Chemical Composition, Mineralogy and Physical Properties of the Mantle of the Moon: a Review
- Authors: Kuskov O.L.1, Kronrod E.V.1, Kronrod V.A.1
- 
							Affiliations: 
							- Vernadsky Institute of Geochemistry and Analytical Chemistry of the Russian Academу of Sciences
 
- Issue: Vol 69, No 12 (2024)
- Pages: 1070-1138
- Section: Articles
- URL: https://journal-vniispk.ru/0016-7525/article/view/277654
- DOI: https://doi.org/10.31857/S0016752524120013
- EDN: https://elibrary.ru/IECAKT
- ID: 277654
Cite item
Abstract
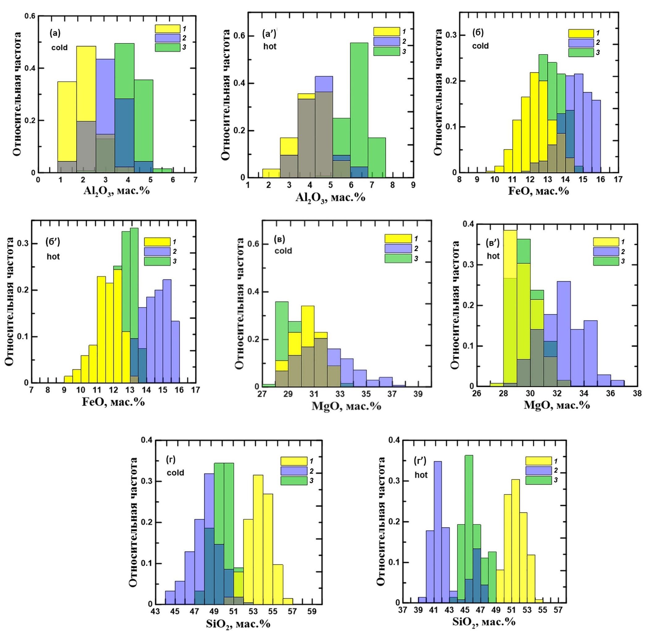
The problem of the internal structure plays a special role in the geochemistry and geophysics of the Moon. The main sources of information about the chemical composition and physical state of the deep interior are seismic experiments of the Apollo expeditions, gravity data from the GRAIL mission, geochemical and isotopic studies of lunar samples. Despite the high degree of similarity of terrestrial and lunar matter in the isotopic composition of a number of elements, the question of the similarity and/or difference in the composition of the silicate shells of the Earth and its satellite in relation to the main elements remains unresolved. The review article summarizes and critically analyzes information on the composition and structure of the Moon, examines the main contradictions between geochemical and geophysical classes of mantle structure models both within each class and between the classes, related to the estimation of the abundance of the major element oxides Fe, Mg, Si, Al, Ca, and analyzes bulk silicate Moon (BSM) models. The principles of the approach to modeling the internal structure of a planetary body, based on the joint inversion of an integrated set of selenophysical, seismic, and geochemical parameters combined with calculations of phase equilibria and physical properties, are presented. Two new classes of the chemical composition of the Moon, enriched in silica (~50% SiO2) and ferrous iron (11-13% FeO, Mg# 79–81) in relation to the bulk composition of the silicate component of the Earth (BSE) are discussed — models E with terrestrial concentrations of CaO and Al2O3 (Earth-like models) and models M with higher refractory oxide content (Moon-like models), which determine the features of the mineralogical and seismic structure of the lunar interior. The probabilistic distribution of geochemical (oxide concentrations) and geophysical (P-, S-wave velocities and density) parameters in the four-layer lunar mantle within the range of permissible selenotherms was obtained. Systematic differences in the content of rock-forming oxides in the silicate shells of the Earth and the Moon have been revealed. Calculations of the mineral composition, P-, S-wave velocities, and density of the E/M models and two classes of conceptual geochemical models LPUM (Lunar Primitive Upper Mantle) and TWM (Taylor Whole Moon) with Earth’s silica content (~45 wt.% SiO2) and different FeO and Al2O3 contents were carried out. The justification of the SiO2-FeO-enriched (olivine-pyroxenite) lunar mantle, which has no genetic similarity with Earth’s pyrolitic mantle, is provided as a geochemical consequence of the inversion of geophysical parameters and determined by cosmochemical conditions and the Moon’s formation mechanism. The major mineral of the lunar upper mantle is high-magnesium orthopyroxene with low calcium content rather than olivine, as confirmed by Apollo seismic data and supported by spacecraft analysis of spectral data from a number of impact basin rocks. In contrast, the P- and S-wave velocities of the TWM and LPUM geochemical models, in which olivine is the major mineral of the lunar mantle, do not match the Apollo seismic data. The geochemical constraints in the scenarios for the formation of the Moon are considered. The simultaneous enrichment of the Moon in SiO2 and FeO relative to pyrolitic mantle of the Earth is incompatible with the formation of the Moon as a result of a giant impact from terrestrial matter or an impact body (bodies) of chondritic composition and becomes the same obstacle in modern scenarios of the formation of the Moon as the similarity in the isotopic compositions of lunar and terrestrial samples. The problem of how to fit these different geochemical factors into the Procrustean bed of cosmogonic models for the Earth-Moon system formation is discussed.
Full Text
 
												
	                        About the authors
O. L. Kuskov
Vernadsky Institute of Geochemistry and Analytical Chemistry of the Russian Academу of Sciences
							Author for correspondence.
							Email: ol_kuskov@mail.ru
				                					                																			                												                	Russian Federation, 							Moscow						
E. V. Kronrod
Vernadsky Institute of Geochemistry and Analytical Chemistry of the Russian Academу of Sciences
														Email: ol_kuskov@mail.ru
				                					                																			                												                	Russian Federation, 							Moscow						
V. A. Kronrod
Vernadsky Institute of Geochemistry and Analytical Chemistry of the Russian Academу of Sciences
														Email: ol_kuskov@mail.ru
				                					                																			                												                	Russian Federation, 							Moscow						
References
- Альвен Х., Аррениус Г. (1979) Эволюция Солнечной системы. М.: Мир, 512 с.
- Андерсон Д.Л. (1975) Происхождение и состав Луны. Космохимия Луны и планет / Ред. Виноградов А.П. М.: Наука, 651–670.
- Ащепков И.В. (2006) Эмпирический гpанатовый теpмобаpометp для мантийных перидотитов. Геология и геофизика. 47, 1075–1089.
- Базилевский А.Т., Абдрахимов А.М., Дорофеева В.А. Вода и другие летучие на Луне (обзор) (2012) Астрономический вестник. 46, 99–118.
- Барсуков В.Л. (1985) Сравнительная планетология и ранняя история Земли. Геохимия (1), 3–19.
- Боярчук А.А., Рускол Е.Л., Сафронов В.С., Фридман А.М. Происхождение Луны: спутниковый рой или мегаимпакт? (1998) ДАН 361, 481–484.
- Бушман А.В., Фортов В.Е. (1983) Модели уравнения состояния веществ. Успехи физических наук. 140, 177–232.
- Вегенер А. (1923 Происхождение Луны и ее кратеров. М.: ГИЗ, 48 с.
- Виноградов А.П. Вещество метеоритов (1965) Геохимия. (11), 1275–1312.
- Виноградов А.П. (1975) Дифференциация вещества Луны и планет на оболочки. Космохимия Луны и планет / Ред. Виноградов А.П. М.: Наука, 5–28.
- Витязев А.В., Печерникова Г.В. (1996) Ранняя дифференциация Земли и проблема лунного состава. Физика Земли. (6), 3–16.
- Витязев А.В., Печерникова Г.В., Сафронов В.С. (1990) Планеты земной группы. Происхождение и ранняя эволюция. М.: Наука, 295 с.
- Вуд Дж. (1971) Метеориты и происхождение Солнечной системы. М.: Мир, 172 с.
- Галимов Э.М. (1995) Проблема происхождения Луны. Основные направления геохимии. К 100-летию со дня рождения А.П.Виноградова / Ред. Галимов Э.М. М.: Наука, 8–43.
- Галимов Э.М. (2011) Образование Луны и Земли из общего супрапланетного газо-пылевого сгущения (доклад на XIX Всеросс. Симпозиуме по геохимии изотопов 16 ноября 2010 г.) Геохимия. (6), 563–580.
- Galimov E.M. (2011) Formation of the Moon and the Earth from a Common Supraplanetary Gas Dust Cloud. Lecture Presented at the XIX All-Russia Symposium on Isotope Geochemistry, November 2010. Geochem. Int. 49(6), 537–554).
- Галимов Э.М. (2019) Особые черты геохимии Луны и Земли, определяемые механизмом образования системы Земля–Луна (Доклад на 81-й Международной метеоритной конференции, Москва, июль 2018). Геохимия 64 (8), 762–776.
- Galimov E.M. (2019) Features of the geochemistry of the Moon and the Earth, determined by the mechanism of formation of the Earth — Moon system (report at the 81st international meteorite conference, Moscow, july 2018. Geochem. Int. 57 (8), 837–850.)
- Галимов Э.М. (2013) Анализ изотопных систем (Hf–W, Rb–Sr, J–Pu–Xe, U–Pb) применительно к проблемам формирования планет на примере системы Земля–Луна / Проблемы зарождения и эволюции биосферы. М.: Красанд, 47–61.
- Галимов Э. М., Okabayashi S., Yokoyama T., Hirata T., Terakado K. (2020) Проблема изотопного состава железа Земли и Луны. Измерения δ57Fe в образцах лунного грунта «Луна-16, -20, -24» (доклад на ХХII симпозиуме по геохимии стабильных изотопов, М., 29–31 октября 2019). Геохимия 65, 1043–1048.
- Galimov E.M., Okabayashi S., Yokoyama T., Hirata T., Terakado K. (2020) Problem of iron isotope composition of the Earth and Moon. Data on δ57Fe of Luna 16, Luna 20, and Luna 24 lunar soil samples (Report on the XXII Symposium on the Geochemistry of Stable Isotopes, Moscow, October 29–31, 2019). Geochem. Int. 58, 1193–1198.
- Галкин И.Н. Геофизика Луны. М.: Наука, 1978. 176 с.
- Горькавый Н.Н. (2007) Образование Луны и двойных астероидов. Изв. Крымской Астрофизической. Обсерватории 103 (2), 143–155.
- Гудкова Т.В., Раевский C.Н. (2013) О структуре собственных колебаний Луны. Астрономический вестник. 47, 13–20.
- Дайел П., Паркин К., Дейли В. (1975) Лунная электропроводность, магнитная проницаемость и температура по данным магнитных экспериментов экспедиций “Аполлон”. Космохимия Луны и планет / Ред. Виноградов А.П. М.: Наука, 1975. С. 5–28.
- Демидова С.И., Аносова М.О., Кононковa Н.Н., Нтафлос Т., Брандштеттер Ф. (2019) Фосфорсодержащие оливины лунных пород: Источники и их локализация в лунной коре. Геохимия 64, 803–825.
- Demidova S.I., Anosova M.O., Kononkova N.N., Brandstätter F., Ntaflos T. (2019) Phosphorus-bearing olivines of lunar rocks: Sources and localization in the lunar crust. Geochem. Int. 57, 873–892.
- Додд Р.Т. (1986) Метеориты. М.: Мир, 1986. 384 с.
- Долгинов Ш.Ш., Ерошенко Е.Г., Жузгов Л.Н., Шарова В.А. (1975) Магнетизм и электропроводность Луны по данным “Лунохода-2”. Космохимия Луны и планет / Ред. Виноградов А.П. М.: Наука, 197314–322.
- Дьяконова М.И., Харитонова В.Я., Явнель А.А. (1979) Химический состав метеоритов. М.: Наука.
- Жарков В.Н. (2003) Геофизические исследования планет и спутников. М.: ОИФЗ РАН.
- Жарков В.Н. (2013) Внутреннее строение Земли и планет. Элементарное введение в планетную и спутниковую геофизику. М.: ООО «Наука и образование», 414 с.
- Жарков В.Н., Калинин В.А. (1968) Уравнения состояния твердых тел при высоких давлениях и температурах. М.: Наука, 312 с.
- Зеленый Л.М., Хартов В.В., Митрофанов И.Г., Долгополов В.П. (2012) Луна: исследование и освоение. Вчера, сегодня, завтра, послезавтра. Природа (1), 23—29.
- Иванов А.В. (2014) Летучие компоненты в образцах лунного реголита. Обзор. Астрономический Вестник 48, 120–138.
- Иванов М.А., Базилевский А.Т., Бричева С.С., Гусева Е.Н., Демидов Н.Э., Захарова М., Красильников С.С. (2017) Фундаментальные проблемы изучения Луны, технические средства подходов к их решению и потенциальные регионы исследования. Астрономический Вестник 51, 473–489.
- Каминский Ф.В. (2018) Вода в нижней мантии Земли. Геохимия (12), 1099–1117.
- Kaminsky F.V. (2018) Water in the Earth’s lower mantle. Geochem. Int. 56, 1117–1134.
- Костицын Ю.А. (2012) Возраст земного ядра по изотопным данным: Согласование Hf–W И U–Pb систем. Геохимия (6), 531–554.
- Kostitsyn Yu.A. (2012) Isotopic constraints on the age of the Earth’s core: Mutual consistency of the Hf-W and U-Pb systems. Geochem. Int. 50, 481–501.
- Кронрод В.А., Кронрод Е.В., Кусков О.Л. (2014) Ограничения на тепловой режим и содержание урана в Луне по сейсмическим данным. ДАН 455, 698–702.
- Кронрод В.А., Кусков О.Л. (1997) Определение химического состава, температуры и радиуса ядра Луны по геофизическим данным. Геохимия (2), 134–142.
- Kronrod V.A., Kuskov O.L. (1997) Chemical composition, temperature, and radius of the lunar core from geophysical evidence. Geochem. Int. 35, 4–12.
- Кусков О.Л., Кронрод В.А. (2009) Геохимические ограничения на модели состава и теплового режима Луны по сейсмическим данным. Физика Земли (9), 25–40
- Кусков О.Л, Кронрод В.А., Кронрод Е.В. (2015) Термохимические ограничения на тепловой режим, состав и минералогию верхней мантии Луны по сейсмическим моделям. Астрономический вестник. Исследования Солнечной системы. 49 (2), 83–99
- Кусков О.Л, Кронрод В.А., Кронрод Е.В. (2016) Тестирование референц-модели Луны по отношению к термальному режиму и химическому составу мантии: Термодинамика против сейсмологии. Физика Земли 3, 10–18
- Кусков О.Л, Кронрод В.А., Кронрод Е.В. (2023) Внутреннее строение мантии Луны: Согласование геохимических и геофизических моделей. Астроном. вестник. Исследования Солнечной системы 57 (5), 415–438.
- Kuskov O.L., Kronrod E.V., Kronrod V.A. (2023) Internal Structure of the Lunar Mantle: Matching of geochemical and geophysical models. Solar System Research 57 (5), 426–448.
- Кусков О.Л., Галимзянов Р.Ф., Калинин В.А., Бубнова Н.Я., Хитаров Н.И. (1982) Построение термического уравнения состояния твердых фаз (периклаз, коэсит, стишовит) по их модулям сжатия и расчет фазового равновесия коэсит-стишовит. Геохимия (7), 984–1001.
- Kuskov O.L., Galimzyanov R.F., Kalinin V.A., Bubnova N.Ya., Khitarov N.I. (1982) Construction of the thermal equation of states of solids (periclase, coesite, stishovite) based on bulk modulus data and calculation of coesite-stishovite phase-equilibrium. Geochem. Int. 19, 48–65.
- Кусков О.Л., Галимзянов Р.Ф., Трускиновский Л.М., Пильченко В.А. (1983) Достоверность термодинамических расчетов химических и фазовых равновесий при сверхвысоких давлениях. Геохимия (6), 849–871.
- Kuskov O.L., Galimzanov R.F., Truskinovski L.M., Pil’chenko V.A. (1983) The reliability of thermodynamic calculations on chemical and phase equilibria at ultrahigh pressures. Geochem. Int. 20 (3), 37–48.
- Кусков О.Л., Дорофеева В.А., Кронрод В.А., Макалкин А.Б. (2009) Системы Юпитера и Сатурна. Формирование, состав и внутреннее строение крупных спутников. М.: Изд-во ЛКИ, 576 с.
- Kuskov O.L., Dorofeeva V.A., Kronrod V.A., Makalkin A.B. (2009) Systems of Jupiter and Saturn. Formation, composition and internal structure of large satellites. Moscow: LKI Publishing House, 576 p.
- Латем Г., Накамура И., Дорман Дж., Дьюнебье Ф., Юинг М., Ламлейн Д. (1975) Результаты пассивного сейсмического эксперимента по программе “Апполон”. Космохимия Луны и планет / Ред. Виноградов А.П. М.: Наука, 299–310.
- Лебедев Е.Б., Рыженко Б.Н., Буркхардт Г., Жариков А.В., Рощина И.А., Кононкова Н.Н., Зебрин С.Р. (2014) Влияние состава флюидов на упругие свойства пород (песчаника, кварцита) при высоких температурах и давлениях (в приложении к проблеме коровых волноводов). Физика Земли (3), С. 56–67.
- Левин Б.Ю., Маева С.В. (1975) Загадки происхождения и термической истории Луны. Космохимия Луны и планет. Ред. Виноградов А.П. М.: Наука, 283–298.
- Луна — шаг к технологиям освоения Солнечной системы (2011) Ред. В.П. Легостаев и В.А. Лопота. М.: РКК «Энергия», 584 с.
- Любимова Е.А. (1968) Термика Земли и Луны. М.: Наука, 279 с.
- Маров М.Я. (2016) Космос: От Солнечной системы вглубь Вселенной. М.: ФИЗМАТЛИТ, 536 c.
- Маров М.Я. (2023) Исследования Луны автоматическими космическими аппаратами. Космические исследования 61, № 1, 52–77.
- Маров М.Я., Ипатов С.И. (2023) Процессы миграции в Солнечной системе и их роль в эволюции Земли и планет. Успехи Физических Наук 193, 2–32.
- Орнатская О.И., Альбер Я.И., Рязанцева И.П. (1975) Расчеты тепловой истории Луны при различных концентрациях радиоактивных элементов с учетом дифференциации вещества при плавлении. Космохимия Луны и планет. Ред. А.П. Виноградов. М.: Наука, 258–274.
- Очерки сравнительной планетологии (1981) Флоренский К.П., Базилевский А.Т., Бурба Г.А. М.: Наука, 326 с.
- Павленкова Н.И. (1996) Роль флюидов в формировании сейсмической расслоенности земной коры. Физика Земли 4, 51–61.
- Паньков В., Ульман В., Хайнрих Р., Краке Д.Т. (1998) Термодинамика глубинных геофизических сред. Российский Журнал Наук о Земле 1, 13–52.
- Печерникова Г. В., Сергеев В. Н. (2019) Краткий обзор гипотезы формирования протолунного роя в процессе ко-аккреции с учетом ударных выбросов вещества Земли. Динамические процессы в геосферах. Сборник научных трудов ИДГ РАН 11, 92–99. М.: Графитекс.
- Поляков В.Б., Кусков О.Л. (1994) Самосогласованная модель для расчета термоупругих и калорических свойств минералов. Геохимия (7), 1096–1122.
- Пущаровский Ю.М., Пущаровский Д.Ю. (2010) Геология мантии Земли. М.: ГЕОС, 140 с.
- Раевский С.Н., Гудкова Т.В., Кусков О.Л., Кронрод В. А. (2015) О согласовании моделей внутреннего строения Луны с данными гравитационного поля. Физика Земли 1, 139–147.
- Ризванов Н.Г., Нефедьев Ю.А., Кибардина М.И. (2007) Исследования по селенодезии и динамике Луны в Казани. Астрономический Вестник. 41, 154–164.
- Рускол Е.Л. (1997) Происхождение системы Земля-Луна. М.: ОИФЗ РАН, 16 с.
- Рускол Е.Л. (1975) Происхождение Луны. М.: Наука, 188 с.
- Сергеев В.Н., Печерникова Г.В. (2020) Современные модели происхождения Луны. Динамические процессы в геосферах 12, 130–137. https://doi.org/10.26006/IDG.2020.67.47.014.
- Слюта Е.Н. (2014) Физико-механические свойства лунного грунта (обзор). Астрономический Вестник 48, 358–382.
- Токсоц М.Н., Джонстон Д.Х. (1975) Эволюция Луны и планет земной группы. Космохимия Луны и планет. Ред. А.П. Виноградов. М.: Наука, 210–240.
- Фегли Б., Пальме Г. (1991) Химические процессы в Солнечной туманности. Известия. АН СССР. Физика Земли 8, 22–33.
- Фламарион К. (1994) История неба. М.: Изд-во «Золотой век».
- Чуйкова Н.А., Насонова Л.П., Максимова Т.Г. (2020) Определение глобальных плотностных неоднородностей и напряжений внутри Луны. Астрономический Вестник. 54(4), 325–336.
- Энеев Т.М. (1979) Новая аккумуляционная модель формирования планет и структура внешних областей солнечной системы. Препринт (166). ИПМ АН СССР, 23 с.
- Юри Г.С., Макдональд Г.Дж.Ф. (1973) Возникновение и история Луны. Физика и астрономия Луны. Под ред. З. Копала. М.: Мир, 230–316.
- Afonso J.C., Fernàndez M., Ranalli G., Griffin W.L., Connolly J.A.D. (2008) Integrated geophysical-petrological modeling of the lithosphere and sublithospheric upper mantle: Methodology and applications. Geochem. Geophys. Geosystems 9 (5), Q05008.
- Afonso J.C., Fullea J., Griffin W.L., Yang Y., Jones A.G., Connolly J.A.D., O’Reill, S.Y., (2013) 3D multi-observable probabilistic inversion for the compositional and thermal structure of the lithosphere and upper mantle I: a priori information and geophysical observables. J. Geophys. Res. Solid Earth 118, 2586–2617.
- Albarede F., Albalat E., Lee C.T. (2014) An intrinsic volatility scale relevant to the Earth and Moon and the status of water in the Moon. Meteorit. Planet. Sci. 1–10. doi: 10.1111/maps.12331.
- Anderson D.L. (1975) On the composition of the lunar interior. J. Geophys. Res. 80, 1555–1557.
- Anderson D. (1977) Formation and composition of the Moon / J.H. Pimeroy and N.J. Hubbard (Editors). The Soviet-American Conference on Cosmochemistry of the Moon and planets. NASA U.S. Goverment Print. Office, Washington, DC 20402, 823–845.
- Anderson O.L., Isaak D.L., Oda H. (1991) Thermoelastic parameters for six minerals at high temperature. J. Geophys. Res. 96, 18037–18046.
- Anderson O.L., Isaak D.L., Oda H. (1992) High-temperature elastic constant data on minerals relevant to geophysics. Rev. Geophys. 30, 57–90.
- Andreev A.O, Nefedyev Yu.A., Demina N.Y., Kolosov Yu.A., Korchagina E.P. (2023) Multiparametric analysis of celestial bodies as sources of space resources. St. Petersburg Polytech. Univ. J. Phys. Math. 16, 511–516.
- Andrews-Hanna J.C., Weber R.C., Garrick-Bethell I., Evans A.J., Kiefer W.S., Grimm R.E., Keane J.T., Laneuville M., Ishihara Y., Kamata S., Matsuyama I. (2023) The structure and evolution of the lunar interior. Reviews in Mineralogy & Geochemistry 89, 243–292.
- Armytage R.M.G., Georg R.B., Williams H.M., Halliday A.N. (2012) Silicon isotopes in lunar rocks: Implications for the Moon’s formation and the early history of the Earth. Geochim. Cosmochim. Acta 77, 504–514.
- Artemieva I.M. (2009) The continental lithosphere: Reconciling thermal, seismic, and petrologic data. Lithos 109, 23–46.
- Asphaug E. (2014) Impact Origin of the Moon? Annu. Rev. Earth Planet. Sci. 42, 551–578.
- doi: 10.1146/annurev-earth-050212-124057.
- Barboni M., Boehke P., Keller B., Kohl I.E., Shoene B., Young E.D., McKeegan K.D. (2017) Early formation of the Moon 4.51 billion years ago. Science Advances 3, e1602365.
- Barnes J., French R., Garber J., Poole W., Smith P., Tian Y. (2012) Science concept 2: The structure and composition of the lunar interior provide fundamental information on the evolution of a differentiated planetary body. In: Kring, D. and Durda, D., eds. A Global Lunar Landing Site Study to Provide the Scientific Context for Exploration of the Moon. LPI Contribution No. 1694. Houston, TX: LPI, 47–131.
- Barr A.C. (2016) On the origin of Earth’s Moon. J. Geophys. Res. 121, 1573–1601.
- Barr J.A., Grove T.L. (2013) Experimental petrology of the Apollo 15 group A green glasses: Melting primordial lunar mantle and magma ocean cumulate assimilation. Geochim. Cosmochim. Acta 106, 216–230.
- Bills B.G., Rubincam D.P. (1995) Constraints on density models from radial moments: Applications to Earth, Moon, and Mars. J. Geophys. Res. 100, 26305- 26315.
- Binder A.B. (1986) The initial thermal state of the Moon. Origin of the Moon / Eds. W.K. Hartmann et al. Houston: Lunar Planet. Inst., 425–433.
- Boukaré C.-E., Parmentier E., Parman S. (2018) Timing of mantle overturn during magma ocean solidification. Earth Planet. Sci. Lett. 491, 216–225.
- Buck W.R., Toksoz M.N. (1980) The bulk composition of the Moon based on geophysical constraints. Proc. 11th Lunar Planet. Sci. Conf., 2043–2058.
- Budde G, Burkhardt C., Kleine T. (2019) Molybdenum isotopic evidence for the late accretion of outer Solar System material to Earth. Nature Astronomy https://doi.org/10.1038/s41550–019-0779-y.
- Burbine T.H., McCoy T.J., Meibom A., Gladman B., Keil K. (2002) Meteoritic parent bodies: Their number and identification / Asteroids III, Bottke W.F., Cellino A., Paolicchi P., Binzel R.P. (eds), University of Arizona Press, Tucson, 653–667,
- BVSP, 1981 — Basaltic Volcanism Study Project. Basaltic Volcanism on the Terrestrial Planets. Pergamon, New York, 1286 pp.
- Cameron A.G.W., Benz W. (1991) The origin of the Moon and the single impact hypothesis: IV. Icarus 92, 204–216.
- Cammarano F., Goes S., Vacher P., Giardini D. (2003) Inferring upper-mantle temperatures from seismic velocities. Phys. Earth Planet. Inter. 138, 197–222.
- Cammarano F., Romanowicz B., Stixrude L., Lithgow-Bertelloni C., Xu W. (2009) Inferring the thermochemical structure of the upper mantle from seismic data. Geophys. J. Int. 179, 1169–1185.
- Campbell I.H., O’Neill H.St.C. (2012) Evidence against a chondritic Earth. Nature 483. doi: 10.1038/nature10901.
- Cano E.J., Sharp Z.D., Shearer C.K. (2020) Distinct oxygen isotope compositions of the Earth and Moon. Nature Geosci. 13, 270–274.
- Canup R. M. (2004) Simulations of a late lunar-forming impact. Icarus 168, 433–456.
- Canup R.M. (2012) Forming a Moon with an Earth-like composition via a giant impact. Science 338, 1052–1055.
- Canup R.M. (2014) Lunar-forming impacts: Processes and alternatives. Phil. Trans. R. Soc. A. 372. 20130175.
- Canup R.M., Righter K., Dauphas N., Pahlevan K., Ćuk M., Lock S.J., Stewart S.T., Salmon J., Rufu R., Nakajima M., Magna T. (2023) Origin of the Moon. Reviews in Mineralogy & Geochemistry 89, 53–102. https://doi.org/10.2138/rmg.2023.89.02
- Charlier B., Grove T.L., Namur O., Holtz F. (2018) Crystallization of the lunar magma ocean and the primordial mantle-crust differentiation of the Moon. Geochim. Cosmochim. Acta 234, 50–69.
- Chenet H., Lognonné Ph., Wieczorek M., Mizutani H. (2006) Lateral variations of lunar crustal thickness from the Apollo seismic data set. Earth Planet. Sci. Lett. 243, 1–14
- Clayton R.N., Mayeda T.K. (1996) Oxygen-isotope studies of achondrites. Geochim. Cosmochim. Acta 60, 1999–2018.
- Connolly J.A.D., Khan A. (2016) Uncertainty of mantle geophysical properties computed from phase equilibrium models. Geophys. Res. Lett. 43, doi: 10.1002/2016GL068239.
- Ćuk M., Stewart S.T. (2012) Making the Moon from a fast-spinning Earth: A giant impact followed by resonant despinning, Science 338, 1047–1052.
- Dauphas N. (2017) The isotopic nature of the Earth’s accreting material through time. Nature 541, 521–524.
- Dauphas N., Burkhardt C., Warren P.H., Fang-Zhen T. (2014) Geochemical arguments for an Earth-like Moon-forming impactor. Phil. Trans. R. Soc. A. 372, 20130244.
- de Capitani C., Brown T.H. The computation of equilibrium in complex systems containing non-ideal solutions // Geochim. Cosmochim. Acta 1987. V. 51. P. 2639–2652.
- Demidova S.I., Nazarov M.A., Lorenz C.A., Kurat G., Brandstätter F., Ntaflos Th. (2007) Chemical composition of lunar meteorites and the lunar crust. Petrology 15, 386–407.
- Desch S.J., Robinson K.L. (2019) A unified model for hydrogen in the Earth and Moon: No one expects the Theia contribution. Geochemistry 79, 125546.
- Discussion Meeting Issue (2014) ‘Origin of the Moon: challenges and prospects’ organised and edited by David J. Stevenson and Alex N. Halliday. Phil. Trans. R. Soc. A. 372.
- Draper D. S., duFrane S. A., Shearer, Jr, C. K., Dwarzski R. E., Agee C. B. (2006) High-pressure phase equilibria and element partitioning experiments on Apollo 15 green C picritic glass: Implications for the role of garnet in the deep lunar interior. Geochim. Cosmochim. Acta 70, 2400–2416
- Duffy T.S., Anderson D.L. (1989) Seismic velocities in mantle minerals and the mineralogy of the upper mantle. J. Geophys. Res. 94, 1895–1912.
- Duke M.B., Gaddis L.R., Taylor G.J., Schmitt H.H. (2006) Development of the Moon. Rev. Mineralogy & Geochemistry 60, 597–656.
- Dyal P., Parkin C.W., Daily W.D. (1976) Structure of the lunar interior from magnetic field measurements. 7th. Proc. Lunar Planet. Sci. Conf., 3077–3095.
- Dziewonski A., Anderson D.L. (1981) Preliminary reference Earth model. Phys. Earth Planet. Inter. 25, 297–356.
- Elardo S.M., Draper D.S., Shearer Jr C.K. (2011) Lunar magma ocean crystallization revisited: Bulk composition, early cumulate mineralogy, and the source regions of the highlands Mg-suite // Geochim. Cosmochim. Acta 75, 3024–3045.
- Elkins-Tanton L.T., Bercovici D. (2014) Contraction or expansion of the Moon’s crust during magma ocean freezing? Phil. Trans. Roy. Soc. A. 372, 20130240.
- Elkins-Tanton L.T., Burgess S., Yin Q.-Z. (2011) The lunar magma ocean: Reconciling the solidification process with lunar petrology and geochronology. Earth and Planet. Sci. Lett. 304, 326–336.
- Fabrichnaya O.B., Kuskov O.L. (1994) Constitution of the Moon: 1. Assessment of thermodynamic properties and reliability of phase relation calculations in the FeO-MgO-Al2O3-SiO2 system. Phys. Earth Planet. Inter. 83, 175–196.
- Fabrichnaya O.B., Saxena S.K., Richet P., Westrum E.E. (2004) Thermodynamic Data, Models and Phase Diagrams in Multicomponent Oxide Systems. Springer.
- Feldman W.C., Maurice S., Binder A.B., Barraclough B.L., Elphic R.C., Lawrence D.J. (1998) Fluxes of fast and epithermal neutrons from Lunar Prospector: Evidence for water ice at the lunar poles. Science 281,1496–1500.
- Gaffney A.M., Gross J., Borg L.E., Donaldson Hanna K.L., Draper D.S., Dygert N., Elkins-Tanton L.T., Prissel K.B., Prissel T.C., Steenstra E.S., van Westrenen W. (2023) Magmatic Evolution I: Initial Differentiation of the Moon. Reviews in Mineralogy & Geochemistry 89, 103–145.
- Gagnepain-Beyneix J., Lognonné P., Chenet H., Lombardi D., Spohn T. (2006) A seismic model of the lunar mantle and constraints on temperature and mineralogy. Phys. Earth Planet. Inter. 159, 140–166.
- Galimov E.M., Krivtsov A.M. (2012) Origin of the Moon. New concept. Geochemistry and dynamics. De Gruyter, 168 pp.
- Ganapathy R., Anders E. (1974) Bulk composition of the moon and earth estimated from meteorites. Proc. 5th Lunar Conf. Suppl. 5. Geochim. Cosmochim. Acta 2, 1181–1206.
- Garcia R.F., Gagnepain-Beyneix J., Chevrot S., Lognonné P. (2011) Very preliminary reference Moon model. Phys. Earth Planet. Inter. 188, 96–113.
- Garcia R.F., Khan A., Drilleau M., Margerin L., Kawamura T., Sun D., Wieczorek M.A., Rivoldini A., Nunn C., Weber R.C., Marusiak A.G., Lognonné P., Nakamura Y., Zhu P. (2019) Lunar Seismology: An update on interior structure models. Space Sci. Rev. 215 (50). https://doi.org/10.1007/s11214–019-0613-y.
- Geiss J., Rossi A.P. (2013) On the chronology of lunar origin and evolution. Implications for Earth, Mars and the Solar System as a whole. Astron. Astrophys. Rev. 21:68.
- Georg, R.B.; Halliday, A.N.; Schauble, E.A.; Reynolds, B.C. (2007) Silicon in the Earth’s core. Nature 447, 1102–1106.
- Goins N.R., Dainty A.M., Toksoz M.N. (1981) Lunar seismology: The internal structure of the Moon. J. Geophys. Res. 86, 5061–5074.
- Grimm R.E. (2013) Geophysical constraints on the lunar Procellarum KREEP Terrane. J. Geophys. Res.: Planets 118, 768–777.
- Grimm R.E. (2023) Lunar mantle structure and composition inferred from Apollo 12 — Explorer 35 electromagnetic sounding. https://arxiv.org/ftp/arxiv/papers/2305/2305.01462.pdf.
- Grossman L., Larimer W. (1974) Early chemical history of the solar system. Rev. Geophys. Space Phys. 12, 71–101.
- Gu L., Lin Y., Chen Y., Xu Y., Tang X., Hu S., Mao H., Li J. (2023) Measurement of ferric iron in Chang’e-5 impact glass beads. Earth, Planets and Space 75:151
- Gudkova T.V., Zharkov V.N. (2002) The exploration of the lunar interior using torsional oscillations. Planet. Space Sci. 50, 1037–1048.
- Gusev A., Kawano N., Petrova N. (2003) Gravitation Investigations on the SELENE mission and the existence of a lunar core. Astron. Astroph. Trans. 22, 579–584.
- Hagermann A., Tanaka S. (2006) Ejecta deposit thickness, heat flow, and a critical ambiguity on the Moon. Geophys. Res. Lett. 33, L19203.
- Harada Y., Goossens S., Matsumoto K., Yan J., Ping J., Noda H., Haruyama J. (2014). Strong tidal heating in an ultralow-viscosity zone at the core-mantle boundary of the Moon. Nat. Geosci. 7, 569–572.
- Harris A.W., Kaula W.M. (1975) A co-accretional model of satellite formation. Icarus 24, 516–524.
- Hartmann W.K. (2014) The giant impact hypothesis: past, present (and future?). Phil. Trans. R. Soc. A. 372: 20130249.
- Hartmann W.K, Davis D.R. (1975) Satellite-sized planetesimals and lunar origin. Icarus 24, 504–515.
- Hauri E.H., Saal A.E., Rutherford M.J., Van Orman J.A. Water in the Moon’s interior: Truth and consequences (2015) Earth Planet. Sci. Lett. 409, 252–264.
- Haviland H.F, Weber R.C., Neal C.R., Lognonné P., Garcia R.F. (2022) The Lunar Geophysical Network Landing Sites Science Rationale. The Planet. Sci. J. 3:40.
- Herwartz D., Pack A., Friedrichs B., Bischoff A. (2014) Identification of the giant impactor Theia in lunar rocks. Science 344, 1146–1150.
- Hess P.C., Parmentier E.M. (1995) A model for the thermal and chemical evolution of the Moon’s interior: implications for the onset of mare volcanism. Earth Planet. Sci. Lett. 134, 501–514.
- Hiesinger H., Head J.W. (2006) New Views of Lunar Geoscience: An Introduction and Overview. New Views of the Moon. Rev. Mineral. Geochem. 60, 1–81.
- Hirschmann M.M. (2000) Mantle solidus: Experimental constrain and the effects of peridotite composition // Geochem. Geophys. Geosystem 1, 2000GC000070.
- Hood L.L. (1986) Geophysical constraints on the lunar interior / In: Origin of the Moon. Eds. Hartmann W.K., Phillips R.J., Taylor G.J. Houston, TX: LPI, 361–388.
- Hood L.L., Jones J.H. (1987) Geophysical constraints on lunar bulk composition and structure: A reassessment. J. Geophys. Res. 92E, 396 -410.
- Hosono N., Karato S., Makino J., Saitoh T.R. (2019) Terrestrial magma ocean origin of the Moon. Nature Geoscience 12, 418–423. https://doi.org/10.1038/s41561–019-0354–2
- Hu S., He H., Ji J., Ji J., Lin Y., Hui H., Anand M., Tartèse R., Yan Y., Hao J., Li R., Gu L., Guo Q., He H., Ouyang Z. (2021) A dry lunar mantle reservoir for young mare basalts of Chang’E-5. Nature 2021. https://doi.org/10.1038/s41586–021-04107–9.
- Hu X., Ma P., Yang Y., Zhu M-H., Jiang T., Lucey P.G., Sun L., Zhang H., Li C., Xu R., He Z., Lin H., Huang C., Sun Y. (2019) Mineral abundances inferred from in situ reflectance measurements of Chang’E-4 landing site in South Pole-Aitken basin. Geophys. Res. Lett. 46, 9439–9447.
- Ida S., Canup R.M., Stewart G.R. (1997) Lunar accretion from an impact-generated disk. Nature 389, 353–357.
- Ivanov M.A., Hiesinger H., van der Bogert C.H., Orgel C., Pasckert J.H., Head J.W. (2018) Geologic history of the northern portion of the South Pole-Aitken basin on the Moon. J. Geophys. Res.: Planets 123, 2585–2612.
- Jarosewich E. (1990) Chemical analyses of meteorites: A compilation of stony and iron meteorite analyses. Meteoritics 25, 323–337.
- Javoy M., Kaminski E., Guyot F., Andrault D., Sanloup C., Moreira M., Labrosse S., Jambon A., Agrinier P., Davaille A., Jaupart C. (2010) The chemical composition of the Earth: enstatite chondrite models. Earth Planet. Sci. Lett. 293, 259–268.
- Jing J-J., Lin Y., Knibbe J.S., van Westrenen W. (2022) Garnet stability in the deep lunar mantle: Constraints on the physics and chemistry of the interior of the Moon. Earth Planet. Sci. Lett. 584, id. 117491.
- Johnson T.E., Morrissey L.J., Nemchin A.A., Gardiner N.J., Snape J.F. (2021) The phases of the Moon: modelling crystallisation of the lunar magma ocean through equilibrium thermodynamics. Earth Planet. Sci. Lett. 556, id. 116721.
- Jolliff B.L. (2021) Science and exploration of the Moon: Overview. Oxford Research Encyclopedias, Planetary Science. https://doi.org/10.1093/acrefore/9780190647926.013.19.
- Jolliff, B.L., Gillis, J.J., Haskin, L.A., Korotev, R.L., Wieczorek, M.W. (2000) Major lunar crustal terranes. Surface expressions and crust–mantle origins. J. Geophys. Res. 105, 4197–4216.
- Jones A.G., Evans R.L., Eaton D.W. (2009) Velocity–conductivity relationships for mantle mineral assemblages in Archean cratonic lithosphere based on a review of laboratory data and Hashin–Shtrikman extremal bounds. Lithos. 109, 131–143.
- Jones J.H., Delano J.W. (1989) A three component model for the bulk composition of the Moon. Geochim. Cosmochim. Acta 53, 513–527.
- Jones J.H., Palme H. (2000) Geochemical constraints on the origin of the Earth and Moon. Origin of the Earth and Moon / Eds. Canup R.M. Tucson: Univ. Arizona Press, 197–216.
- Kaminsky F. (2012) Mineralogy of the lower mantle: A review of ‘super-deep’ mineral inclusions in diamond. Earth-Science Rev. 110, 127–147.
- Karato S. (1993) Importance of anelasticity in the interpretation of seismic tomography. Geophys. Res. Lett. 20, 1623–1626.
- Karato S.-I. (2013) Geophysical constraints on the water content of the lunar mantle its implications for the origin of the Moon. Earth Planet. Sci. Lett. 384, 144–153.
- Kawamura T., Lognonné P., Nishikawa Y., Tanaka S. (2017) Evaluation of deep moonquake source parameters: Implication for fault characteristics and thermal state. J. Geophys. Res.: Planets 122, 1487–1504.
- Keihm S.J., Langseth M.G. (1977) Lunar thermal regime to 300 km. Proc. 8th Lunar Sci. Conf., 499–514.
- Kennet B.L.N., Engdahl E.R. (1991) Traveltimes for global earthquake location and phase identification. Geophys. J. Int. 105, 429–465.
- Khan A., Connolly J.A.D. (2008) Constraining the composition and thermal state of Mars from inversion of geophysical data. J. Geophys. Res.: Planets. 113, E07003.
- Khan A., Mosegaard K. (2000) New information on the deep lunar interior from an inversion of lunar free oscillation periods. Geophys. Res. Lett. 28, 1791–1794.
- Khan A., Mosegaard K. (2002) An inquiry into the lunar interior — a non linear inversion of the Apollo seismic data. J. Geophys. Res. 107, doi: 10.1029/2001JE001658.
- Khan A., Connolly J.A.D., Taylor S.R. (2008) Inversion of seismic and geodetic data for the major element chemistry and temperature of the Earth’s mantle. J. Geophys. Res. 113, B09308.
- Khan A., Connolly J.A.D., Maclennan J., Mosegaard K. (2007) Joint inversion of seismic and gravity data for lunar composition and thermal state. Geophys. J. Int. 168, 243–258.
- Khan A., Connolly J.A.D., Olsen N., Mosegaard K. (2006a) Constraining the composition and thermal state of the Moon from an inversion of electromagnetic lunar day-side transfer functions. Earth Planet. Sci. Lett. 248, 579–598.
- Khan A., Maclennan J., Taylor S.R., Connolly J.A.D. (2006b) Are the Earth and the Moon compositionally alike? Inferences on lunar composition and implications for lunar origin and evolution from geophysical modeling. J. Geophys. Res. 111, E05005.
- Khan A., Connolly J.A.D., Pommier A., Noir J. (2014) Geophysical evidence for melt in the deep lunar interior and implications for lunar evolution. J. Geophys. Res. Planets 119, 2197–2221.
- Khan A., Mosegaard K., Rasmussen K.L. (2000) A new seismic velocity model for the Moon from a Monte Carlo inversion of the Apollo lunar seismic data. Geophys. Res. Lett. 27, 1591–1594.
- Khan A., Pommier A., Neumann G., Mosegaard K. (2013) The lunar moho and the internal structure of the Moon: A geophysical perspective. Tectonophys. 609, 331–352.
- Khan A., Sossi P.A., Liebske C., Rivoldini A., Giardini D. (2022) Geophysical and cosmochemical evidence for a volatile-rich Mars. Earth Planet. Sci. Lett. 578, 117330.
- Kirk R.L., Stevenson D.J. (1989) The competition between thermal contraction and differentiation in the stress history of the Moon. J. Geophys. Res. 94, 12133–12144.
- Konrad W., Spohn T. (1997) Thermal history of the Moon: Implications for an early core dynamo and post-accretional magmatism. Adv. Space Res. 19, 1511–1521.
- Kronrod V.A., Kuskov O.L. (2011) Inversion of seismic and gravity data for the composition and core sizes of the Moon. Izv. Phys. Solid Earth 47, 711–730.
- Kronrod E., Matsumoto K., Kuskov O.L., Kronrod V, Yamada R., Kamata S. (2022) Towards geochemical alternatives to geophysical models of the internal structure of the lunar mantle and core. Adv. Space Sci. 69, 2798–2824. https://doi.org/10.1016/j.asr.2022.01.012.
- Kuskov O.L. (1995) Constitution of the Moon: 3. Composition of middle mantle from seismic data. Phys. Earth Planet. Inter. 90, 55–74.
- Kuskov O.L. (1997) Constitution of the Moon: 4. Composition of the mantle from seismic data. Phys. Earth Planet. Inter. 102, 239–257.
- Kuskov O.L., Belashchenko D.K. (2016) Molecular dynamics estimates for the thermodynamic properties of the Fe–S liquid cores of the Moon, Io, Europa, and Ganymede. Sol. Syst. Res. 50, 165–183. https://doi.org/10.1134/S0038094616030035.
- Kuskov O.L., Kronrod V.A. (1998a) Constitution of the Moon: 5. Constraints on composition, density, temperature, and radius of a core. Phys. Earth Planet Inter. 107, 285- 306.
- Kuskov O.L., Kronrod V.A. (1998b) A model of the chemical differentiation of the Moon. Petrology. 6, 564–582.
- Kuskov O.L., Kronrod V.A., Annersten H. (2006) Inferring upper-mantle temperatures from seismic and geochemical constraints: Implications for Kaapvaal craton. Earth Planet. Sci. Lett. 244, 133–154.
- Kuskov O.L., Kronrod V.A., Hood L.L. (2002) Geochemical constraints on the seismic properties of the lunar mantle. Phys. Earth Planet. Inter. 134, 175–189.
- Kuskov O.L., Kronrod V.A., Prokof’ev A.A. (2011) Thermal structure and thickness of the lithospheric mantle underlying the Siberian Craton from the Kraton and Kimberlit superlong seismic profiles. Izv. Phys. Solid Earth. 47, 155–175.
- Kuskov O.L., Kronrod V.A., Kronrod E.V. (2014a) Thermo-chemical constraints on the interior structure and composition of the lunar mantle. Phys. Earth Planet. Inter. 235, 84–95.
- Kuskov O.L., Kronrod V.A., Prokof’ev A.A., Pavlenkova N.I. (2014b) Petrological–geophysical models of the internal structure of the lithospheric mantle of the Siberian craton. Petrology. 22, 17–44.
- Kuskov O.L., Kronrod E.V., Kronrod V.A. (2019a) Thermo-chemical constraints on the lunar bulk composition and the structure of a three-layer mantle. Phys. Earth Planet. Inter. 286, 1–12.
- Kuskov O.L., Kronrod E.V., Kronrod V.A. (2019b) Geochemical constraints on the cold and hot models of the Moon’s interior: 2–Three-layer mantle. Solar System Research. 53 (2), 75–90.
- Kuskov O.L., Fabrichnaya O.B. (1994) Constitution of the Moon: 2. Composition and seismic properties of the lower mantle. Phys. Earth Planet. Inter. 83, 197–216.
- doi: 10.1016/0031-9201(94)90089-2.
- Kuskov O.L., Fabrichnaya O.B., Galimsyanov R.F., Truskinovsky L.M. (1989) Computer simulation of the phase diagram for the MgO–SiO2 system at P–T parameters of the mantle transition zone. Phys. Chem. Minerals. 16, 442–454.
- Kuskov O.L., Shapkin A.I., Sidorov Yu.I. (1996) The scope for hydrosilicates to exist in the lunar mantle. Geochem. Int. 33 (10), 67–79.
- Laneuville M., Wieczorek M.A., Breuer D., Tosi N. (2013) Asymmetric thermal evolution of the Moon. J. Geophys. Res.: Planets 118, 1435–1452.
- Langseth M.G., Keihm S.J., Peters K. (1976) Revised lunar heat flow values. Proc. Lunar Planet. Sci. Conf. 7th, 3143–3171.
- Lemelin M., Lucey P.G., Miljkovic K., Gaddis L.R., Hare T., Ohtake M. (2019) The compositions of the lunar crust and uppermantle: Spectral analysis of the inner rings of lunar impact basins. Planet. Space Sci. 165, 230–243.
- Lewis J.S. (1997) Physics and Chemistry of the Solar System. San Diego: Acad. Press.
- Li C., Liu D., Liu B., Ren X., Liu J., He Z., Zuo W., Zeng X., Xu R., Tan X., Zhang X., Chen W., Shu R., Wen W., Su Y., Zhang H., Ouyang Z. (2019) Chang’E-4 initial spectroscopic identification of lunar far-side mantle-derived materials. Nature 569, 378–382.
- Liebermann R.C., Ringwood A.E. (1976) Elastic properties of anortite and the nature of the lunar crust. Earth Planet. Sci. Lett. 31, 69–74.
- Lock S.J., Bermingham K.R., Parai R., Boyet M. (2020) Geochemical constraints on the origin of the Moon and preservation of ancient terrestrial heterogeneities. Space Sci. Rev. 216:109.
- Lock S.J., Stewart S.T., Petaev M.I., Leinhardt Z., Mace M.T., Jacobsen S.B., Cuk M. (2018) The origin of the Moon within a terrestrial synestia. J. Geophys. Res. Planets. 123, 910–951.
- Lodders K. (1998) A survey of shergottite, nakhlite and chassigny meteorites whole-rock compositions. Meteorit. Planet. Sci. 33, A183-Al90.
- Lodders K. (2003) Solar system abundances and condensation temperatures of the elements. Astrophys. J. 591, 1220–1247.
- Lognonné P. (2005) Planetary seismology. Annu. Rev. Earth Planet. 33, 571–604.
- Lognonné P., Gagnepain-Beyneix J., Chenet H. (2003) A new seismic model of the Moon: implications for structure, thermal evolution and formation of the Moon. Earth Planet. Sci. Lett. 211, 27–44.
- Lognonné P., Johnson C. (2007) Planetary seismology / Shubert G. (Ed.), Planets and Moons. In: Treatise in Geophysics 10. Elsevier., 69–122 (Chapter 4).
- Longhi J. (2006) Petrogenesis of picritic mare magmas: Constraints on the extent of early lunar differentiation. Geochim. Cosmochim. Acta 70, 5919–5934.
- Lucey P.G., Taylor G.J., Malaret E. (1995) Abundance and distribution of iron on the Moon. Science. 268 (5214), 1150–1153.
- Lyubetskaya T., Korenaga J. (2007) Chemical composition of Earth’s primitive mantle and its variance: 1. Method and results. J. Geophys. Res. 112, B03211.
- Marov M.Ya., Slyuta E.N. (2021) Early steps toward the lunar base deployment: Some prospects. Acta Astronautica. 181., 28–39.
- Matsumoto K., Yamada R., Kikuchi F., Kamata S., Ishihara Y., Iwata T., Hanada H., Sasaki S. (2015) Internal structure of the Moon inferred from Apollo seismic data and selenodetic data from GRAIL and LLR. Geophys. Res. Lett. 42. doi: 10.1002/2015GL065335.
- Matsuyama I., Nimmo F., Keane J.T., Chan N.H., Taylor G.J., Wieczorek M.A., Kiefer W.S., Williams J.G. (2016) GRAIL, LLR, and LOLA constraints on the interior structure of the Moon. Geophys. Res. Lett. 43, 8365–8375.
- Maurice M., Tosi N., Schwinger S., Breuer D., Kleine T. (2020) A long-lived magma ocean on a young Moon. Sci. Adv. 6 (28). eaba8949.
- McDonough W.F. (1990) Constraints on the composition of the continental lithospheric mantle. Earth Planet. Sci. Lett. 101, 1–18.
- McDonough W.F., Sun S. (1995) The composition of the Earth. Chem. Geol. 120, 223–253.
- McSween H.Y., McLennan S.M. (2014) Mars / Treatise on Geochemistry. 2.10, 251–300.
- McSween H.Y., Mittlefehldt D.W., Beck A.W., Mayne R. G., McCoy T.J. (2010) HED meteorites and their relationship to the geology of Vesta and the Dawn mission. In: Russell C., Raymond C. (eds) The Dawn Mission to Minor Planets 4 Vesta and 1 Ceres. Springer, New York, 141–174.
- Meier M.M.M., Reufer A., Wieler R. (2014) On the origin and composition of Theia: Constraints from new models of the Giant Impact. Icarus 242, 316–328.
- Melosh H. J. (2014) New approaches to the Moon’s isotopic crisis. Phil. Trans. R. Soc. A. 14 372, 20130168.
- Melosh H. J., Kendall J., Horgan B., Johnson B. C., Bowling T., Lucey P. G., Taylor G. J. (2017). South Pole–Aitken basin ejecta reveal the Moon’s upper mantle. Geology. 45(12), 1063–1066.
- Mittlefehldt D.W. (1979) The nature of asteroidal differentiation processes: Implications for primordial heat sources. Proc. 10-th Lunar. Planet. Sci. Conf., 1975–1993.
- Morgan J.W., Hertogen J., Anders E. (1978) The moon: Composition determined by nebular processes. Moon Planets 18, 465–478. https://doi.org/10.1007/BF00897296.
- Moriarty D.P., Dygert N., Valencia S.N., Watkins R.N., Petro N.E. (2021a) The search for lunar mantle rocks exposed on the surface of the Moon. Nature Comm. 12, 4659.
- Moriarty D.P., Watkins R.N., Valencia S.N. (2021b) Evidence for a stratified upper mantle preserved within the South Pole–Aitken Basin. J. Geophys. Res: Planets 121. id. e2020JE006589.
- Mosegaard K., Tarantola A. (1995) Monte Carlo sampling of solutions to inverse problems. J. Geophys. Res. 100, 12431–12447.
- Moynier F., Agranier A., Hezel D.C., Bouvier A. (2010) Sr stable isotope composition of Earth, the Moon, Mars, Vesta and meteorites. Earth Planet. Sci. Lett. 300, 359–366.
- Mueller S., Taylor G.J., Phillips, R.J. (1988) Lunar composition: A geophysical and petrological synthesis. J. Geophys. Res. 93, 6338–6352.
- Nakajima M., Stevenson D.J. (2018) Inefficient volatile loss from the Moon-forming disk: reconciling the giant impact hypothesis and a wet Moon. Earth Planet. Sci. Lett. 487,117–126.
- Nakamura J., Latham G., Lammlein D., Ewing M., Duennebier F., Dorman J. (1974) Deep lunar interior inferred from recent seismic data. Geophys. Res. Lett. 1, 137 — 140.
- Nakamura Y. (1983) Seismic velocity structure of the lunar mantle. J. Geophys. Res. 88, 677–686.
- Nakamura Y., Koyama J. (1982) Seismic Q of the lunar upper mantle. J. Geophys. Res. 87, 4855–4861.
- Nazarov M.A., Aranovich L.Y., Demidova S.I., Ntaflos T., Brandstätter F. (2011) Aluminous enstatites of lunar meteorites and deep-seated lunar rocks. Petrology 19, 1–13.
- Neal C.R. (2001) Interior of the Moon: The presence of garnet in the primitive deep lunar mantle. J. Geophys. Res.: Planets. 106, 27865–27885.
- Neal C.R. (2009) The Moon 35 years after Apollo: What’s left to learn? Chemie der Erde 69, 3–43.
- Neal C.R., Taylor L.A. (1992) Petrogenesis of mare basalts: A record of lunar volcanism. Geochim. Cosmochim. Acta 56, 2177–2212.
- Neumann G.A., Zuber M.T., Smith. D.E., Lemoine F.G. (1996) The lunar crust: global structure and signature of major basins. J. Geophys. Res. 101, 16841–16863.
- Newcombe M.E., Nielsen S.G., Peterson L.D., Wang J., Alexander C.M.O’D., Sarafian A.R., Shimizu K., Nittler L.R., Irving A.J. (2023) Degassing of early-formed planetesimals restricted water delivery to Earth. Nature 615, 854–857
- Newsom H.E., Taylor S.R. (1989) Geochemical implications of the formation of the Moon by a single giant impact. Nature 338, 29–34.
- Nielsen S.G., Bekaert D.V., Auro M. (2021) Isotopic evidence for the formation of the Moon in a canonical giant impact. Nat. Commun. 12, 1817. https://doi.org/10.1038/s41467-021-22155-7.
- Nimmo F., Faul U.H., Garnero E.J. (2012) Dissipation at tidal and seismic frequencies in a melt-free Moon. J. Geophys. Res. 117, E09005.
- Nunn C., Garcia R.F., Nakamura Y., Marusiak A.G., Kawamura T., Sun, D., Margerin L., Weber R., Drilleau M., Wieczorek M.A., Khan A., Rivoldini A., Lognonne P., Zhu P. (2020) Lunar seismology: A data and instrumentation review. Space Sci. Rev. 216, id. 89.
- Okabayashi S., Yokoyama T., Hirata T., Terakado K., Galimov E.M. (2020) Iron isotopic composition of very low-titanium basalt deduced from iron isotopic signature in Luna 16, 20 and 24 soils. Geochim. Cosmochim. Acta 269, 1–14.
- O’Neill H.St.C. (1991) The origin of the Moon and the early history of the Earth — A chemical model. Part 1: The Moon. Geochim. Cosmochim. Acta 55, 1135–1157.
- Pahlevan K. (2018) Telltale tungsten and the Moon. Nat. Geosci. 11, 16–18.
- Pahlevan K., Stevenson J. (2007) Equilibration in the aftermath of the lunar-forming giant impact. Earth Planet. Sci. Lett. 262, 438–449.
- Paige D.A., Siegler M.A. (2016) New constraints on lunar heat flow rates from LRO Diviner Lunar Radiometer Experiment polar observations. Lunar Planet. Sci. Conf. 47, 2753.
- Paige D.A., Siegler M.A., Zhang J.A., Hayne P.O., Foote E.J. (2010). Diviner lunar radiometer observations of cold traps in the moon’s south polar region. Science 330, 479–482.
- Pavlov D.A., Williams J.G., Suvorkin V.V. (2016) Determining parameters of Moon’s orbital and rotational motion from LLR observations using GRAIL and IERS-recommended models. Celest. Mech. Dyn. Astr. 126, 61–88.
- Petrova N.K., Nefedyev Y.A., Zagidullin A.A., Andreev A.O. (2018) Use of an analytical theory for the physical libration of the Moon to detect free nutation of the lunar core. Astronomy Reports. 62, 1021–1025.
- Poitrasson F., Zambardi T., Magna T., Neal C.R. (2019) A reassessment of the iron isotope composition of the Moon and its implications for the accretion and differentiation of terrestrial planets. Geochimica Cosmochimica Acta 267, 257–274.
- Polyakov V. B. (2009) Equilibrium iron isotope fractionation at core-mantle boundary conditions. Science 323, 912–914.
- Pommier A., Walter M.J., Hao M., Yang J., Hrubiak R. (2024) Acoustic and electrical properties of Fe-Ti oxides with application to the deep lunar mantle. Earth and Planet. Sci. Lett. 628, 118570.
- Prissel T.C., Gross J. (2020) On the petrogenesis of lunar troctolites: New insights into cumulate mantle overturn & mantle exposures in impact basins. Earth Planet. Sci. Lett. 551, 116531.
- Qian W., Wang W., Zou F., Wu Z. (2018) Elasticity of orthoenstatite at high pressure and temperature: Implications for the origin of low VP/VS zones in the mantle wedge. Geophys. Res. Lett. 45, 665–673.
- Raevskiy S.N., Gudkova T.V., Kuskov O.L. et al. (2015) On reconciling the models of the interior structure of the moon with gravity data. Izv., Phys. Solid Earth 51, 134–142. https:// doi.org/10.1134/S1069351315010127.
- Rai N., van Westrenen W. (2014) Lunar core formation: New constraints from metal–silicate partitioning of siderophile elements. Earth Planet. Sci. Lett. 388, 343–352.
- Rasmussen K., Warren P. (1985) Megaregolith thickness, heat flow, and the bulk composition of the Moon. Nature 313, 121–124. https://doi.org/10.1038/313121a0.
- Reufer A., Meier M.M.M., Bentz W., Wieler R. (2012) A hit-and-run giant impact scenario. Icarus 221, 296–9.
- Righter K., Drake M. J. (1997) A magma ocean on Vesta: core formation and petrogenesis of eucrites and diogenites. Meteorit. Planet. Sci. 32, 929–944.
- Ringwood A.E. (1977) Basaltic magmatism and the bulk composition of the Moon. I. Major and Heat-Producing Elements. The Moon 16, 389–423.
- Ringwood A.E. (1979) Origin of the Earth and Moon. New York: Springer, 295 p.
- Ringwood A.E., Essene E. (1970) Petrogenesis of Apollo 11 basalts, internal constitution and origin of the Moon. Proc. Apollo 11th Lunar Sci. Conf. 1, 769–799.
- Ringwood A. E., Kesson S. E. (1976). A dynamic model for mare basalt petrogenesis. 7th Lunar Science Conf. 2, 1697–1722.
- Robinson K.L., Taylor G.J. (2014) Heterogeneous distribution of water in the Moon. Nature Geoscience 7, 401–408.
- Rubie D.C., Nimmo F., Melosh H.J. (2015) Formation of the Earth’s core. Treatise on Geophysics — Evolution of the Earth, second ed. / Stevenson, D. (Ed.), 9, 43–79.
- Rufu R., Aharonson O., Perets H.B. (2017) A multiple-impact origin for the Moon. Nature Geosci. doi: 10.1038/NGEO2866.
- Ruzicka A., Snyder G.A., Taylor L.A. (2001) Comparative geochemistry of basalts from the Moon, Earth, HED asteroid, and Mars: Implications for the origin of the Moon. Geochim. Cosmochim. Acta 65, 979–997.
- Saal A.E., Hauri E.H., Lo Cascio M., Van Orman J.A., Rutherford M.C., Cooper R.F. (2008) Volatile content of lunar volcanic glasses and the presence of water in the Moon’s interior. Nature 454, 192–195.
- Sakai R., Nagahara H., Ozawa K., Tachibana S. (2014) Composition of the lunar magma ocean constrained by the conditions for the crust formation. Icarus 229, 45–56.
- Samuel H., Ballmer M. D., Padovan S., Tosi N., Rivoldini A., Plesa A.-C. (2021) The thermo-chemical evolution of Mars with a strongly stratified mantle. J. Geophys. Res.: Planets 126, e2020JE006613.
- Samuel H., Drilleau M., Rivoldini A., Xu Z., Huang Q., Garcia R.F., Lekic V., Irving J.C.E, Badro J., Lognonné P.H., Connolly J.A.D., Kawamura T., Gudkova T., Banerdt W.B. (2023) Geophysical evidence for an enriched molten silicate layer above Mars’ core. Nature 622, doi: 10.1038/s41586–023-06601–8.
- Saxena S.K., Chatterjee N. (1986) Thermochemical data on mineral phases: The system CaO-MgO-Al2O3-SiO2. J. Petrology 27, 827–842.
- Saxena S.K., Eriksson G. (1984) Theoretical computation of mineral assemblages in pyrolite and lherzolite. J. Petrol. 24, 538–555.
- Saxena S.K., Shen G. (1992) Assessed data on heat capacity, thermal expansion, and compressibility for some oxides and silicates. J. Geophys. Res. 97, 19813–19826.
- Schmidt M.W., Kraettli G. (2022) Experimental crystallization of the lunar magma ocean, initial selenotherm and density stratification, and implications for crust formation, overturn and the bulk silicate Moon composition. J. Geophys. Res.: Planets 127. id. e2022JE007187.
- Schubert G., Spohn T., Reynolds R.T. (1986) Thermal histories, compositions and internal structures of the moons in the Solar systems. Satellites / Eds. J. A. Burns, M.S. Matthews. Tucson: Univ. of Arizona Press, 224–292.
- Schwinger S., Breuer D. (2022) Employing magma ocean crystallization models to constrain structure and composition of the lunar interior. Phys. Earth Planet. Inter. 322, 106831.
- Shearer C.K., Hess P.C., Wieczorek M.A. Pritchard M.E., Parmentier E.M., Borg L.E., Longhi J., Elkins-Tanton L.T., Neal C.R., Antonenko I., Canup R.M., Halliday A.N., Grove T.L., Hager B.H., Lee D-C., Wiechert U. (2006) Thermal and magmatic evolution of the Moon. Rev. Mineral. Geochem. 60, 365–518.
- Sheng Si-Z., Su B., Wang S-J., Chen Y., Li Q-L., Wang H., Hui H., Wu S., Zhang B., Yuan J-Y. (2024) Orthopyroxene-dominated upper mantle melting built the early crust of the Moon. Communications Earth & Environment 5,403.
- Siegler M.A., Smrekar S.E. (2014) Lunar heat flow: Regional prospective of the Apollo landing sites. J. Geophys. Res.: Planets 119, 47–63.
- Siegler M., Nagihara S., Grott M., Warren P., Paige D., Kiefer W., Smrekar S., Wieczorek M. (2020) Lunar Heat Flow: Global Predictions and Reduced Heat Flux. Science Definition Team for Artemis 2017.
- Snyder G.A., Taylor L.A., Neal C.R. (1992) A chemical model for generating the source of mare basalts: Combined equilibrium and fractional crystallization of the lunar magmasphere. Geochim. Cosmochim. Acta 56, 3809–3823.
- Solomon S.C. (1986) On the early thermal state of the Moon / Origin of the Moon / Hartmann W.K. et al. (Eds). Houston, TX: LPI, 435–452.
- Sossi P.A., Moynier F. (2017) Chemical and isotopic kinship of iron in the Earth and Moon deduced from the lunar Mg-Suite. Earth Planet. Sci. Lett. 471, 125–135.
- Steenstra E.S., Berndt J., Klemme S., Fei Y., van Westrenen W. (2020) A possible high-temperature origin of the Moon and its geochemical consequences. Earth Planet. Sci. Lett. 538, 116222.
- Steinberger B., Zhao D., Werne S.C. (2015) Interior structure of the Moon: Constraints from seismic tomography, gravity and topography. Phys. Earth Planet. Inter. 245, 26–39.
- Stevenson D.J. Origin of the Moon — The collision hypothesis (1987) Annu. Rev. Earth Planet. Sci., 271–315.
- Stixrude L., Jeanloz R. (2015) Constraints on seismic models from other disciplines — Constraints from mineral physics on seismological models / Treatise on Geophysics, Seismology and the Structure of the Earth, 1, 829–852.
- Sun L., Lucey P.G. (2024) High Mg# orthopyroxenite exposure sites around the South Pole-Aitken basin: Candidate mantle exposures. 55th Lunar Planet. Sci. Conf., 1435.
- Svetsov V.V., Pechernikova G.V., Vityazev A.V. (2012) A model of Moon formation from ejecta of macroimpacts on the Earth. 43rd Lunar Planet. Sci. Conf. 1808.
- Tao S., Shi Y-L., Zhu B-J. (2023) Preliminary analysis of the relationship between the thermal stress of the Moon in cooling process and moonquake mechanisms. Chinese J. Geophys. 66, 3730–3746.
- Taylor G.J. (2013) The bulk composition of Mars. Chemie der Erde-Geochemistry 73, 401–420.
- Taylor G.J., Wieczorek M.A. (2014) Lunar bulk chemical composition: a post-Gravity Recovery and Interior Laboratory reassessment. Phil. Trans. R. Soc. A. 372: 20130242.
- Taylor R. (2016) The Moon. Acta Geochim. 35, 1–13
- Taylor S.R. (1982) Planetary Science: A Lunar Perspective. Houston. TX. LPI. 481 pp.
- Taylor S.R. (1987) The unique lunar composition and its bearing on the origin of the Moon. Geochim. Cosmochim. Acta 51, 1297–1309.
- Taylor S.R., Jakes P. (1977) Geochemical zoning and early differentiation in the Moon / J.H. Pimeroy and N.J. Hubbard (Editors). The Soviet-American Conference on Cosmochemistry of the Moon and planets. NASA U.S. Government Print. Office, Washington, DC 20402, 55–61.
- Taylor S.R ., Taylor G.J., Taylor L.A. (2006) The Moon: A Taylor perspective. Geochim. Cosmochim. Acta 70, 594–5918.
- Toksoz M.N. (1974) Geophysical data and the interior of the Moon. Annu. Rev. Earth Planet. Sci. 2, 151–177.
- Urey H.C. (1951) The origin and development of the earth and other terrestrial planets. Geochim. Cosmochim. Acta 1 (4–6), 209–277.
- van Kan Parker M., Sanloup С., Sator N., Guillot B., Tronche E.J., Perrillat J.-P., Mezouar M., Rai N., van Westrenen W. (2012) Neutral buoyancy of titanium-rich melts in the deep lunar interior. Nat. Geosci. 5, 186–189.
- Wanke H., Dreibus G. (1986) Geochemical evidence for the formation of the Moon by impact-induced fission of the proto-Earth. Origin of the Moon / Eds. W.K. Hartmann, R.J. Phillips and G.J. Taylor, Lunar Planet. Inst., Houston, 649–672.
- Wade J., Wood B.J. (2016) The oxidation state and mass of the Moon-forming impactor. Earth Planet. Sci. Lett. 442, 186–193.
- Walterová M., Běhounková M., Efroimsky M. (2023). Is there a semi-molten layer at the base of the lunar mantle? J. Geophys. Res.: Planets 128, e2022JE007652.
- Warren P.H. (2005) ‘‘New’’ lunar meteorites: implications for composition of the global lunar surface, lunar crust, and the bulk Moon. Meteorit. Planet. Sci. 40, 477–506.
- Warren P.H., Rasmussen K.L. (1987) Megaregolith insulation, internal temperatures, and bulk uranium content of the Moon. J. Geophys. Res. 92(B5), 3453–3465.
- Watters T.R., Robinson M.S., Banks M.E., Tran T., Denevi B.W. (2012) Recent extensional tectonics on the Moon revealed by the Lunar Reconnaissance Orbiter Camera. Nat. Geosci. 5, 181–185.
- Weber R.C., Lin P., Garnero E.J., Williams Q., Lognonné P. (2011) Seismic detection of the lunar core. Science 331, 309–312.
- Wei G., Li X., Gan H., Shi Y. (2023) Retrieval of lunar polar heat flow from Chang’E-2 microwave radiometer and Diviner observations. Front. Astron. Space Sci. 10,1179558.
- Weidenschilling S.J., Greenberg R., Chapman C.R., Herbert F., Davis D.R., Drake M. J., Jones J., Hartmann W. K. (1986) Origin of the Moon from a circum terrestrial disk. Origin of the Moon / (eds.: W.K. Hartman et al.). Lunar Planet. Inst., Houston, 731–762.
- Wiechert U., Halliday A.N., Lee D.C., Synder G.A., Taylor L.A., Rumble D. (2001) Oxygen isotopes and the moon-forming giant impact. Science 294(5541), 345–348.
- Wieczorek M.A., Phillips R.J. (2000) The “Procellarum KREEP Terrane”: Implications for mare volcanism and lunar evolution. J. Geophys. Res. 105E, 20417–20430.
- Wieczorek M.A., Jolliff B.J., Khan A., Pritchard M.E., Weiss B.J., Williams J.G., Hood L.L., Righter K., Neal C.R., Shearer C.K., McCallum I.S., Tompkins S., Hawke B.R., Peterson C., Gillis J.J., Bussey B. (2006) The constitution and structure of the lunar interior. Rev. Mineral. Geochem. 60, 221–364.
- Wieczorek M.A., Neumann G.A., Nimmo F., Kiefer W.S., Taylor G.J., Melosh H.J., Phillips R.J., Solomon S.C., Andrews-Hanna J.C., Asmar S.W., Konopliv A.S., Lemoine F.G., Smith D.E., Watkins M.M., Williams J.G., Zuber M.T. (2013) The crust of the Moon as seen by GRAIL. Science 339, 671–675.
- Williams J.G., Boggs D.H., Yoder C.F., Ratcliff J.T., Dickey J.O. (2001) Lunar rotational dissipation in solid body and molten core. J. Geophys. Res. 106, 27933–27968.
- Williams J.G., Boggs D.H. (2015) Tides on the Moon: Theory and determination of dissipation. J. Geophys. Res.: Planets 120, 689–724. doi: 10.1002/2014je004755.
- Williams J.G., Konopliv A.S., Boggs D.H., Park R.S., Yuan D-N., Lemoine F.G., Goossen S., Mazarico E., Nimmo F., Weber R.C., Asmar S.W., Melosh H.J., Neumann G.A., Phillips R.J., Smith D.E., Solomon S.C., Watkins M.M., Wieczorek M.A., Andrews-Hanna J.C., Head J.W., Kiefer W.S, Matsuyama I., McGovern P.J., Taylor G.J., Zuber M.T. (2014) Lunar interior properties from the GRAIL mission. J. Geophys. Res.: Planets. doi: 10.1002/2013JE004559.
- Wissing R., Hobbs D. (2020) A new equation of state applied to planetary impacts II. Lunar-forming impact simulations with a primordial magma ocean. Astronom. Astrophys. 643. A40.
- Wood M.C., Gréaux S., Kono Y., Kakizawa S., Ishikawa Y., Inoué S., Kuwahara H., Higo Y., Tsujino N., Irifune T. (2024) Sound velocities in lunar mantle aggregates at simultaneous high pressures and temperatures: Implications for the presence of garnet in the deep lunar interior. Earth Planet. Sci. Lett. 641, 118792.
- Xiao L., Head J.W. (2020) Geological characteristics of the Moon. Oxford Research Encyclopedias, Planetary Science. https://doi.org/10.1093/acrefore/9780190647926.013.90.
- Yamada R., Matsumoto K., Kikuchi F., Sasaki S. (2014) Error determination of lunar interior structure by lunar geodetic data on seismic restriction. Phys. Earth Planet. Inter. 231, 56–64.
- Yamamoto S., Nagaoka H., Ohtake M., Kayama M., Karouji Y., Ishihara Y., Haruyama J. (2023) Lunar mantle composition based on spectral and geologic analysis of low-Ca pyroxene and olivine-rich rocks exposed on the lunar surface. J. Geophys.Res.: Planets. 128, e2023JE007817.
- Yanai K. (1997) General view of twelve martian meteorites. Mineral. J. 19, 65–74.
- Yang B., Wang Y. (2023) Analysis of reliability and accuracy of lunar core detection based on Apollo moonquake observation. Front. Astron. Space Sci. 10:1217990. doi: 10.3389/fspas.2023.1217990.
- Yang H., Zhao W. (2015) Improved views of the Moon in the early twenty first century: A Review. Earth Moon Planets 114, 101–135.
- Yang X. (2012) Orientation-related electrical conductivity of hydrous olivine, clinopyroxene and plagioclase and implications for the structure of the lower continental crust and uppermost mantle. Earth Planet. Sci. Lett. 317–318, 241–250.
- Yang Z., Wang G., Xu Y., Zeng Y., Zhang Z. (2022) A review of the lunar 182Hf-182W isotope system research. Minerals 12, 759.
- Yoshizaki T., McDonough W.F. (2020) The composition of Mars. Geochim. Cosmochim. Acta 273, 137–162.
- Yu S., Tosi N., Schwinger S., Maurice M., Breuer D., Xiao L. (2019) Overturn of ilmenite-bearing cumulates in a rheologically weak lunar mantle. J. Geophys. Res.: Planets 124, 418–436.
- Zhang D., Li X., Li Q., Lang L., Zheng Y. (2014) Lunar surface heat flow mapping from radioactive elements measured by Lunar Prospector, Acta Astronaut., 99, 85–91.
- Zhang J., Liu J. (2024) Thorium anomaly on the lunar surface and its indicative meaning. Acta Geochim. 43, 507–519.
- Zhang J., Head J.W., Liu J., Potter R.W.K. (2023) Lunar Procellarum KREEP Terrane (PKT) stratigraphy and structure with depth: Evidence for significantly decreased Th concentrations and thermal evolution consequences. Remote Sens. 15, 1861.
- Zhang N., Parmentier E.M., Liang Y. (2013) A 3D numerical study of the thermal evolution of the Moon after cumulate mantle overturn: The importance of rheology and core solidification. J. Geophys. Res. Planets 118, 1789–1804.
- Zhu M.‐H., Wünnemann K., Potter R.W.K., Kleine T., Morbidelli A. (2019) Are the Moon’s nearside‐farside asymmetries the result of a giant impact? J. Geophys. Res. Planets 124. https://doi.org/10.1029/2018JE005826.
Supplementary files
 
				
			 
					 
						 
						 
						 
						 
				
 
  
  
  Email this article
			Email this article 
 Open Access
		                                Open Access Access granted
						Access granted












