Моделирование адсорбции и диффузии атомов лития на дефектном графене для Li-ионной батареи
- Авторы: Асадов М.М.1,2, Маммадова С.О.3, Гусейнова С.С.3, Мустафаева С.Н.3, Лукичев В.Ф.4
-
Учреждения:
- Институт катализа и неорганической химии им. М.Ф. Hагиева Министерство науки и образования Азербайджана
- Научно-исследовательский институт геотехнологических проблем нефти, газа и химии АГУНП
- Институт физики Министерство науки и образования Азербайджана
- Физико-технологический институт им. К.А. Валиева Российской академии наук
- Выпуск: Том 52, № 3 (2023)
- Страницы: 207-226
- Раздел: МОДЕЛИРОВАНИЕ
- URL: https://journal-vniispk.ru/0544-1269/article/view/138564
- DOI: https://doi.org/10.31857/S0544126923700291
- EDN: https://elibrary.ru/UDLJNX
- ID: 138564
Цитировать
Полный текст
Аннотация
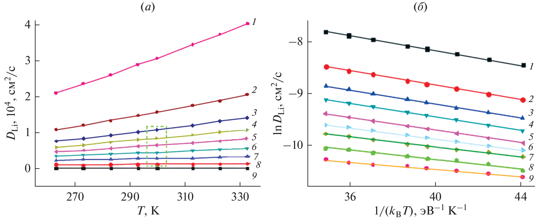
На основе теории функционала плотности (DFT) с учетом спиновой поляризации (LSDA) нами рассчитаны адсорбционные и диффузионные свойства атома лития на монослое графена (\({\text{GP}}\)) с моновакансией (\({\text{G}}{{{\text{P}}}_{{\text{V}}}}\)) в качестве анодного материала для \({\text{Li}}\)-ионной батареи. DFT LSDA расчеты проводили в релаксированных 5 × 5 и 6 × 6 суперъячейках \({\text{GP}}{\kern 1pt} - {\kern 1pt} {\text{L}}{{{\text{i}}}_{{{\text{ads}}}}}\) и на основе графена с комплексом “моновакансия + адатом лития” \({\text{G}}{{{\text{P}}}_{{\text{V}}}}{\kern 1pt} - {\kern 1pt} {\text{L}}{{{\text{i}}}_{{{\text{ads}}}}}\). Исходя из вычисленных значений энергии адсорбции атома лития \(E_{{{\text{ads}}}}^{{{\text{Li}}}}\) определено энергетически стабильное место расположения адатома лития \({\text{L}}{{{\text{i}}}_{{{\text{ads}}}}}\) на монослое суперъячеек в \({\text{GP}}{\kern 1pt} - {\kern 1pt} {\text{L}}{{{\text{i}}}_{{{\text{ads}}}}}\) и \({\text{G}}{{{\text{P}}}_{{\text{V}}}}{\kern 1pt} - {\kern 1pt} {\text{L}}{{{\text{i}}}_{{{\text{ads}}}}}\). Результаты расчетов показывают, что адатом \({\text{L}}{{{\text{i}}}_{{{\text{ads}}}}}\) энергетически предпочитает адсорбироваться в ямочной позиции (Н-сайт), а не адсорбироваться сверху (Т-сайт) углеродного атома в монослое. DFT LSDA рассчитанные электронная зонная структура и локальный полный и парциальный магнитный момент атомов суперъячеек \({\text{GP}}{\kern 1pt} - {\kern 1pt} {\text{L}}{{{\text{i}}}_{{{\text{ads}}}}}\) согласуются с расчетами, проведенными GGA-PBE функционалом для Н, В и Т сайтов графена. С учетом опытно полученных коэффициентов диффузии лития в двухслойном графене в структурной упаковке AB-пакетом и температурной (263–333 K) зависимости диффузии Li в двухслойном графене, которая описывается законом Аррениуса, вычислена энергия активации диффузии \({\text{Li\;}}\) при концентрациях \(x\) = 0.06–0.51 в графене LixC12 в AB-упаковке.
Об авторах
М. М. Асадов
Институт катализа и неорганической химии им. М.Ф. Hагиева Министерство науки и образования Азербайджана; Научно-исследовательский институт геотехнологических проблем нефти,газа и химии АГУНП
Email: mirasadov@gmail.com
Азербайджан, AZ-1143, Баку, пр. Г. Джавида, 113; Азербайджан, AZ-1010, Баку, пр. Азадлыг, 20
С. О. Маммадова
Институт физики Министерство науки и образования Азербайджана
Email: lukichev@ftian.ru
Азербайджан, AZ-1143, Баку,
пр. Г. Джавида, 131
С. С. Гусейнова
Институт физики Министерство науки и образования Азербайджана
Email: lukichev@ftian.ru
Азербайджан, AZ-1143, Баку,
пр. Г. Джавида, 131
С. Н. Мустафаева
Институт физики Министерство науки и образования Азербайджана
Email: lukichev@ftian.ru
Азербайджан, AZ-1143, Баку,
пр. Г. Джавида, 131
В. Ф. Лукичев
Физико-технологический институт им. К.А. Валиева Российской академии наук
Автор, ответственный за переписку.
Email: lukichev@ftian.ru
Россия, 117218, Москва,
Нахимовский просп., 36, корп. 1
Список литературы
- Yoo E., Kim J., Hosono E., Zhou H.-S., Kudo T., Honma I. Large Reversible Li Storage of Graphene Nanosheet Families for Use in Rechargeable Lithium-Ion Batteries // Nano Letters. 2008. V. 8. № 8. P. 2277–2282. https://doi.org/10.1021/nl800957b
- Lv W., Tang D.-M., He Y.-B., You C.-H., Shi Z.-Q., Chen X.-C., Chen C.-M., Hou P.-X., Liu C., Yang Q.-H. Low-Temperature Exfoliated Graphenes: Vacuum-Promoted Exfoliation and Electrochemical Energy Storage // ACS Nano. 2009. V. 3. № 11. P. 3730–3736. https://doi.org/10.1021/nn900933u
- Jang B.Z., Liu C., Neff D., Yu Z., Wang M.C., Xiong W., Zhamu A. Graphene Surface-Enabled Lithium Ion-Exchanging Cells: Next-Generation High-Power Energy Storage Devices // Nano Letters. 2011. V. 11. № 9. P. 3785–3791. https://doi.org/10.1021/nl2018492
- Das D., Kim S., Lee K-R., Singh A.K. Li diffusion through doped and defected graphene. Physical Chemistry Chemical Physics. 2013. V. 15. № 36. P. 15128–15134. https://doi.org/10.1039/C3CP52891J
- Lee E., Persson K.A. Li Absorption and Intercalation in Single Layer Graphene and Few Layer Graphene by First Principles // Nano Letters. 2012. V. 12. P. 4624–4628. https://doi.org/10.1021/nl3019164
- Kühne M., Paolucci F., Popovic J., Ostrovsky P.M., Maier J., Smet J.H. Ultrafast lithium diffusion in bilayer graphene // Nature Nanotechnology. 2017. V. 12. P. 895–902. https://doi.org/10.1038/nnano.2017.108
- Zhong K., Hu R., Xu G., Yang Y., Zhang J.-M., Huang Z. Adsorption and ultrafast diffusion of lithium in bilayer graphene: Ab initio and kinetic Monte Carlo simulation study // Physical Review B. 2019. V. 99. № 15. P. 155403–12. https://doi.org/10.1103/PhysRevB.99.155403
- Асадов M.M., Мустафаева С.Н., Гусейнова С.C., Лукичев В.Ф., Тагиев Д.Б. Ab initio моделирование влияния расположения и свойств упорядоченных вакансий на магнитное состояние монослоя графена // Физика твердого тела. 2021. Т. 63. № 5. С. 680–689. https://doi.org/10.1134/S1063783421050036
- Асадов М.М., Мустафаева С.Н., Гусейнова С.С., Лукичев В.Ф. DFT моделирование электронной структуры и адсорбция германия в упорядоченном графене с вакансией // Микроэлектроника. 2022. Т. 51. № 2. С. 125–139. https://doi.org/10.1134/S1063739722010024
- Асадов M.M., Маммадова С.О., Гусейнова С.C., Мустафаева С.Н., Лукичев В.Ф. Моделирование адсорбции золота на поверхность дефектного графена // Микроэлектроника. 2022. Т. 51. № 6. С. 429–442. https://doi.org/10.31857/S054412692270003X
- Perdew J.P., Zunger A. Self-interaction correction to density-functional approximations for many-electron systems // Physical Review B. 1981. V. 23. № 10. P. 5048–5079. https://doi.org/10.1103/physrevb.23.5048
- Konschuh S., Gmitra M., Fabian J. Tight-binding theory of the spin-orbit coupling in graphene // Physical Review B. 2010. V. 82. № 24. P. 245412–11. https://doi.org/10.1103/PhysRevB.82.245412
- Monkhorst H.J., Pack J.D. Special points for Brillouin zone integrations // Physical Review B. 1976. V. 13. № 12. P. 5188–5192. https://doi.org/10.1103/physrevb.13.5188
- Chan K.T., Neaton J.B., Cohen M.L. First-principles study of metal adatom adsorption on graphene // Physical Review B. 2008. V. 77. № 23. P. 235430–12. https://doi.org/10.1103/physrevb.77.235430
- Elias D.C., Gorbachev R.V., Mayorov A.S., Morozov S.V., Zhukov A.A., Blake P., Ponomarenko L.A., Grigorieva I.V., Novoselov K.S., Guinea F., Geim A.K. Dirac cones reshaped by interaction effects in suspended graphene // Nature Physics. 2011. V. 7. № 9. P. 701–704. https://doi.org/10.1038/nphys2049
Дополнительные файлы



















