Biology and Physiology
乌兹别克斯坦, NukusAndrey Pugovkin
Saint Petersburg Electrotechnical University LETI
Email: apugovkin@mail.ru
ORCID iD: 0000-0001-8415-2885
SPIN 代码: 2065-4505
PhD, Dr. Sci. (Biology), Senior Researcher, Professor of the Department of Biotechnical Systems
俄罗斯联邦, Saint PetersburgSymbat Nisanova
Karakalpak Berdakh State University
Email: symbat.nysanova90@gmail.com
ORCID iD: 0009-0007-7909-5207
Postgraduate Student, Department of General Biology and Physiology
乌兹别克斯坦, NukusMadina Kalmuratova
Tashkent Pediatric Medical Institute
Email: kalmuratova.m@yandex.by
ORCID iD: 0009-0003-4149-5329
1st year student
乌兹别克斯坦, TashkentAndrey Kochubeev
Saint Petersburg State Pediatric Medical University
Email: andrej.ko4@yandex.ru
ORCID iD: 0009-0006-0543-5240
SPIN 代码: 5927-8318
MD, PhD, Associate Professor, Department of Human Physiology
俄罗斯联邦, Saint PetersburgSergey Rogozin
Saint Petersburg State Pediatric Medical University
Email: box.rogozin@yandex.ru
ORCID iD: 0000-0001-9263-0111
SPIN 代码: 2187-2806
Assistant Professor, Department of Human Physiology
俄罗斯联邦, Saint Petersburg参考
- Yerkudov VO, Zaslavsky DV, Pugovkin AP, et al. Anthropometric characteristics of young adults in areas with different ecological risks in the Aral Sea Region, Uzbekistan. Human Ecology. 2020;27(10):45–54. doi: 10.33396/1728-0869-2020-10-45-54
- Yerkudov VO, Pugovkin AP, Matchanov AT, et al. An analysis of deviations from international standards of physique development in male youngsters from the former Aral Sea Region. Pediatrician (St. Petersburg). 2020;11(6):21–28. doi: 10.17816/PED11621-28
- Yerkudov VO, Pugovkin AP, Matchanov AT, et al. Anthropometric characteristics of junior male athletes — Karakalpakstan residents. Human. Sport. Medicine. 2022;22(3):16–22. doi: 10.14529/hsm220302
- Reimov RR, Konstantinova LG. Ecological characterization of the Aral Sea Region and spatial differentiation of its territory as an ecological disaster zone. Bulletin of the Karakalpak branch of the Academy of Sciences of the Republic of Uzbekistan. 1992;(2):3–8. (In Russ.)
- Abreu AP, Kaiser UB. Pubertal development and regulation. Lancet Diabetes Endocrinol. 2016;4(3):254–264. doi: 10.1016/S2213-8587(15)00418-0
- Afeiche M, Peterson KE, Sánchez BN, et al. Windows of lead exposure sensitivity, attained height, and body mass index at 48 months. J Pediatr. 2012;160(6):1044–1049. doi: 10.1016/j.jpeds.2011.12.022
- Aguilar-Garduño C, Lacasaña M, Blanco-Muñoz J, et al. Changes in male hormone profile after occupational organophosphate exposure. A longitudinal study. Toxicology. 2013;307:55–65. doi: 10.1016/j.tox.2012.11.001
- Agusa T, Kunito T, Iwata H, et al. Mercury in hair and blood from residents of Phnom Penh (Cambodia) and possible effect on serum hormone levels. Chemosphere. 2007;68(3):590–596. doi: 10.1016/j.chemosphere.2007.01.003
- Al Alwan I, Alfaraidi H, Al Juraibah F, et al. Timing of puberty and late pubertal height in Saudi schoolboys: Riyadh puberty study II. Int J Endocrinol. 2022;2022:4343596. doi: 10.1155/2022/4343596
- Ali I, Engström A, Vahter M, et al. Associations between cadmium exposure and circulating levels of sex hormones in postmenopausal women. Environ Res. 2014;134:265–269. doi: 10.1016/j.envres.2014.08.009
- Anchita, Zhupankhan A, Khaibullina Z, et al. Health impact of drying aral sea: one health and socio-economical approach. Water. 2021;13(22):3196. doi: 10.3390/w13223196
- Andersen HR, Schmidt IM, Grandjean P, et al. Impaired reproductive development in sons of women occupationally exposed to pesticides during pregnancy. Environ Health Perspect. 2008;116(4):566–572. doi: 10.1289/ehp.10790
- Araki A, Miyashita C, Mitsui T, et al. Prenatal organochlorine pesticide exposure and the disruption of steroids and reproductive hormones in cord blood: The Hokkaido study. Environ Int. 2018;110:1–13. doi: 10.1016/j.envint.2017.10.006
- Ashrap P, Meeker JD, Sánchez BN, et al. In utero and peripubertal metals exposure in relation to reproductive hormones and sexual maturation and progression among boys in Mexico City. Environ Health. 2020;19(1):124. doi: 10.1186/s12940-020-00672-0
- Ataniyazova OA, Baumann RA, Liem AK, et al. Levels of certain metals, organochlorine pesticides and dioxins in cord blood, maternal blood, human milk and some commonly used nutrients in the surroundings of the Aral Sea (Karakalpakstan, Republic of Uzbekistan). Acta Paediatr. 2001;90(7):801–808. doi: 10.1111/j.1651-2227.2001.tb02808.x
- Babić Leko M, Gunjača I, Pleić N, Zemunik T. Environmental factors affecting thyroid-stimulating hormone and thyroid hormone levels. Int J Mol Sci. 2021;22(12):6521. doi: 10.3390/ijms22126521
- Banks JR, Heinold B, Schepanski K. Impacts of the desiccation of the Aral Sea on the Central Asian dust life-cycle. J Geophys Res: Atmosp. 2022;127(21):e2022JD036618. doi: 10.1029/2022JD036618
- Bapayeva G, Poddighe D, Terzic S, et al. Organochlorine pesticides exposure in female adolescents: potential impact on sexual hormones and interleukin-1 levels. Immunol Res. 2018;66(6):756–760. doi: 10.1007/s12026-018-9049-9
- Baralić K, Javorac D, Marić Đ, et al. Benchmark dose approach in investigating the relationship between blood metal levels and reproductive hormones: Data set from human study. Environ Int. 2022;165:107313. doi: 10.1016/j.envint.2022.107313
- Bell MR. Endocrine-disrupting actions of PCBs on brain development and social and reproductive behaviors. Curr Opin Pharmacol. 2014;19:134–144. doi: 10.1016/j.coph.2014.09.020
- Blanco-Muñoz J, Lacasaña M, Aguilar-Garduño C, et al. Effect of exposure to p,p’-DDE on male hormone profile in Mexican flower growers. Occup Environ Med. 2012;69(1):5–11. doi: 10.1136/oem.2010.059667
- Boas M, Feldt-Rasmussen U, Main KM. Thyroid effects of endocrine disrupting chemicals. Mol Cell Endocrinol. 2012;355(2):240–248. doi: 10.1016/j.mce.2011.09.005
- Bornman MS, Chevrier J, Rauch S, et al. Dichlorodiphenyltrichloroethane exposure and anogenital distance in the Venda Health Examination of Mothers, Babies and their Environment (VHEMBE) birth cohort study, South Africa. Andrology. 2016;4(4):608–615. doi: 10.1111/andr.12235
- Camoratto AM, White LM, Lau Y-S, et al. Effect of exposure to low level lead on growth and growth hormone release in rats. Toxicology. 1993;83(1–3):101–114. doi: 10.1016/0300-483x(93)90095-a
- Carlson HE. Inhibition of prolactin and growth hormone secretion by nickel. Life Sci. 1984;35(17):1747–1754. doi: 10.1016/0024-3205(84)90271-6
- Carpenter DO, El-Qaderi S, Fayzieva D, et al. Children’s environmental health in Central Asia and the Middle east. Int J Occup Environ Health. 2006;12(4):362–368. doi: 10.1179/oeh.2006.12.4.362
- Casals-Casas C, Desvergne B. Endocrine disruptors: from endocrine to metabolic disruption. Annu Rev Physiol. 2011;73:135–162. doi: 10.1146/annurev-physiol-012110-142200
- Castiello F, Olmedo P, Gil F, et al. Association of urinary metal concentrations with blood pressure and serum hormones in Spanish male adolescents. Environ Res. 2020;182:108958. doi: 10.1016/j.envres.2019.108958.
- Chapin RE, Robbins WA, Schieve LA, et al. Off to a good start: the influence of pre- and periconceptional exposures, parental fertility, and nutrition on children’s health. Environ Health Perspect. 2004;112(1):69–78. doi: 10.1289/ehp.6261
- Chen C, Wang N, Nie X, et al. Blood cadmium level associates with lower testosterone and sex hormone-binding globulin in chinese men: from SPECT-China study, 2014. Biol Trace Elem Res. 2016;171(1):71–78. doi: 10.1007/s12011-015-0526-x
- Chiba M, Sera K, Hashizume M, et al. Element concentrations in hair of children living in environmentally degraded districts of the East Aral Sea Region. J Radioanalytical Nucl Chem. 2004;259(1): 149–152. doi: 10.1023/B:JRNC.0000015820.61512.b9
- Choi JY, Huh D-A, Moon KW. Association between blood lead levels and metabolic syndrome considering the effect of the thyroid-stimulating hormone based on the 2013 Korea National health and nutrition examination survey. PLoS One. 2020;15(12):e0244821. doi: 10.1371/journal.pone.0244821
- Clements RJ, Lawrence RC, Blank JL. Effects of intrauterine 2,3,7,8-tetrachlorodibenzo-p-dioxin on the development and function of the gonadotrophin releasing hormone neuronal system in the male rat. Reprod Toxicol. 2009;28(1):38–45. doi: 10.1016/j.reprotox.2009.02.002
- Cocchi D, Tulipano G, Colciago A, et al. Chronic treatment with polychlorinated biphenyls (PCB) during pregnancy and lactation in the rat: Part 1: Effects on somatic growth, growth hormone-axis activity and bone mass in the offspring. Toxicol Appl Pharmacol. 2009;237(2):127–136. doi: 10.1016/j.taap.2009.03.008
- Covaci A, Gheorghe A, Schepens P. Distribution of organochlorine pesticides, polychlorinated biphenyls and alpha-HCH enantiomers in pork tissues. Chemosphere. 2004;56(8):757–766. doi: 10.1016/j.chemosphere.2004.02.014
- Crighton EJ, Elliott SJ, Upshur R, et al. The Aral Sea disaster and self-rated health. Health Place. 2003;9(2):73–82. doi: 10.1016/s1353-8292(02)00017-5
- Crighton EJ, Barwin L, Small I, Upshur R. What have we learned? A review of the literature on children’s health and the environment in the Aral Sea area. Int J Public Health. 2011;56(2):125–138. doi: 10.1007/s00038-010-0201-0
- Curley JP, Mashoodh R, Champagne FA. Epigenetics and the origins of paternal effects. Horm Behav. 2011;59(3):306–314. doi: 10.1016/j.yhbeh.2010.06.018
- Dallaire R, Dewailly É, Ayotte P, et al. Growth in Inuit children exposed to polychlorinated biphenyls and lead during fetal development and childhood. Environ Res. 2014;134:17–23. doi: 10.1016/j.envres.2014.06.023
- Darnerud PO, Atuma S, Aune M, et al. Dietary intake estimations of organohalogen contaminants (dioxins, PCB, PBDE and chlorinated pesticides, e. g. DDT) based on Swedish market basket data. Food Chem Toxicol. 2006;44(9):1597–1606. doi: 10.1016/j.fct.2006.03.011
- De Craemer S, Croes K, van Larebeke N, et al. Metals, hormones and sexual maturation in Flemish adolescents in three cross-sectional studies (2002–2015). Environ Int. 2017;102:190–199. doi: 10.1016/j.envint.2017.02.014
- Decherf S, Demeneix BA. The obesogen hypothesis: a shift of focus from the periphery to the hypothalamus. J Toxicol Environ Health B Crit Rev. 2011;14(5–7):423–448. doi: 10.1080/10937404.2011.578561
- Den Hond E, Dhooge W, Bruckers L, et al. Internal exposure to pollutants and sexual maturation in Flemish adolescents. J Expo Sci Environ Epidemiol. 2011;21(3):224–233. doi: 10.1038/jes.2010.2
- Dewailly E, Mulvad G, Pedersen HS, et al. Concentration of organochlorines in human brain, liver, and adipose tissue autopsy samples from Greenland. Environ Health Perspect. 1999;107(10):823–828. doi: 10.1289/ehp.99107823
- Dhooge W, Den Hond E, Koppen G, et al. Internal exposure to pollutants and body size in Flemish adolescents and adults: associations and dose-response relationships. Environ Int. 2010;36(4):330–337. doi: 10.1016/j.envint.2010.01.005
- Dickerson SM, Cunningham SL, Gore AC. Prenatal PCBs disrupt early neuroendocrine development of the rat hypothalamus. Toxicol Appl Pharmacol. 2011;252(1):36–46. doi: 10.1016/j.taap.2011.01.012
- Dickerson SM, Guevara E, Woller MJ, Gore AC. Cell death mechanisms in GT1-7 GnRH cells exposed to polychlorinated biphenyls PCB74, PCB118, and PCB153. Toxicol Appl Pharmacol. 2009;237(2):237–245. doi: 10.1016/j.taap.2009.04.001
- Dos Santos NR, Rodrigues JLG, Bandeira MJ, et al. Manganese exposure and association with hormone imbalance in children living near a ferro-manganese alloy plant. Environ Res. 2019;172:166–174. doi: 10.1016/j.envres.2019.02.021
- Emeville E, Giton F, Giusti A, et al. Persistent organochlorine pollutants with endocrine activity and blood steroid hormone levels in middle-aged men. PLoS One. 2013;8(6):e66460. doi: 10.1371/journal.pone.0066460
- Erdinger L, Eckl P, Ingel F, et al. The Aral Sea disaster — human biomonitoring of Hg, As, HCB, DDE, and PCBs in children living in Aralsk-and Akchi, Kazakhstan. Int J Hyg Environ Health. 2004;207(6):541–547. doi: 10.1078/1438-4639-00325
- Eskenazi B, Rauch SA, Tenerelli R, et al. In utero and childhood DDT, DDE, PBDE and PCBs exposure and sex hormones in adolescent boys: The CHAMACOS study. Int J Hyg Environ Health. 2017;220(2-B): 364–372. doi: 10.1016/j.ijheh.2016.11.001
- Ferguson KK, Hauser R, Altshul L, Meeker JD. Serum concentrations of p,p’-DDE, HCB, PCBs and reproductive hormones among men of reproductive age. Reprod Toxicol. 2012;34(3):429–435. doi: 10.1016/j.reprotox.2012.04.006
- Fisher MM, Eugster EA.What is in our environment that effects puberty? Reprod Toxicol. 2014;44:7–14. doi: 10.1016/j.reprotox.2013.03.012
- Fleisch AF, Burns JS, Williams PL, et al. Blood lead levels and serum insulin-like growth factor 1 concentrations in peripubertal boys. Environ Health Perspect. 2013;121(7):854–858. doi: 10.1289/ehp.1206105
- Freire C, Koifman RJ, Sarcinelli PN, et al. Association between serum levels of organochlorine pesticides and sex hormones in adults living in a heavily contaminated area in Brazil. Int J Hyg Environ Health. 2014;217(2–3):370–378. doi: 10.1016/j.ijheh.2013.07.012
- Freire C, Lopez-Espinosa M-J, Fernández M, et al. Prenatal exposure to organochlorine pesticides and TSH status in newborns from Southern Spain. Sci Total Environ. 2011;409(18):3281–3287. doi: 10.1016/j.scitotenv.2011.05.037
- Jana F. Uranium contamination of the Aral Sea. J Mar Syst. 2009;76:322–335. doi: 10.1016/j.jmarsys.2008.03.020
- Fullston T, Ohlsson Teague EMC, Palmer NO, et al. Paternal obesity initiates metabolic disturbances in two generations of mice with incomplete penetrance to the F2 generation and alters the transcriptional profile of testis and sperm microRNA content. FASEB J. 2013;27(10):4226–4243. doi: 10.1096/fj.12-224048
- Gerber R, Smit NJ, Van Vuren JHJ, et al. Bioaccumulation and human health risk assessment of DDT and other organochlorine pesticides in an apex aquatic predator from a premier conservation area. Sci Total Environ. 2016;550:522–533. doi: 10.1016/j.scitotenv.2016.01.129
- Ghassabian A, Trasande L. Disruption in thyroid signaling pathway: a mechanism for the effect of endocrine-disrupting chemicals on child neurodevelopment. Front Endocrinol (Lausanne). 2018;9:204. doi: 10.3389/fendo.2018.00204
- Gheidarloo M, Kelishadi R, Hovsepian S, et al. The association between prenatal exposure to organochlorine compounds and neonatal thyroid hormone levels: a systematic review. J Pediatr Endocrinol Metab. 2020;33(1):21–33. doi: 10.1515/jpem-2019-0336
- Gore AC, Chappell VA, Fenton SE, et al. EDC-2: The endocrine society’s second scientific statement on endocrine-disrupting chemicals. Endocr Rev. 2015;36(6):E1–E150. doi: 10.1210/er.2015-1010
- Graceli JB, Dettogni RS, Merlo E, et al. The impact of endocrine-disrupting chemical exposure in the mammalian hypothalamic-pituitary axis. Mol Cell Endocrinol. 2020;518:110997. doi: 10.1016/j.mce.2020.110997
- Greenspan LC, Lee MM. Endocrine disrupters and pubertal timing. Curr Opin Endocrinol Diabetes Obes. 2018;25(1):49–54. doi: 10.1097/MED.0000000000000377
- Hamilton JD, O’Flaherty EJ. Influence of lead on mineralization during bone growth. Fundam Appl Toxicol. 1995;26(2):265–271. doi: 10.1006/faat.1995.1097
- Hassan HF, Elaridi J, Kharma JA, et al. Persistent organic pollutants in human milk: exposure levels and determinants among lactating mothers in Lebanon. J Food Prot. 2022;85(3):384–389. doi: 10.4315/JFP-21-325
- Hauser R, Sergeyev O, Korrick S, et al. Association of blood lead levels with onset of puberty in Russian boys. Environ Health Perspect. 2008;116(7):976–980. doi: 10.1289/ehp.10516
- Hong Y-C, Kulkarni SS, Lim Y-H, et al. Postnatal growth following prenatal lead exposure and calcium intake. Pediatrics. 2014;134(6):1151–1159. doi: 10.1542/peds.2014-1658
- Hooper K, Petreas MX, Chuvakova T, et al. Analysis of breast milk to assess exposure to chlorinated contaminants in Kazakstan: high levels of 2,3,7,8-tetrachlorodibenzo-p-dioxin (TCDD) in agricultural villages of southern Kazakstan. Environ Health Perspect. 1998;106(12):797–806. doi: 10.1289/ehp.98106797
- Humblet O, Williams PL, Korrick SA, et al. Dioxin and polychlorinated biphenyl concentrations in mother’s serum and the timing of pubertal onset in sons. Epidemiology. 2011;22(6):827–835. doi: 10.1097/EDE.0b013e318230b0d1
- Huseman CA, Varma MM, Angle CR. Neuroendocrine effects of toxic and low blood lead levels in children. Pediatrics. 1992;90(2–1): 186–189. doi: 10.1542/peds.90.2.186
- Interdonato M, Pizzino G, Bitto A, et al. Cadmium delays puberty onset and testis growth in adolescents. Clin Endocrinol (Oxf). 2015;83(3):357–362. doi: 10.1111/cen.12704
- Jedrychowski WA, Perera FP, Majewska R, et al. Depressed height gain of children associated with intrauterine exposure to polycyclic aromatic hydrocarbons (PAH) and heavy metals: the cohort prospective study. Environ Res. 2015;136:141–147. doi: 10.1016/j.envres.2014.08.047
- Jeng HA, Huang YL, Pan CH, Diawara N. Role of low exposure to metals as male reproductive toxicants. Int J Environ Health Res. 2015;25(4):405–417. doi: 10.1080/09603123.2014.958137
- Jensen S, Mazhitova Z, Zetterström R. Environmental pollution and child health in the Aral Sea Region in Kazakhstan. Sci Total Environ. 1997;206(2–3):187–193. doi: 10.1016/S0048-9697(97)80009-5
- Kelce WR, Wilson EM. Environmental antiandrogens: developmental effects, molecular mechanisms, and clinical implications. J Mol Med (Berl). 1997;75(3):198–207. doi: 10.1007/s001090050104
- Kester MHA, Bulduk S, van Toor H, et al. Potent inhibition of estrogen sulfotransferase by hydroxylated metabolites of polyhalogenated aromatic hydrocarbons reveals alternative mechanism for estrogenic activity of endocrine disrupters. J Clin Endocrinol Metab. 2002;87(3):1142–1150. doi: 10.1210/jcem.87.3.8311
- Khalaf MAM, Younis RHA, El-Fakahany H. Effect of low-level environmental lead exposure on the onset of male puberty. Int J Toxicol. 2019;38(3):209–214. doi: 10.1177/1091581819848411
- Kim K, Argos M, Persky VW, et al. Associations of exposure to metal and metal mixtures with thyroid hormones: Results from the NHANES 2007–2012. Environ Res. 2022;212(C):113413. doi: 10.1016/j.envres.2022.113413
- Korrick SA, Lee MM, Williams PL, et al. Dioxin exposure and age of pubertal onset among Russian boys. Environ Health Perspect. 2011;119(9):1339–1344. doi: 10.1289/ehp.1003102
- Kresovich JK, Argos M, Turyk ME. Associations of lead and cadmium with sex hormones in adult males. Environ Res. 2015;142:25–33. doi: 10.1016/j.envres.2015.05.026
- Krieg EF Jr. The relationships between blood lead levels and serum thyroid stimulating hormone and total thyroxine in the third National Health and Nutrition Examination Survey. J Trace Elem Med Biol. 2019;51:130–137. doi: 10.1016/j.jtemb.2018.10.010
- Krivonogov SK, Burr GS, Kuzmin YV, et al. The fluctuating Aral Sea: A multidisciplinary-based history of the last two thousand years. Gondwana Res. 2014;26(1):284–300. doi: 10.1016/j.gr.2014.02.004
- Krönke AA, Jurkutat A, Schlingmann M, et al. Persistent organic pollutants in pregnant women potentially affect child development and thyroid hormone status. Pediatr Res. 2022;91(3):690–698. doi: 10.1038/s41390-021-01488-5
- Kultanov BZ, Dosmagambetova RS, Ivasenko SA, et al. The study of cellular and molecular physiological characteristics of sperm in men living in the Aral Sea Region. Open Access Maced J Med Sci. 2016;4(1):5–8. doi: 10.3889/oamjms.2016.007
- La Merrill MA, Vandenberg LN, Smith MT, et al. Consensus on the key characteristics of endocrine-disrupting chemicals as a basis for hazard identification. Nat Rev Endocrinol. 2020;16(1):45–57. doi: 10.1038/s41574-019-0273-8
- LaBella FS, Dular R, Lemon P, et al. Prolactin secretion is specifically inhibited by nickel. Nature. 1973;245(5424):330–332. doi: 10.1038/245330a0
- Lafuente A, Esquifino AI. Cadmium effects on hypothalamic activity and pituitary hormone secretion in the male. Toxicol Lett. 1999;110(3):209–218. doi: 10.1016/s0378-4274(99)00159-9
- Lafuente A, González-Carracedo A, Romero A, et al. Cadmium exposure differentially modifies the circadian patterns of norepinephrine at the median eminence and plasma LH, FSH and testosterone levels. Toxicol Lett. 2004;146(2):175–182. doi: 10.1016/j.toxlet.2003.10.004
- Lam T, Williams PL, Lee MM, et al. Prepubertal serum concentrations of organochlorine pesticides and age at sexual maturity in Russian boys. Environ Health Perspect. 2015;123(11):1216–1221. doi: 10.1289/ehp.1409022
- Lee PA, Gollenberg AL, Hediger ML, et al. Luteinizing hormone, testosterone and inhibin B levels in the peripubertal period and racial/ethnic differences among boys aged 6–11 years: analyses from NHANES III, 1988–1994. Clin Endocrinol (Oxf). 2010;73(6):744–751. doi: 10.1111/j.1365-2265.2010.03866.x
- Lee T-W, Kim DH, Ryu JY. The effects of exposure to lead, cadmium and mercury on follicle-stimulating hormone levels in men and postmenopausal women: data from the Second Korean National Environmental Health Survey (2012–2014). Ann Occup Environ Med. 2019;31:e21. doi: 10.35371/aoem.2019.31.e21
- Li J, Ren F, Li Y, et al. Chlorpyrifos induces metabolic disruption by altering levels of reproductive hormones. J Agric Food Chem. 2019;67(38):10553–10562. doi: 10.1021/acs.jafc.9b03602
- Longnecker MP. Invited commentary: Why DDT matters now. Am J Epidemiol. 2005;162(8):726–728. doi: 10.1093/aje/kwi277
- Lorenson MY, Robson DL, Jacobs LS. Divalent cation inhibition of hormone release from isolated adenohypophysial secretory granules. J Biol Chem. 1983;258(14):8618–8622. doi: 10.1016/S0021-9258(18)32101-X
- Lutter C, Iyengar V, Barnes R, et al. Breast milk contamination in Kazakhstan: implications for infant feeding. Chemosphere. 1998;37(9–12):1761–1772. doi: 10.1016/s0045-6535(98)00241-0
- Madrigal JM, Sargis RM, Persky V, Turyk ME. Multiple organochlorine pesticide exposures and measures of sex steroid hormones in adult males: Cross-sectional findings from the 1999–2004 National Health and Nutrition Examination Survey. Int J Hyg Environ Health. 2021;231:113609. doi: 10.1016/j.ijheh.2020.113609
- Malandrino N, Smith RJ. Synthesis, secretion, and transport of peptide hormones. In: Belfiore A, Leroith D, editors. Principles of endocrinology and hormone action. Springer Cham, 2018. P. 29–42. doi: 10.1007/978-3-319-44675-2
- Mamyrbayev A, Dyussembayeva N, Ibrayeva L, Satenova Z. Features of malignancy prevalence among children in the Aral Sea Region. Asian Pac J Cancer Prev. 2016;17(12):5217–5221. doi: 10.22034/APJCP.2016.17.12.5217
- Massaro EJ, Miller GD, Massaro TF. Multiple dose exposure effects on the tissue distribution of lead in the preweanling rat. Neurotoxicology. 1984;5(3):333–351.
- Mazhitova Z, Jensen S, Ritzén M, Zetterström R. Chlorinated contaminants, growth and thyroid function in schoolchildren from the Aral Sea Region in Kazakhstan. Acta Paediatr. 1998;87(9):991–995. doi: 10.1080/080352598750031671
- Meeker JD, Rossano MG, Protas B, et al. Cadmium, lead, and other metals in relation to semen quality: human evidence for molybdenum as a male reproductive toxicant. Environ Health Perspect. 2008;116(11):1473–1479. doi: 10.1289/ehp.11490
- Meeker JD, Rossano MG, Protas B, et al. Environmental exposure to metals and male reproductive hormones: circulating testosterone is inversely associated with blood molybdenum. Fertil Steril. 2010;93(1):130–140. doi: 10.1016/j.fertnstert.2008.09.044
- Mehrpour O, Karrari P, Zamani N, et al. Occupational exposure to pesticides and consequences on male semen and fertility: a review. Toxicol Lett. 2014;230(2):146–156. doi: 10.1016/j.toxlet.2014.01.029
- Memon NS, Kazi TG, Afridi HI, et al. Correlation of manganese with thyroid function in females having hypo- and hyperthyroid disorders. Biol Trace Elem Res. 2015;167(2):165–171. doi: 10.1007/s12011-015-0277-8
- Menke A, Guallar E, Shiels MS, et al. The association of urinary cadmium with sex steroid hormone concentrations in a general population sample of US adult men. BMC Public Health. 2008;8:72. doi: 10.1186/1471-2458-8-72
- Mohammed A, Eklund A, Ostlund-Lindqvist AM, Slanina P. Distribution of toxaphene, DDT, and PCB among lipoprotein fractions in rat and human plasma. Arch Toxicol. 1990;64(7):567–571. doi: 10.1007/BF01971836.
- Mouritsen A, Aksglaede L, Sørensen K, et al. Hypothesis: exposure to endocrine-disrupting chemicals may interfere with timing of puberty. Int J Androl. 2010;33(2):346–359. doi: 10.1111/j.1365-2605.2010.01051.x
- Müller MHB, Polder A, Brynildsrud OB, et al. Organochlorine pesticides (OCPs) and polychlorinated biphenyls (PCBs) in human breast milk and associated health risks to nursing infants in Northern Tanzania. Environ Res. 2017;154:425–434. doi: 10.1016/j.envres.2017.01.031
- Munier M, Ayoub M, Suteau V, et al. In vitro effects of the endocrine disruptor p,p’DDT on human choriogonadotropin/luteinizing hormone receptor signaling. Arch Toxicol. 2021;95(5):1671–1681. doi: 10.1007/s00204-021-03007-1
- Muntean N, Jermini M, Small I, et al. Assessment of dietary exposure to some persistent organic pollutants in the Republic of Karakalpakstan of Uzbekistan. Environ Health Perspect. 2003;111(10):1306–1311. doi: 10.1289/ehp.5907
- Murphy LE, Gollenberg AL, Buck Louis GM, et al. Maternal serum preconception polychlorinated biphenyl concentrations and infant birth weight. Environ Health Perspect. 2010;118(2):297–302. doi: 10.1289/ehp.0901150
- Naicker N, Norris SA, Mathee A, et al. Lead exposure is associated with a delay in the onset of puberty in South African adolescent females: findings from the Birth to Twenty cohort. Sci Total Environ. 2010;408(21):4949–4954. doi: 10.1016/j.scitotenv.2010.07.037
- Mocarelli P, Gerthoux PM, Patterson DG Jr, et al. Dioxin exposure, from infancy through puberty, produces endocrine disruption and affects human semen quality. Environ Health Perspect. 2008;116(1):70–77. doi: 10.1289/ehp.10399
- Nkomo P, Richter LM, Kagura J, et al. Environmental lead exposure and pubertal trajectory classes in South African adolescent males and females. Sci Total Environ. 2018;628–629:1437–1445. doi: 10.1016/j.scitotenv.2018.02.150
- O’Hara SL, Wiggs GF, Mamedov B, et al. Exposure to airborne dust contaminated with pesticide in the Aral Sea Region. Lancet. 2000;355(9204):627–628. doi: 10.1016/S0140-6736(99)04753-4
- Opp C, Groll M, Aslanov I, et al. Aeolian dust deposition in the southern Aral Sea Region (Uzbekistan): Ground-based monitoring results from the LUCA project. Quat Int. 2017;429-B:86–99. doi: 10.1016/j.quaint.2015.12.103
- Parent A-S, Franssen D, Fudvoye J, et al. Developmental variations in environmental influences including endocrine disruptors on pubertal timing and neuroendocrine control: Revision of human observations and mechanistic insight from rodents. Front Neuroendocrinol. 2015;38:12–36. doi: 10.1016/j.yfrne.2014.12.004
- Parker VS, Squirewell EJ, Lehmler H-J, et al. Hydroxylated and sulfated metabolites of commonly occurring airborne polychlorinated biphenyls inhibit human steroid sulfotransferases SULT1E1 and SULT2A1. Environ Toxicol Pharmacol. 2018;58:196–201. doi: 10.1016/j.etap.2018.01.010
- Pasqualotto F, Clapauch R, Koifman RJ, et al. Occupational exposure to pesticides, reproductive hormone levels and sperm quality in young Brazilian men. Reprod Toxicol. 2017;67:174–185. doi: 10.1016/j.reprotox.2017.01.001
- Piccoli C, Cremonese C, Koifman RJ, et al. Pesticide exposure and thyroid function in an agricultural population in Brazil. Environ Res. 2016;151:389–398. doi: 10.1016/j.envres.2016.08.011
- Pilsner JR, Parker M, Sergeyev O, Suvorov A. Spermatogenesis disruption by dioxins: Epigenetic reprograming and windows of susceptibility. Reprod Toxicol. 2017;69:221–229. doi: 10.1016/j.reprotox.2017.03.002
- Plant TM. Neuroendocrine control of the onset of puberty. Front Neuroendocrinol. 2015;38:73–88. doi: 10.1016/j.yfrne.2015.04.002
- Qiu Y, Lv Y, Zhang M, et al. Cadmium exposure is associated with testosterone levels in men: A cross-sectional study from the China National Human Biomonitoring. Chemosphere. 2022; 307–2:135786. doi: 10.1016/j.chemosphere.2022.135786
- Rami Y, Ebrahimpour K, Maghami M, et al. The association between heavy metals exposure and sex hormones: a systematic review on current evidence. Biol Trace Elem Res. 2022;200(8): 3491–3510. doi: 10.1007/s12011-021-02947-0
- Rasier G, Parent A-S, Gérard A, et al. Early maturation of gonadotropin-releasing hormone secretion and sexual precocity after exposure of infant female rats to estradiol or dichlorodiphenyltrichloroethane. Biol Reprod. 2007;77(4):734–742. doi: 10.1095/biolreprod.106.059303
- Rattan S, Zhou C, Chiang C, et al. Exposure to endocrine disruptors during adulthood: consequences for female fertility. J Endocrinol. 2017;233(3):R109–R129. doi: 10.1530/JOE-17-0023
- Renzetti S, Just AC, Burris HH, et al. The association of lead exposure during pregnancy and childhood anthropometry in the Mexican PROGRESS cohort. Environ Res. 2017;152:226–232. doi: 10.1016/j.envres.2016.10.014
- Ronis MJJ, Badger TM, Shema SJ, et al. Reproductive toxicity and growth effects in rats exposed to lead at different periods during development. Toxicol Appl Pharmacol. 1996;136(2):361–371. doi: 10.1006/taap.1996.0044
- Rossi M, Taddei AR, Fasciani I, et al. The cell biology of the thyroid-disrupting mechanism of dichlorodiphenyltrichloroethane (DDT). J Endocrinol Invest. 2018;41(1):67–73. doi: 10.1007/s40618-017-0716-9
- Rotter I, Kosik-Bogacka DI, Dołęgowska B, et al. Analysis of the relationship between the blood concentration of several metals, macro- and micronutrients and endocrine disorders associated with male aging. Environ Geochem Health. 2016;38(3):749–761. doi: 10.1007/s10653-015-9758-0
- Roy JR, Chakraborty S, Chakraborty TR. Estrogen-like endocrine disrupting chemicals affecting puberty in humans — a review. Med Sci Monit. 2009;15(6):RA137–145.
- Rzymski P, Niedzielski P, Poniedziałek B, et al. Free-ranging domestic cats are characterized by increased metal content in reproductive tissues. Reprod Toxicol. 2015;58:54–60. doi: 10.1016/j.reprotox.2015.08.004
- Rzymski P, Klimaszyk P, Niedzielski P, et al. Pollution with trace elements and rare-earth metals in the lower course of Syr Darya River and Small Aral Sea, Kazakhstan. Chemosphere. 2019;234:81–88. doi: 10.1016/j.chemosphere.2019.06.036
- Sabra S, Malmqvist E, Saborit A, et al. Heavy metals exposure levels and their correlation with different clinical forms of fetal growth restriction. PLoS One. 2017;12(10):e0185645. doi: 10.1371/journal.pone.0185645
- Sakiev K, Battakova S, Namazbaeva Z, et al. Neuropsychological state of the population living in the Aral Sea Region (zone of ecological crisis). Int J Occup Environ Health. 2017;23(2):87–93. doi: 10.1080/10773525.2018.1425655
- Sarzo B, Ballester F, Soler-Blasco R, et al. Pre and postnatal exposure to mercury and sexual development in 9-year-old children in Spain: The role of brain-derived neurotrophic factor. Environ Res. 2022;213:113620. doi: 10.1016/j.envres.2022.113620
- Schecter A, Cramer P, Boggess K, et al. Intake of dioxins and related compounds from food in the U.S. population. J Toxicol Environ Health A. 2001;63(1):1–18. doi: 10.1080/152873901750128326
- Schell LM, Gallo MV, Deane GD, et al. Relationships of polychlorinated biphenyls and dichlorodiphenyldichloroethylene (p,p’-DDE) with testosterone levels in adolescent males. Environ Health Perspect. 2014;122(3):304–309. doi: 10.1289/ehp.1205984
- Schoeters G, Den Hond E, Dhooge W, et al. Endocrine disruptors and abnormalities of pubertal development. Basic Clin Pharmacol Toxicol. 2008;102(2):168–175. doi: 10.1111/j.1742-7843.2007.00180.x
- Sen A, Heredia N, Senut MC, et al. Multigenerational epigenetic inheritance in humans: DNA methylation changes associated with maternal exposure to lead can be transmitted to the grandchildren. Sci Rep. 2015;5:14466. doi: 10.1038/srep14466
- Serdar CC, Cihan M, Yücel D, Serdar MA. Sample size, power and effect size revisited: simplified and practical approaches in pre-clinical, clinical and laboratory studies. Biochem Med (Zagreb). 2021;31(1):010502. doi: 10.11613/BM.2021.010502
- Sergeyev O, Burns JS, Williams PL, et al. The association of peripubertal serum concentrations of organochlorine chemicals and blood lead with growth and pubertal development in a longitudinal cohort of boys: a review of published results from the Russian Children’s Study. Rev Environ Health. 2017;32(1–2):83–92. doi: 10.1515/reveh-2016-0052
- Small I, van der Meer J, Upshur RE. Acting on an environmental health disaster: the case of the Aral Sea. Environ Health Perspect. 2001;109(6):547–549. doi: 10.1289/ehp.01109547
- Sokol RZ, Wang S, Wan YJ, et al. Long-term, low-dose lead exposure alters the gonadotropin-releasing hormone system in the male rat. Environ Health Perspect. 2002;110(9):871–874. doi: 10.1289/ehp.02110871
- Srinivasan K, Radhakrishnamurty R. Studies on the distribution of beta- and gamma-isomers of hexachlorocyclohexane in rat tissues. J Environ Sci Health B. 1983;18(3):401–418. doi: 10.1080/03601238309372378
- Tang-Péronard JL, Andersen HR, Jensen TK, Heitmann BL. Endocrine-disrupting chemicals and obesity development in humans: a review. Obes Rev. 2011;12(8):622–636. doi: 10.1111/j.1467-789X.2011.00871.x
- Tebourbi O, Hallègue D, Yacoubi MT, et al. Subacute toxicity of p,p’-DDT on rat thyroid: Hormonal and histopathological changes. Environ Toxicol Pharmacol. 2010;29(3):271–279. doi: 10.1016/j.etap.2010.03.002
- Telisman S, Colak B, Pizent A, et al. Reproductive toxicity of low-level lead exposure in men. Environ Res. 2007;105(2):256–266. doi: 10.1016/j.envres.2007.05.011
- Tinggaard J, Mieritz MG, Sørensen K, et al. The physiology and timing of male puberty. Curr Opin Endocrinol Diabetes Obes. 2012;19(3):197–203. doi: 10.1097/MED.0b013e3283535614
- Turdybekova YG, Dosmagambetova RS, Zhanabayeva SU, et al. The health status of the reproductive system in women living in the Aral Sea Region. Open Access Maced J Med Sci. 2015;3(3):474–477. doi: 10.3889/oamjms.2015.078
- Van den Berg M, Birnbaum LS, Denison M, et al. The 2005 World Health Organization reevaluation of human and Mammalian toxic equivalency factors for dioxins and dioxin-like compounds. Toxicol Sci. 2006;93(2):223–241. doi: 10.1093/toxsci/kfl055
- Vandenberg LN, Colborn T, Hayes TB, et al. Hormones and endocrine-disrupting chemicals: low-dose effects and nonmonotonic dose responses. Endocr Rev. 2012;33(3):378–455. doi: 10.1210/er.2011-1050
- Walker DM, Goetz BM, Gore AC. Dynamic postnatal developmental and sex-specific neuroendocrine effects of prenatal polychlorinated biphenyls in rats. Mol Endocrinol. 2014;28(1):99–115. doi: 10.1210/me.2013-1270
- Wallace IR, McKinley MC, Bell PM, Hunter SJ. Sex hormone binding globulin and insulin resistance. Clin Endocrinol (Oxf). 2013;78(3):321–329. doi: 10.1111/cen.12086
- Wang J, Cao L-L, Gao Z-Y, et al. Relationship between thyroid hormone parameters and exposure to a mixture of organochlorine pesticides, mercury and nutrients in the cord blood of newborns. Environ Pollut. 2022;292-A:118362. doi: 10.1016/j.envpol.2021.118362
- Warner GR, Mourikes VE, Neff AM, et al. Mechanisms of action of agrochemicals acting as endocrine disrupting chemicals. Mol Cell Endocrinol. 2020;502:110680. doi: 10.1016/j.mce.2019.110680
- West CN, Schell LM, Gallo MV. Sex differences in the association of measures of sexual maturation to common toxicants: Lead, dichloro-diphenyl-trichloroethane (DDT), dichloro-diphenyl-dichloroethylene (DDE), and polychlorinated biphenyls (PCBs). Ann Hum Biol. 2021;48(6):485–502. doi: 10.1080/03014460.2021.1998623
- Williams PL, Sergeyev O, Lee MM, et al. Blood lead levels and delayed onset of puberty in a longitudinal study of Russian boys. Pediatrics. 2010;125(5):e1088–1096. doi: 10.1542/peds.2009-2575
- Williams PL, Bellavia A, Korrick SA, et al. Blood lead levels and timing of male sexual maturity: A longitudinal study of Russian boys. Environ Int. 2019;125:470–477. doi: 10.1016/j.envint.2019.01.070
- Williams PL, Mínguez-Alarcón L, Korrick SA, et al. Association of peripubertal blood lead levels with reproductive hormones and semen parameters in a longitudinal cohort of Russian men. Hum Reprod. 2022;37(4):848–858. doi: 10.1093/humrep/deab288
- Windham GC, Pinney SM, Voss RW, et al. Brominated flame retardants and other persistent organohalogenated compounds in relation to timing of puberty in a longitudinal study of girls. Environ Health Perspect. 2015;123(10):1046–1052. doi: 10.1289/ehp.1408778
- Yaglova NV, Tsomartova DA, Obernikhin SS, et al. Differential disrupting effects of prolonged low-dose exposure to dichlorodiphenyltrichloroethane on androgen and estrogen production in males. Int J Mol Sci. 2021;22(6):3155. doi: 10.3390/ijms22063155
- Yan M, Shi Y, Wang Y, et al. Effects of p, p’-DDE on the mRNA and protein expressions of vimentin, N-cadherin and FSHR in rats testes: an in vivo and in vitro study. Environ Toxicol Pharmacol. 2013;35(3):486–494. doi: 10.1016/j.etap.2013.02.008
- Yang O, Kim HL, Weon J-I, Seo YR. Endocrine-disrupting Chemicals: review of toxicological mechanisms using molecular pathway analysis. J Cancer Prev. 2015;20(1):12–24. doi: 10.15430/JCP.2015.20.1.12
- Yang X, Wang N, Chen C, et al. Changes in area and water volume of the Aral Sea in the arid Central Asia over the period of 1960–2018 and their causes. Catena. 2020;191:104566. doi: 10.1016/j.catena.2020.104566
- Yorita Christensen KL. Metals in blood and urine, and thyroid function among adults in the United States 2007–2008. Int J Hyg Environ Health. 2013;216(6):624–632. doi: 10.1016/j.ijheh.2012.08.005
- Zawatski W, Lee MM. Male pubertal development: are endocrine-disrupting compounds shifting the norms? J Endocrinol. 2013;218(2):R1–12. doi: 10.1530/JOE-12-0449
- Zeng JY, Miao Y, Liu C, et al. Serum multiple organochlorine pesticides in relation to testosterone concentrations among Chinese men from an infertility clinic. Chemosphere. 2022;299:134469. doi: 10.1016/j.chemosphere.2022.134469
- Zhou J, Yang Y, Xiong K, Liu J. Endocrine disrupting effects of dichlorodiphenyltrichloroethane analogues on gonadotropin hormones in pituitary gonadotrope cells. Environ Toxicol Pharmacol. 2014;37(3):1194–1201. doi: 10.1016/j.etap.2014.04.018
- Zhou P, Wu Y, Yin S, et al. National survey of the levels of persistent organochlorine pesticides in the breast milk of mothers in China. Environ Pollut. 2011;159(2):524–531. doi: 10.1016/j.envpol.2010.10.014
- Zhumalina AK, Bekmukhambetov EZ, Tusupkaliev BT, Zharlikasinova MB. Development of scientifically justified proposals on the prevention and treatment of environmentally determined constitutional growth delay in children in the West Kazakhstan Region. Environ Geochem Health. 2019;41(3):1251–1265. doi: 10.1007/s10653-018-0210-0
- Zoeller RT, Brown TR, Doan LL, et al. Endocrine-disrupting chemicals and public health protection: a statement of principles from The Endocrine Society. Endocrinology. 2012;153(9):4097–4110. doi: 10.1210/en.2012-1422
- Zumbado M, Luzardo OP, Lara PC, et al. Insulin-like growth factor-I (IGF-I) serum concentrations in healthy children and adolescents: relationship to level of contamination by DDT-derivative pesticides. Growth Horm IGF Res. 2010;20(1):63–67. doi: 10.1016/j.ghir.2009.07.003
补充文件





