Mathematical model of a fractional nonlinear Mathieu
- Авторлар: Otenova A.Z.1, Parovik R.I.1,2
-
Мекемелер:
- National University named after Mirzo Ulugbek
- Institute of Cosmophysical Research and Radio Wave Propagation FEB RAS
- Шығарылым: Том 46, № 1 (2024)
- Беттер: 70-88
- Бөлім: Mathematical modeling
- URL: https://journal-vniispk.ru/2079-6641/article/view/256410
- DOI: https://doi.org/10.26117/2079-6641-2024-46-1-70-88
- EDN: https://elibrary.ru/MQEHDX
- ID: 256410
Дәйексөз келтіру
Толық мәтін
Аннотация
The work studies the fractional nonlinear Mathieu oscillator using numerical analysis methods in order to establish its various oscillatory modes. Mathieu’s fractional nonlinear oscillator is an ordinary nonlinear differential equation with fractional derivatives in the Gerasimov-Caputo sense and local initial conditions (Cauchy problem). Gerasimov-Caputo fractional derivatives characterize the presence of the heredity effect in an oscillatory system. In such a system, its current state depends on the previous history. To study the Cauchy problem, a numerical method from the predictor-corrector family was used - the Adams-Bashforth-Moulton method, the algorithm of which was implemented in the Matlab computer mathematics system. Using a numerical algorithm, oscillograms and phase trajectories were constructed for various values of the parameters of the Mathieu fractional nonlinear oscillator. It is shown that in the absence of an external periodic influence, self-oscillations can arise in the oscillatory system under consideration, which are characterized by limit cycles on the phase trajectory. A study of limit cycles was carried out using computer simulation. It has been shown that aperiodic regimes can also arise, i.e. modes that are not oscillatory. Therefore, the orders of fractional derivatives can be influenced by the oscillatory mode of a nonlinear fractional Mathieu oscillator: from oscillations with a constant amplitude to damped ones and disappearing completely.
Толық мәтін
Введение
В настоящее время широкий интерес получила теория дробных колебательных систем или осцилляторов [?], которая исследуется в рамках дробной динамики [?]. Повышенный интерес дробных осцилляторов связан с различными прикладными задачами реальных колебательных процессов и систем, в которых возникают эффекты наследственности или памяти. Эти эффекты указывают на то, что текущее состояние рассматриваемой системы может зависеть от предыдущих состояний, т.е. от предыстории. Наследственность может возникать в различных динамических системах в условиях оказания на них воздействия, причем это воздействие может проявляется не мгновенно, а постепенно с некоторой задержкой. Такие эффекты изучаются, например, в рамках наследственной механики при описании вязкоупругих сред [?]. С точки зрения математики описанием наследственных процессов более детально занимался итальянский математик Вито Вольтерра [?]. Он предложил описывать наследственность (эредитарность) с помощью интегро-дифференциальных уравнений с разностными ядрами, которые назвал функциями памяти. Однако можно перейти к хорошо разработанному математическому аппарату дробного исчисления [?, ?], если функции памяти выбрать степенными. Поэтому осциллятор, который можно описать с помощью дробных производных мы будем называть дробным осциллятором. Более полное описание осцилляторов с дробной производной Римана-Лиувилля дается в книге [?], там же исследуются вопросы существования хаотических и регулярных режимов некоторых нелинейных дробных осцилляторов. В одной из глав монографии [?] дается описание осцилляторов с производной Герасимова-Капуто и их примерная классификация, приводятся численные методы исследования, а также качественный анализ некоторых дробных осцилляторов, а в монографии [?] раскрываются вопросы их существования хаотических и регулярных режимов.
В настоящей работе объектом нашего исследования является осциллятор Матье с кубической нелинейностью и некоторые его модификации. Линейный осциллятор Матье впервые был применен в 1868 году французским математиком Э. Матье для описания задачи о колебании эллиптической мембраны [?]. Потом осциллятор Матье применялся для изучения распространения электромагнитных волн в эллиптическом цилиндре [?]. Однако наибольший интерес в осцилляторе Матье представляет эффект параметрического резонанса, который возникает за счет временного возбуждения параметров колебательной системы. Этот эффект используется в различных параметрических генераторах, которые были разработаны как усилители с минимальными тепловыми шумами в радио- и микроволновом диапазоне частот [?], в СВЧ-электронике [?], в преобразователях частоты от аудио к радиочастотам, в лазерной оптике [?]. Осциллятор Матье с кубической нелинейностью, например, исследовался в статьях [?, ?, ?, ?], изучались его периодические решения, строились диаграммы Стретта-Айнса областей существования параметрического резонанса. Широко также его применение в инженерных науках. Инженерные приложения включают описание нелинейных электронных схем, известных как параметрические усилители или исследование динамического отклика микроэлектромеханического датчика. В зависимости от способа подачи сигнала напряжения поведение устройства можно описать с помощью осциллятора Матье с кубической нелинейностью.
В качестве модификации в настоящей работе нелинейный осциллятор Матье рассматривается с дробными производными Герасимова-Капуто. Необходимо отметить, что линейный дробный осциллятор Матье был исследован в статьях одного из автора [?, ?, ?]. Рассмотрены вопросы существования и единственности решения задачи Коши, проведен численный анализ решения построены осциллограммы и фазовые траектории, построены диаграммы Стретта-Айнса областей устойчивости и неустойчивости для главного параметрического резонанса. Целью настоящей работы с помощью численных алгоритмов исследовать решения задачи Коши, построить осциллограммы и фазовые траектории. Показать, что фазовые траектории могут быть замкнутыми или существование автоколебаний в системе, а также установить роль порядков дробных производных в модельном уравнении в формировании того или иного колебательного режима.
Постановка задачи и методика решения
В статье [?] было приведено нелинейное осцилляционное уравнение Матье для описания работы микроэлектромеханического датчика:
(1)
где — параметры колебательной системы.
В уравнении (1) кубическая жесткость может быть обусловлена как механическими, так и электрическими эффектами, она сильно влияет на динамический отклик микроэлектромеханического датчика: при изменении амплитуды напряжения приложенного электрического сигнала резко меняется частотная характеристика параметрического резонанса первого порядка [?].
Далее в статье [?] исследуется более простое уравнение при значении параметров :
(2)
Далее были исследованы первые резонансы с помощью теории возмущений при малых значениях , показано, что все аттракторы отличные от начала координат являются субгармоническими решениями.
Замечание [1] Отметим, что если в уравнении (2) , то оно описывает автономный осциллятор с кубической восстанавливающей силой и его решение можно записать с помощью эллиптических функций Якоби. Eсли и осциллятор испытывает воздействие параметрической внешней силой и силы трения .
Замечание [2] Необходимо также отметить, что в статье [?] уравнение (2) авторы называют классическим нелинейным уравнением Матье. Мы также будем следовать этой терминологией.
Модификация уравнения (2) может быть представлена в виде:
(3)
где — заданные константы, определяющие начальные условия задачи Коши, производные дробных порядков и понимаются в смысле Герасимова-Капуто [?, ?]:
Здесь — гамма-функция Эйлера.
Замечание [3] Модификация уравнения (3) означает, что осциллятор Матье с кубической нелинейностью обладает эффектами наследственности. В работах [?, ?] показано, что дробный инерциальный член в модельном уравнении осциллятора приводит к диссипации энергии подобно силе трения, а порядки дробных производных связаны с добротностью колебательной системы. Однако, если колебательная система может генерировать автоколебания, то наличие дробного инерциального члена может также приводить к автоколебательным режимам. Покажем это суждение на конкретном примере в настоящей статье.
Замечание [4] Если порядки дробных производных принимают значения и , то мы получаем классический нелинейный осциллятор Матье (2).
Замечание [5] Вопросы существования единственности решения задачи Коши для широкого класса дробных осцилляторов, включая (3) рассмотрено в статье одного из авторов [?].
Замечание [6] Задачу Коши (3) будем называть дробным нелинейным осциллятором Матье.
В силу нелинейности модельного уравнения (3) решение нелинейного дробного осциллятора Матье будем искать численными методами. В работе [?] авторами был предложен численный алгоритм на основе нелокальной явной конечно-разностной схемы. Приведем расчетные формулы. Для этого введем в рассмотрение равномерную сетку на отрезке , разбив его на N частей с шагом дискретизации . Введем в рассмотрение сеточную функцию решения . Аппроксимации производных дробных порядков в модельном уравнении (3) имеют вид:
Применяя данные аппроксимации к задаче Коши (3), мы получаем следующую расчетную формулу дискретного аналога задачи Коши для сеточной функции :
(4)
Замечание [7] Можно показать, используя технику статьи [?], что явная нелокальная конечно-разностная схема условно сходится с первым порядком, т.е. .
В настоящей статье мы будем использовать численный алгоритм, основанный на семействе методов предиктор-корректор (метод Адамса-Башфорта-Мултона). Более подробно изучить метод АБМ и его свойства можно, например, в следующих работах [?, ?, ?].
Для получения расчетных формул по методу АБМ запишем задачу Коши (3) в виде следующей системы:
(5)
где , причем , — дробная часть числа.
Далее на равномерной расчетной сетке вводим сеточные функции и , которые можно получить по формуле Адамса-Башфорта или предиктора:
(6)
Для корректора (формула Адамса-Моултона) получим:
(7)
где , а весовые коэффициенты в (7) определяются по формуле:
Для анализа погрешности метода АБМ необходимы следующие леммы.
Лемма [1] Если функция , тогда справедлива следующая оценка:
(8)
где — чебышевская норма, , .
Лемма [2] Если функция , тогда существует константа , которая зависит только от такая что:
(9)
Теорема. Если и выполнены оценки
(10)
(11)
тогда метод АБМ (6) и (7) сходится с порядком q:
(12)
где — константы.
Доказательство. Доказательство теоремы основано на методе математической индукции с учетом Леммы 1 (8) и Леммы 2 (9).
Замечание [8] В случае классического нелинейного осциллятора Матье согласно оценке (12) следует, что метод АБМ имеет второй порядок точности .
Покажем, что Замечание 8 имеет место быть на примере оценки вычислительной точности по правилу Рунге [?]. Для этих целей введем следующие расчетные формулы:
(13)
где теоретический порядок точности метода АБМ согласно оценке (12), — погрешности метода АБМ, — численное решение на шаге , численное решение на шаге . Вычислительная точность p будет определяться по формулам:
(14)
шаги расчетной сетки, погрешности решения на шаге .
Приведем пример оценки вычислительной точности по правилу Рунге (13), (14) для нелинейного классического осциллятора Матье () при следующих значений его параметров: . Результаты расчетов приведены в таб.1.
Table 1: Оценка вычислительной точности p при . [Estimation of computational accuracy p at .]
N |
|
|
|
|
|
| 1/10 |
|
| — | — |
| 1/20 |
|
| 1.173 | 2.009 |
| 1/40 |
|
| 1.722 | 2.008 |
| 1/80 |
|
| 1.882 | 2.005 |
| 1/160 |
|
| 1.947 | 2.002 |
| 1/320 |
|
| 1.971 | 2.001 |
| 1/640 |
|
| 1.986 | 1.998 |
Мы видим (таб. 1), что вычислительная точность p достаточно хорошо согласуется с теоретической .
Приведем следующий пример для дробного нелинейного осциллятора Матье при , остальные значения параметров возьмем из предыдущего примера.
Table 2: Оценка вычислительной точности p при . [Estimation of computational accuracy p at .]
N |
|
|
|
|
|
| 1/10 |
|
| — | — |
| 1/20 |
|
| 1.356 | 1.816 |
| 1/40 |
|
| 1.703 | 1.802 |
| 1/80 |
|
| 1.797 | 1.789 |
Заметим, что согласно оценке (12) теоретический порядок точности для этого примера и он хорошо согласуется с табличными данными (таб. 2).
В табл.3 приведен другой пример оценки вычислительной точности p со значениями и .
Table 3: Оценка вычислительной точности при . [Estimation of computational accuracy at ]
N |
|
|
|
|
|
| 1/10 |
|
| — | — |
| 1/20 |
|
| 1.715 | 1.753 |
| 1/40 |
|
| 1.717 | 1.676 |
| 1/80 |
|
| 1.575 | 1.635 |
Отметим, что здесь теоретический порядок точности , которому стремиться вычислительный порядок p.
Результаты моделирования
Пример [1] Классический нелинейный осциллятор Матье. Рассмотрим, случай когда в системе (5) , значения параметров: . Проведем расчеты по явной конечно-разностной схеме (4), по методу АБМ второго порядка (6) и (7), а также по методу Рунге-Кутта 4 порядка. Результаты расчетов приведены на рис.1.
Рис. 1. Осциллограммы
Figure 1. Oscillograms.
На рис.1 мы видим, что явная конечно-разностная схема со временем становится не устойчивой и поэтому необходимо уменьшать шаг дискретизации расчетной сетки. В тоже время метод АБМ дает приемлемый результат. Как было сказано выше, согласно Замечанию 8, классический метод АБМ обладает вторым порядком точности. Поэтому мы в этой работе будем использовать метод АБМ. Построим с помощью него фазовую траекторию для классического нелинейного осциллятора Матье (рис.2).
Рис. 2. Фазовая траектория
Figure. 2. Phase trajectory.
Фазовая траектория на рис.2 для нелинейного осциллятора Матье [?]. Напомним, что классический (линейный или нелинейный) осциллятор Матье описывает параметрический резонанс. Параметрический резонанс возникает в результате изменения параметров системы и сопровождается ростом амплитуды колебаний. Здесь мы видим рост амплитуды, а далее происходит с некоторого момента времени ее убывание. В первом случае значения параметров осциллятора Матье попали в область неустойчивости, а во втором — в область устойчивости. Определение областей устойчивости и неустойчивости — отдельная задача, которая заключается в построении диаграмм Стретта-Айнса. В статье [?] для дробного линейного осциллятора Матье были построены диаграммы Стретта-Айнса для главного резонанса. Было показано, что порядки дробных производных деформируют области устойчивости и неустойчивости.
Рассмотрим другие примеры, как изменение значений порядков дробных производных влияет на колебательные режимы.
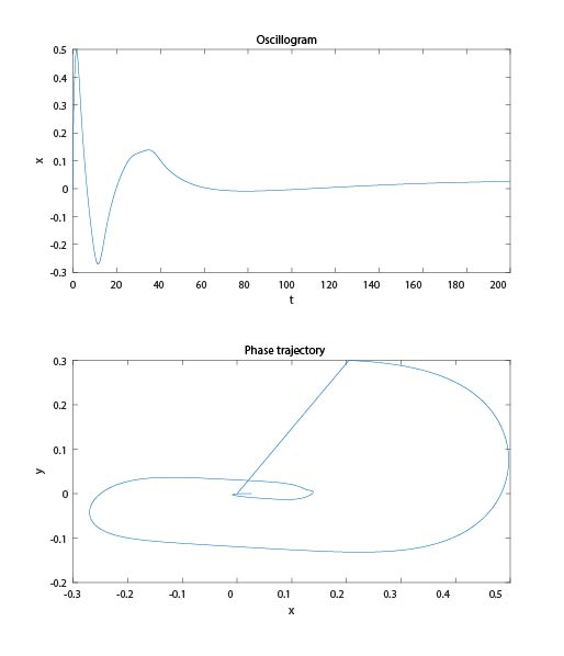
Пример [2] Дробный нелинейный осциллятор Матье. Пусть значения параметров , а остальные параметры — из предыдущего примера. Результаты расчетов приведены на рис.3.
Рис. 3. Осциллограмма и фазовая траектория
Figure 3. Oscillogram and phase trajectory.
Мы видим, что со временем колебания устанавливаются, фазовая траектория выходит на замкнутую орбиту — предельный цикл. Это может означать наличие автоколебательного режима, т.е. режима колебаний, который обеспечивается не внешней периодической силой, а самой системой. Возьмем параметры , а остальные оставим без изменения.
На рис.4 приведена осциллограмма и фазовая траектория, построенные по методу АБМ (6), (7). Здесь мы видим также формирование другого предельного цикла, со временем амплитуда колебаний устанавливается. Возьмем значения параметров . Приходим к следующему результату (рис.5).
Рис. 4. Осциллограмма и фазовая траектория.
Figure 4. Oscillogram and phase trajectory.
Рис. 5. Осциллограмма и фазовая траектория
Figure 5. Oscillogram and phase trajectory.
На рис.5 мы видим выход фазовой траектории на предельный цикл. Покажем, что такой предельный цикл может быть не устойчивым. Напомним определение устойчивости предельного цикла.
Определение [3] Предельный цикл называется устойчивым, если все фазовые траектории, начинающиеся в -окрестности, асимптотически приближаются к предельному циклу при .
Определение [4] Предельные циклы, у которых близкие фазовые траектории неограниченно к ним приближаются называются аттракторами. Предельные циклы, у которых близкие фазовые траектории от них отталкиваются называются репеллерами.
На рис.3-5 приведены предельные циклы, которые являются аттракторами.
Проверим является ли предельный цикл на рис.5 устойчивым. Для этой цели построим две фазовые траектории с различными начальными условиями, взятыми как вне этого цикла так и внутри него . Результаты расчетов приведены на рис.6.
Рис. 6. Осциллограммы и фазовые траектории при различных начальных условиях
Figure 6. Oscillograms and phase trajectories for various initial conditions.
На рис.6 приведены различные фазовые траектории, которые наматываются (притягиваются) к различным аттракторам (предельным циклам). Поэтому предельный цикл согласно Определению 3 здесь не является устойчивым.
Замечание [9] Необходимо отметить, что существование предельного цикла в дробных колебательных системах заслуживает строгого доказательства по аналогии с теоремой Бендиксона [?].
Замечание [10] Необходимо отметить, что, если мы будем уменьшать значения порядка дробной производной при фиксированном , то колебания перейдут в апериодический режим, т.е. совсем исчезнут (рис.7).
Рис. 7. Осциллограммы и фазовые траектории при значениях β1 = 0.8, β2 = 1.
Figure 7. Oscillograms and phase trajectories at values β1 = 0.8, β2 = 1.
Исходя из анализа полученных результатов, можно сделать вывод о том, что эффекты памяти для нелинейного осциллятора Матье приводят к различным колебательным режимам. Несмотря на то, что дробная производная присутствует в инерциальном члене модельного уравнения нелинейного осциллятора Матье, фазовые траектории выходят на предельный цикл, что в свою очередь указывает на наличие автоколебаний. Порядки дробных производных влияют на время выхода фазовой траектории на предельный цикл.
Заключение
В работе был исследован дробный нелинейный осциллятор Матье с помощью численного метода Адамса-Башфорта-Мултона. Показано, что метод АБМ более точен, чем явная конечно-разностная схема. Было установлено, что, не смотря на отсутствие внешней периодической силы возникают автоколебательные режимы: колебания выходят на установившейся уровень, а фазовая траектория на предельный цикл, который может быть неустойчивым. Было также показано, что порядки дробных производных могут влиять на колебательный режим: от колебаний с постоянной амплитудой до затухающих и исчезающих совсем. Дальнейшее продолжение работы может идти по следующим направлениям:
1) качественный анализ дробного нелинейного осциллятора Матье, исследование параметрического резонанса, предельных циклов и т.д.
2) обобщение модельного уравнения, например, исследование вынужденных колебаний [?] или учет переменной памяти т.е. введение дробных производных переменного порядка [?].
Авторлар туралы
Aysanem Otenova
National University named after Mirzo Ulugbek
Email: parovik@ikir.ru
ORCID iD: 0009-0004-1225-1832
2nd year master’s student "Applied Mathematics"
Өзбекстан, 100174, Tashkent, st. Universitetskaya, 4Roman Parovik
National University named after Mirzo Ulugbek; Institute of Cosmophysical Research and Radio Wave Propagation FEB RAS
Хат алмасуға жауапты Автор.
Email: parovik@ikir.ru
ORCID iD: 0000-0002-1576-1860
D. Sci. (Phys. & Math.), Associate Professor, Leading researcher, laboratory of modeling physical processes
Өзбекстан, 100174, Tashkent, st. Universitetskaya, 4; 684034, Paratunka, st. Mirnaya, 4, RussiaӘдебиет тізімі
- Petras I. Fractional-Order Nonlinear Systems: Modeling, Analysis and Simulation Berlin Springer 2011 218 https://doi.org/10.1007/978-3-642-18101-6DOI: 10.1007/978-3-642-18101-6
- Klafter J., Lim S. C., Metzler R. Fractional dynamics: recent advances Singapore World Scientific 2011 532 https://doi.org/10.1142/8087DOI: 10.1142/8087
- Работнов Ю. Н. Элементы наследственной механики твёрдых тел М. Наука 1977 384
- Volterra V. Functional theory, integral and integro-differential equations New York Dover Publications 2005 288
- Нахушев А.М. Дробное исчисление и его применение М. Физматлит 2003 272
- Kilbas A. A., Srivastava H. M., Trujillo J. J. Theory and Applications of Fractional Differential Equations Amsterdam Elsevier 2006 523
- Parovik R. I. Mathematical Models of Oscillators with Memory Oscillators - Recent Developments London InTech 2019 3-21 https://doi.org/10.5772/intechopen.81858DOI: 10.5772/intechopen.81858
- Паровик Р. И. Хаотические и регулярные режимы дробных осцилляторов Петропавловск-Камчатский КАМЧАТПРЕСС 2019 132
- Mathieu É. Mémoire sur le mouvement vibratoire d’une membrane de forme elliptique Journal de mathématiques pures et appliquées 1868 13 137-203
- Holland R., Cable V. P. Mathieu functions and their applications to scattering by a coated strip IEEE transactions on electromagnetic compatibility 1992 34 1 9-16 https://doi.org/10.1109/15.121661DOI: 10.1109/15.121661.
- Yamamoto T., Koshino K., Nakamura Y. Parametric amplifier and oscillator based on Josephson junction circuitry Principles and Methods of Quantum Information Technologies Lecture Notes in Physics 911 Germany Springer 2016 495-513 https://doi.org/10.1007/978-4-431-55756-2_23DOI: 10.1007/978-4-431-55756-2_23
- Löcherer K. H., Brandt C. D. Parametric electronics: an introduction 6 Springer 1982 342
- Vainio M., Halonen L. Mid-infrared optical parametric oscillators and frequency combs for molecular spectroscopy Physical Chemistry Chemical Physics 2016 18 6 4266-4294 https://doi.org/10.1117/12.308105DOI: 10.1117/12.308105
- Boston J. R. Response of a nonlinear form of the Mathieu equation The Journal of the Acoustical Society of America 1971 49 1B 299-305 https://doi.org/10.1121/1.1912330DOI: 10.1121/1.1912330
- Kidachi H., Onogi H. Note on the stability of the nonlinear Mathieu equation Progress of theoretical physics 1997 98 4 755-773 https://doi.org/10.1143/PTP.98.755DOI: 10.1143/PTP.98.755
- El-Dib Y. O. Nonlinear Mathieu equation and coupled resonance mechanism Chaos, Solitons & Fractals 2001 12 4 705-720 https://doi.org/10.1016/S0960-0779(00)00011-4DOI: 0.1016/S0960-0779(00)00011-4
- Bartuccelli M. V. et al. Selection rules for periodic orbits and scaling laws for a driven damped quartic oscillator Nonlinear Analysis: Real World Applications 2008 9 5 1966-1988 https://doi.org/10.1016/j.nonrwa.2007.06.007DOI: 10.1016/j.nonrwa.2007.06.007
- Паровик Р. И. Задача Коши для нелокального уравнения Матье Доклады Адыгской (Черкесской) Международной академии наук 2011 13 2 90-98
- Паровик Р. И. Диаграммы Стретта-Айнса для обобщенного уравнения Матье Вестник КРАУНЦ. Физико-математические науки 2012 1(4) 24-30
- Parovik R. I. Fractal parametric oscillator as a model of a nonlinear oscillation system in natural mediums International Journal of Communications, Network and System Sciences 2013 6 3 134-138 https://doi.org/10.4236/ijcns.2013.63016DOI: 10.4236/ijcns.2013.63016
- Zhang W., Baskaran R., Turner K. Tuning the dynamic behavior of parametric resonance in a micromechanical oscillator Applied physics letters 2003 82 1 130-132 https://doi.org/10.4236/ijcns.2013.63016DOI: 10.1063/1.1534615
- Санин А. Л., Смирновский А. А. Квантовый осциллятор Матьё с кубической силой, трением и шумом Известия высших учебных заведений. Прикладная нелинейная динамика 2016 24 3 54-67 https://doi.org/10.18500/0869-6632-2016-24-3-54-67DOI: 10.18500/0869-6632-2016-24-3-54-67
- Герасимов А.Н. Обобщение законов линейного деформирования и их применение к задачам внутреннего трения АН ССР. Прикладная математика и механика 1948 44 6 62-78
- Caputo M. Linear models of dissipation whose Q is almost frequency independent - II Geophysical Journal International 1967 13 529-539
- Псху А. В. Рехвиашвили С.Ш. Анализ вынужденных колебаний дробного осциллятора Письма в Журнал технической физики 2019 45 1 34-37 https://doi.org/10.21883/PJTF.2019.01.47154.17540DOI: 10.21883/PJTF.2019.01.47154.17540
- Паровик Р. И. Амплитудно-частотные и фазово-частотные характеристики вынужденных колебаний нелинейного дробного осциллятора Письма в Журнал технической физики 2019 45 13 25-28 10.21883/PJTF.2019.13.47953.17811DOI:10.21883/PJTF.2019.13.47953.17811' target='_blank'>https://doi.org/doi: 10.21883/PJTF.2019.13.47953.17811DOI:10.21883/PJTF.2019.13.47953.17811
- Parovik R.I. Existence and uniqueness of the Cauchy problem for a fractal nonlinear oscillator equation Uz. Math. J. 2017 4 110-118
- Otenova A. Zh., Parovik R. I. Mathematical modeling of the non-linear fractional oscillator Mathieu Actual Problems of Applied Mathematics and Information Technologies-Al-Khwarizmi Abstracts of VIII International scientific conference Samarkand Samarkand state university named after Sharof Rashidov 2023 81
- Parovik R. I. On a Finite-Difference Scheme for an Hereditary Oscillatory Equation. Journal of Mathematical Sciences 2021 253 4 547-557 https://doi.org/10.1007/s10958-021-05252-2DOI: 10.1007/s10958-021-05252-2
- Diethelm K., Ford N. J., Freed A. D. A predictor-corrector approach for the numerical solution of fractional differential equations Nonlinear Dynamics 2002 29 1-4 3-22 https://doi.org/10.1023/A:1016592219341DOI: 10.1023/A:1016592219341
- Yang C., Liu F. A computationally effective predictor-corrector method for simulating fractional order dynamical control system ANZIAM Journal 2005 47 168-184 https://doi.org/10.3390/math6020016DOI: 10.21914/anziamj.v47i0.1037
- Garrappa R. Numerical solution of fractional differential equations: A survey and a software tutorial Mathematics 2018 6 2 016 https://doi.org/10.3390/math6020016DOI: 10.3390/math6020016
- Gavrilyuk I. et al. Exact and truncated difference schemes for boundary value ODEs Basel AG Springer Science & Business Media 159 2011 247 https://doi.org/10.1007/978-3-0348-0107-2DOI: 10.1007/978-3-0348-0107-2.
- Bendixson I. Sur les courbes définies par des équations différentielles Acta Math. 1901 24(1) 1–88
- Kim V., Parovik R. Mathematical model of fractional duffing oscillator with variable memory Mathematics 2020 8 11 1-14 10.3390/math8112063' target='_blank'>https://doi.org/10.3390/math8112063doi: 10.3390/math8112063
Қосымша файлдар









