МЕЖМОЛЕКУЛЯРНЫЕ ВЗАИМОДЕЙСТВИЯ ЙОДА С НИЗКОМЕТОКСИЛИРОВАННЫМ ЯБЛОЧНЫМ ПЕКТИНОМ, МОДИФИЦИРОВАННЫМ ФАРМАКОФОРАМИ
- Авторы: Мударисова Р.Х.1, Сагитова А.Ф.2, Куковинец О.С.2, Колесов С.В.1
-
Учреждения:
- Уфимский институт химии Уфимского федерального исследовательского центра Российской академии наук
- Башкирский государственный университет
- Выпуск: Том 65, № 1 (2023)
- Страницы: 28-36
- Раздел: Статьи
- URL: https://journal-vniispk.ru/2308-1139/article/view/135612
- DOI: https://doi.org/10.31857/S2308113923700365
- EDN: https://elibrary.ru/PIONMS
- ID: 135612
Цитировать
Полный текст
Аннотация
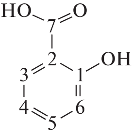
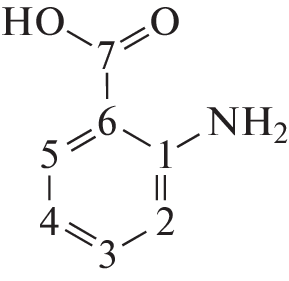
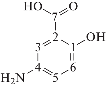
Спектральными методами изучено взаимодействие в водных растворах йода с модифицированным фармакофорами (салициловой, 5 аминосалициловой, антраниловой кислотами) низкометоксилированным яблочным пектином (степень этерификации 10%). Определен состав, константы устойчивости йодсодержащих комплексов и рассчитаны стандартные термодинамические характеристики комплексообразования. Формирование молекулярных комплексов состава 1 : 1 для всех изученных систем контролируется энтальпийной составляющей (∆Н° < 0, ∆S° < 0). Обнаружено, что главными активными центрами, участвующими во взаимодействии с йодом, могут быть как гидроксильные, так и амино-группы модифицированной полисахаридной матрицы. Показано влияние степени метоксилирования полисахаридной матрицы и структуры модифицирующего полисахарид фармакофора на содержание йода, время высвобождения йода из образца, антимикробную активность.
Об авторах
Р. Х. Мударисова
Уфимский институт химии Уфимского федерального исследовательского центра Российской академии наук
Email: mudarisova@anrb.ru
Россия, 450054, Уфа, проспект Октября, 71
А. Ф. Сагитова
Башкирский государственный университет
Email: mudarisova@anrb.ru
Россия, 450054, Уфа, ул. Мингажева, 100
О. С. Куковинец
Башкирский государственный университет
Email: mudarisova@anrb.ru
Россия, 450054, Уфа, ул. Мингажева, 100
С. В. Колесов
Уфимский институт химии Уфимского федерального исследовательского центра Российской академии наук
Автор, ответственный за переписку.
Email: mudarisova@anrb.ru
Россия, 450054, Уфа, проспект Октября, 71
Список литературы
- Li D., Li J., Dong H., Li X., Zhang J., Ramaswamy S. // Int. J. Biol. Macromol. 2021. V. 185. P. 49.
- Sriamornsak P. // Silpakorn Univ. Int. J. 2003. V. 3. P. 206.
- Zaitseva O., Khudyakov A., Sergushkina M., Solomina O., Polezhaeva T. // Fitoterapia. 2020. V. 146. P. 104676.
- Ciriminna R., Fidalgo A., Scurria A., Ilharco L.M., Pagliaro M. // Food Hydrocolloids. 2022. V. 127. P. 107423.
- Raji Z., Khodaiyan F., Rezaei K., Kiani H., Saeid Hosseini S. // Int. J. Biol. Macromol. 2017. V. 98. P. 709.
- Кайшева Н.Ш., Кайшев А.Ш. Фармакохимические основы применения пектинов и альгинатов. Пятигорск: РИА-КМВ, 2016.
- Eliaz I., Raz A. // Nutrients. 2019. V. 11. P. 2619.
- Minzanova S.T., Mironov V.F., Vyshtakalyuk A.B., Tsepaeva O.V., Mironova L.G., Mindubaev A.Z., Nizameev I.R., Kholin K.V., Milyukov V.A. // Carbohydr. Polym. 2015. V. 134. P. 524.
- Lara-Espinoza C., Carvajal-Millán E., Balandrán-Quintana R., López-Franco Y., Rascón-Chu A. // Molecules. 2018. V. 23. P. 942.
- Noreena A., Nazlic Z., Akrama J., Rasulb I., Manshaa A., Yaqoobc N., Iqbald R., Tabasuma S., Zubera M., Ziaa K. // Int. J. Biol. Macromol. 2017. V. 101. P. 254.
- Liu L., Fishman M.L., Hicks K.B. // Cellulose. 2007. V. 14. P. 15.
- Sriamornsak P. // Expert Opin. Drug Deliv. 2011. V. 8. P. 1009.
- Munarin F., Tanzi M.C., Petrini P. // Int. J. Biol. Macromol. 2012. V. 51. P. 681.
- Хотимченко Ю.С., Одинцова М.В., Ковалев В.В. Полисорбовит. Томск: Изд-во НТЛ, 2001.
- Jantrawut P., Bunrueangtha J., Suerthong J., Kantrong N. // Materials. 2019. V. 12. P. 1628.
- Kocaaga B., Kurkcuoglu O., Tatlier M., Batirel S., Guner F.S. // Appl. Polym. Sci. 2019. V. 136. P. 47640.
- Khotimchenko Y.S., Kolenchenko E.A., Khotimchenko M.Y., Kovalev V.V. // Orient. Pharm. Exp. Med. 2004. V. 4. P. 28.
- Zhukova G.F., Savchik S.A., Khotimchenko S.A. // Microelements Medicine. 2004. T. 5 № 1. P. 7.
- Sherer T., Thrall K., Bull R. // J. Toxucol. Environment. Health. 1991. V. 32. P. 89.
- Kukovinets O.S., Plekhanova D.F., Tarasova A.V., Abdullin M.I., Mudarisova R.K. // Russ. J. Appl. Chem. 2014. V. 87. № 10. P. 1524.
- Gillam T.A., Goh C.K., Ninan N., Bilimoria K., Shirazi H.S., Saboohi S., Al-Bataineh S., Whittle J.A. // Appl. Surf. Sci. 2021. V. 537. P. 147866.
- Abueva C., Seok Ryu H., Won Min J., Sang Chung P., Sook You H., Suk Yang M., Hoon Woo S. // Int. J. Biol. Macromol. 2021. V. 182. P. 1713.
- Gull N., Maqsood S., Khalid S., Zia S., Islam A., Sabir A., Sultan M., Hussain F., UllahKhan R., Taqi M., Butt Z. // Int. J. Biol. Macromol. 2020. V. 164. P. 4370.
- Kida D., Gladysz O., Szulc M., Zborowski J., Junka A., Janeczek M., Lipińska A., Skalec A., Karolewicz B. // Polymers. 2020. V. 12. P. 1271.
- Lepelletier D., Maillard J.Y., Pozzetto B., Simon A. // Antimicrob. Agents Chemother. 2020. V. 64. P. 9.
- Машковский М.Д. Лекарственные средства. М.: Медицина, 1984. Т. 2.
- Хотимченко М.Ю. // Биология моря. 2009. Т. 35. № 4. С. 302.
- Афанасьев С.П., Чирва В.Ю., Кацева Г.Н. // Химия природ. соед. 1984. № 4. С. 428.
- Mudarisova R., Kukovinets O., Sagitova A., Novoselov I. // Biointerface Res. Appl. Chem. 2020. V. 10. № 4. P. 5724.
- Донченко Л.В. Технология пектинов и пектинопродуктов. М.: ДеЛи, 2000.
- Булатов М.И., Калинкин И.П. Практическое руководство по фотометрическим методам анализа. Л.: Химия, 1986.
- Carlo G. Methods of Analytical Chemistry. M.: Chemistry, 1965.
- Thoma J.A., French D. // J. Am. Chem. Soc. 1960. V. 82. № 16. P. 4144.
- Klyubin V.V., Makovetskaya K.N., Klyubina K.A. // Russ. J. Phys. Chem. A. 2017. V. 91. № 4. P. 645.
- Xiaochun Y., Houtman C., Rajai H.A. // Carbohydr. Res. 1996. V. 292. P. 129.
- Moulay S. // J. Polym. Eng. 2013. V. 33. № 5. P. 389.
- Gegel N.O., Babicheva T.S., Belyakova O.A., Lugovitskaya T.N., Shipovskaya A.B. // Eur. J. Natural History. 2018. V. 3. P. 24.
- Kukovinets O.S., Mudarisova R.K., Volodina V.P., Tarasova A.V., Mokina A.Z., Abdullin M.I. // Chem. Nat. Compounds. 2014. V. 50. № 1. P. 50.
Дополнительные файлы














