Исследование возможности оптимизации взаимодействия NV-центров и фотонов путем изменения формы микрорезонаторов
- Авторы: Цуканов А.В.1, Катеев И.Ю.1
-
Учреждения:
- Физико-технологический институт им. К.А. Валиева РАН
- Выпуск: Том 52, № 2 (2023)
- Страницы: 96-109
- Раздел: КВАНТОВЫЕ ТЕХНОЛОГИИ
- URL: https://journal-vniispk.ru/0544-1269/article/view/138485
- DOI: https://doi.org/10.31857/S0544126923700230
- EDN: https://elibrary.ru/PYOPBE
- ID: 138485
Цитировать
Полный текст
Аннотация
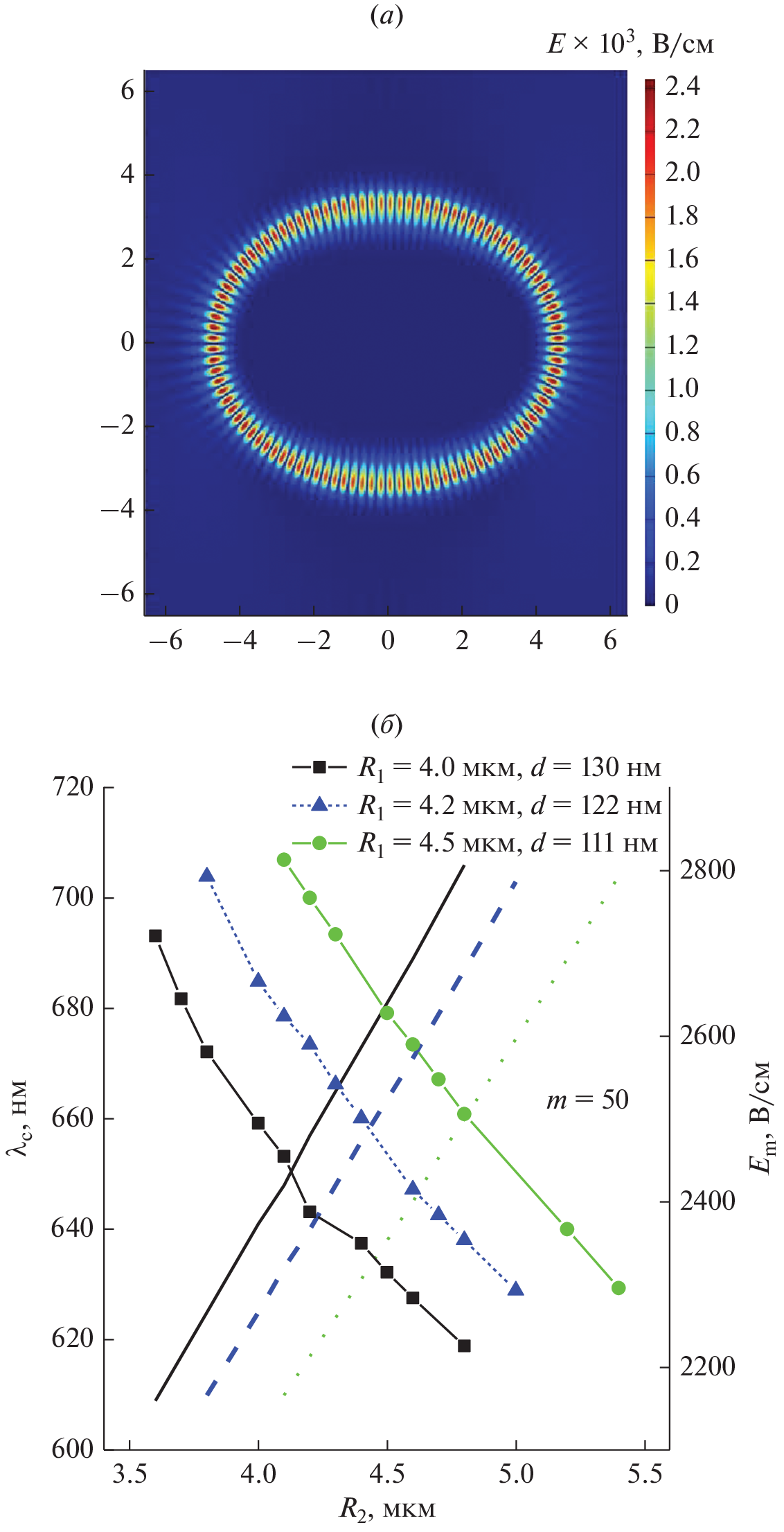
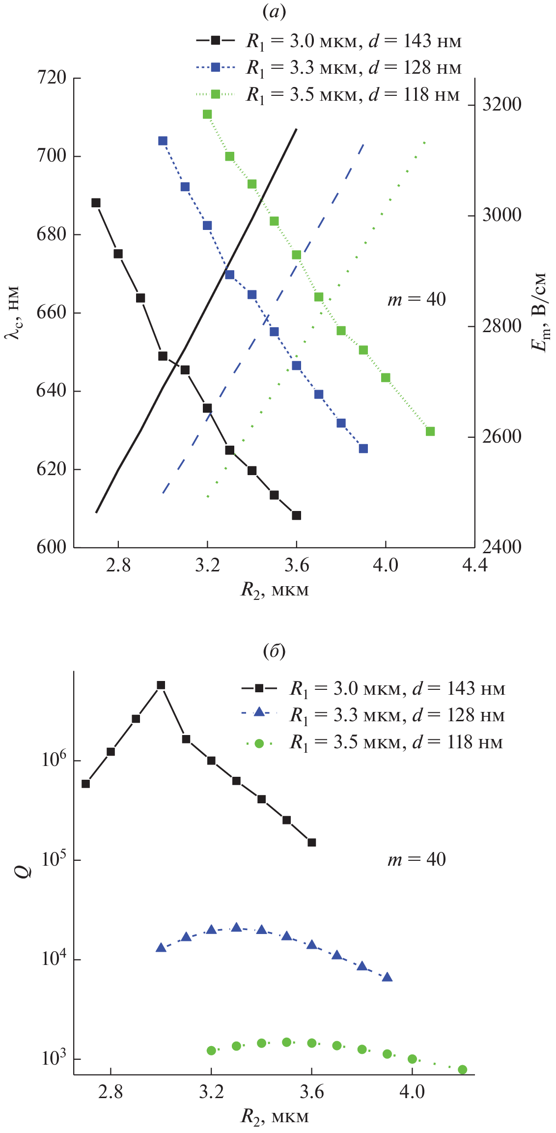
В работе в рамках континуального приближения для спектра акустических фононов в кристаллическом алмазе исследованы процессы релаксации и дефазировки электронного состояния NV-центра. Проанализирована модель смешивания возбужденных электронных состояний центра и его влияние на рабиевские осцилляции заселенностей и резонансную флуоресценцию. Сформулированы условия, при которых возможно реализовать квантовые однокубитные операции как в спиновом, так и зарядовом подпространствах NV-центра. Проведено моделирование оптических свойств эллиптических микродисков, содержащих NV-центры, и исследовано влияние асимметрии на спектральные характеристики таких микрорезонаторов.
Ключевые слова
Об авторах
А. В. Цуканов
Физико-технологический институт им. К.А. Валиева РАН
Email: tsukanov@ftian.ru
Россия, 117218, Москва, Нахимовский проспект, 34
И. Ю. Катеев
Физико-технологический институт им. К.А. Валиева РАН
Автор, ответственный за переписку.
Email: ikateyev@mail.ru
Россия, 117218, Москва, Нахимовский проспект, 34
Список литературы
- Цуканов А.В., Катеев И.Ю. Экспериментальная алмазная фотоника: современное состояние и перспективы развития. Часть I // Микроэлектроника. 2016. Т. 45. С. 325.
- Цуканов А.В., Катеев И.Ю. Экспериментальная алмазная фотоника: современное состояние и перспективы развития. Часть II // Микроэлектроника. 2016. Т. 45. С. 403.
- Цуканов А.В., Катеев И.Ю. Нано-и оптоэлектромеханические системы в структуре управления спиновыми кубитами на NV-центрах в алмазе // Труды ФТИАН. 2017. Т. 26. С. 3.
- Bar-Gill N., Pham L.M., Jarmola A., Budker D., Walsworth R.L. Solid-state electronic spin coherence time approaching one second // Nat. Commun. 2013. V. 4. P. 1743.
- Pfaff W., J. Hensen B., Bernien H., Van dam S.B., Blok M.S., Taminiau T.H., Tiggelman M.J., Schouten Rr.N., Markham M., Twitchen D.J., Hanson R. Unconditional quantum teleportation between distant solid-state quantum bits // Science. 2014. V. 345. P. 532.
- Hensen B., Bernien H., Dréau A.E., Reiserer A., Kalb N., Blok M.S., Ruitenberg J., Vermeulen R.F.L., Schouten R.N., Abellán C., Amaya W., Pruneri V., Mitchell M.W., Markham M., Twitchen D.J., Elkouss D., Wehner S., Taminiau T.H., Hanson R. Loophole-free Bell inequality violation using electron spins separated by 1.3 km // Nature. 2015. V. 526. P. 682.
- Cramer J., Kalb N., Rol M.A., Hensen B., Blok M.S., Markham M., Twitchen D.J., Hanson R., Taminiau T.H. Repeated quantum error correction on a continuously encoded qubit by real-time feedback // Nat Commun. 2016. V. 7. P. 11526.
- Atatüre M., Englund D., Vamivakas N., Lee S.-Y., Wrachtrup J. Material platforms for spin-based photonic quantum technologies // Nat. Rev. Mater. 2018. V. 3. P. 38.
- Awschalom D.D., Hanson R., Wrachtrup J., Zhou B.B. Quantum technologies with optically interfaced solid-state spins //Nat. Photon. 2018. V. 12. P. 516.
- Wan N.H., Lu T.-J., Chen K.C., Walsh M.P., Trusheim M.E., De Santis L., Bersin E.A., Harris I.B., Mouradian S.L., Christen I.R., Bielejec E.S., Englund D. Large-scale integration of artificial atoms in hybrid photonic circuits // Nature. 2020. V. 583. P. 226.
- Burek M.J., Meuwly C., Evans R.E., Bhaskar M.K., Sipahigil A., Meesala S., Machielse B., Sukachev D.D., Nguyen C.T., Pacheco J.L., Bielejec E., Lukin M.D., Lončar M. Fiber-coupled diamond quantum nanophotonic interface // Phys. Rev. Applied. 2017. V. 8. P. 024026.
- Elshaari A.W., Pernice W., Srinivasan K., Benson O., Zwiller V. Hybrid integrated quantum photonic circuits // Nat. Photon. 2020. V. 14. P. 285.
- Robledo L., Bernien H., van Weperen I., Hanson R. Control and coherence of the optical transition of single nitrogen vacancy centers in diamond // Phys. Rev. Lett. 2010. V. 105. P. 177403.
- Batalov A., Jacques V., Kaiser F., Siyushev P., Neumann P., Rogers L.J., McMurtrie R.L., Manson N.B., Jelezko F., Wrachtrup J. Low temperature studies of the excited-state structure of negatively charged nitrogen-vacancy color centers in diamond // Phys. Rev. Lett. 2009. V. 102. P. 195506.
- Городецкий М.Л. Оптические микрорезонаторы с гигантской добротностью. М.: Физматлит, 2011. 416 с.
- Schwefel H.G.L., Rex N.B., Tureci H.E., Chang R.K., Stone A.D., Ben-Messaoud T., Zyss J. Dramatic shape sensitivity of directional emission patterns from similarly deformed cylindrical polymer lasers // J. Opt. Soc. Am. B. 2004. V. 21. P. 923.
- Chern G.D., Tureci H.E., Stone A.D., Chang R.K., Kneissl M., Johnson N.M. Unidirectional lasing from InGaN multiple-quantum-well spiral-shaped micropillars // Appl. Phys. Lett. 2003. V. 83. P. 1710.
- Hentschel M., Kwon T.-Y., Belkin M.A., Audet R., Capasso F. Angular emission characteristics of quantum cascade spiral microlasers // Opt. Express. 2009. V. 17. P. 10335.
- Kullig J., Wiersig J. Perturbation theory for asymmetric deformed microdisk cavities // Phys. Rev. A. 2016. V. 94. P. 043850.
- Lee S.-Y., Rim S., Ryu J.-W., Kwon T.-Y., Choi M., Kim C.-M. Quasiscarred resonances in a spiral-shaped microcavity // Phys. Rev. Lett. 2004. V. 93. P. 164102.
- Wiersig J., Hentschel M. Combining directional light output and ultralow loss in deformed microdisks // Phys. Rev. Lett. 2008. V. 100. P. 033901.
- Yan C., Wang Q.J., Diehl L., Hentschel M., Wiersig J., Yu N., Pflügl C., Capasso F., A. Belkin M., Edamura T., Yamanishi M., Kan H. Directional emission and universal far-field behavior from semiconductor lasers with limaçon-shaped microcavity // Appl. Phys. Lett. 2009. V. 94. P. 251101.
- Song Q., Fang W., Liu B., Ho S.-T., Solomon G.S., Cao H. Chaotic microcavity laser with high quality factor and unidirectional output // Phys. Rev. A. 2009. V. 80. P. 041807.
- Yi C.-H., Kim M.-W., Kim C.-M. Lasing characteristics of a Limaçon-shaped microcavity laser // Appl. Phys. Lett. 2009. V. 95. P. 141107.
- Kraft M., Wiersig J. Perturbative analysis of whispering-gallery modes in limaçon-shaped microcavities // Phys. Rev. A. 2014. V. 89. P. 023819.
- Ge L., Sarma R., Cao H. Rotation-induced evolution of far-field emission patterns of deformed microdisk cavities // Optica. 2015. V. 2. P. 323.
- Boriskina S.V., Benson T.M., Sewell P.D., Nosich A.I. Highly efficient design of spectrally engineered whispering-gallery-mode microlaser resonators // Opt. Quant. Electron. 2003. V. 35. P. 545.
- Wang Q.J., Yan C., Yu N., Unterhinninghofen J., Wiersig J., Pflügl C., Diehl L., Edamura T., Yamanishi M., Kan H., Capasso F. Whispering-gallery mode resonators for highly unidirectional laser action // Proc. Natl. Acad. Sci. USA. 2010. V. 107. P. 22407.
- Wang Q.J., Yan C., Diehl L., Hentschel M., Wiersig J., Yu N., Pflügl C., Belkin M.A., Edamura T., Yamanishi M., Kan H., Capasso F. Deformed microcavity quantum cascade lasers with directional emission // New J. Phys. 2009. V. 11. P. 125018.
- Lee J.Y., Luo X., Poon A.W. Coupled spiral-shaped microdisk resonators with non-evanescent asymmetric inter-cavity coupling // Opt. Expess. 2007. V. 15. P. 17313.
- Chern G.D., Fernandes G.E., Chang R.K., Song Q., Xu L., Kneissl M., Johnson N.M. High-Q-preserving coupling between a spiral and a semicircle μ-cavity // Opt. Lett. 2007. V. 99. P. 1093.
- Jiang T., Xiang Y. Perturbation model for optical modes in deformed disks // Phys. Rev. A. 2019. V. 92. P. 023847.
- Badel M., Wiersig J. Corrected perturbation theory for transverse-electric whispering-gallery modes in deformed microdisks // Phys. Rev. A. 2019. V. 99. P. 063825.
- Abtew T.A., Sun Y.Y., Shih B.-C., Dev P., Zhang S.B., Zhang P. Dynamic Jahn-Teller effect in the NV−center in diamond // Phys. Rev. Lett. 2011. V. 107. P. 146403.
- Plakhotnik T., Doherty M.W., Manson N.B. Electron-phonon processes of the nitrogen-vacancy center in diamond // Phys. Rev. B. 2015. V. 92. P. 081203(R).
- Goldman M.L., Sipahigil A., Doherty M.W., Yao N.Y., Bennett S.D., Markham M., Twitchen D. J., Manson N.B., Kubanek A., Lukin M.D. Phonon-induced population dynamics and intersystem crossing in nitrogen-vacancy centers // Phys. Rev. Lett. 2015. V. 114. P. 145502.
- Neumann P., Kolesov R., Jacques V., Beck J., Tisler J., Batalov A., Rogers L., Manson N.B., Balasubramanian G., Jelezko F. Excited-state spectroscopy of single NV defects in diamond using optically detected magnetic resonance // New J. Phys. 2009. V. 11. P. 013017.
- Fuchs G.D., Dobrovitski V.V., Toyli D.M., Heremans F.J., Weis C.D., Schenkel T., Awschalom D.D. Excited-state spin coherence of a single nitrogen–vacancy centre in diamond // Nat. Phys. 2010. V. 6. P. 668.
- Fuchs G.D., Dobrovitski V.V., Hanson R., Batra A., Weis C.D., Schenkel T., Awschalom D.D. Excited-state spectroscopy using single spin manipulation in diamond // Phys. Rev. Lett. 2008. V. 101. P. 117601.
- Dubertrand R., Bogomolny E., Djellali N., Lebental M., Schmit C. Circular dielectric cavity and its deformations // Phys. Rev. A. 2008. V. 77. P. 013804.
- Wiersig J. Perturbative approach to optical microdisks with a local boundary deformation // Phys. Rev. A. 2012. V. 85. P. 063838.
- Ge L., Song Q., Redding B., Cao H. Extreme output sensitivity to subwavelength boundary deformation in microcavities // Phys. Rev. A. 2013. V. 87. P. 023833.
- Shim J.-B., Wiersig J. Semiclassical evaluation of frequency splittings in coupled optical microdisks // Opt. Express. 2013. V. 21. P. 24240.
- White M.M., Creagh S.C. Quality factors of deformed dielectric cavities // J. Phys. A: Math. Theor. 2012. V. 45. P. 275302.
- Creagh S.C., White M.M. Differences between emission patterns and internal modes of optical resonators // Phys. Rev. E. 2012. V. 85. P. 015201.
- Wiersig J. Boundary element method for resonances in dielectric microcavities // J. Opt. A: Pure Appl. Opt. 2003. V. 5. P. 53.
- Yee K.S. Numerical solution of initial boundary value problems involving Maxwell’s equations in isotropic media // IEEE Transactions on Antennas and Propagation. 1966. V. 14. P. 302.
- Цуканов А.В., Рогачев М.С., Катеев И.Ю. Однофотонный отклик и спектроскопия фотонной молекулы на основе алмазных микроколец // Микроэлектроника. 2017. Т. 46. С. 411.
- Bayindir M., Temelkuran B., Ozbay E. Tight-binding description of the coupled defect modes in three-dimensional photonic crystals // Phys. Rev. Lett. 2000. V. 84. P. 2140.
Дополнительные файлы










