The influence of soybean rhizobia on the agricultural seeds sowing qualities
- Authors: Tatarenko I.Y.1, Yakimenko M.V.1, Sorokina A.I.1
-
Affiliations:
- Federal Scientific Center All-Russian Scientific Research Institute of Soybean
- Issue: No 4 (2024)
- Pages: 22-29
- Section: Crop Production and Selection
- URL: https://journal-vniispk.ru/2500-2082/article/view/262618
- DOI: https://doi.org/10.31857/S2500208224040044
- EDN: https://elibrary.ru/xlwcmw
- ID: 262618
Cite item
Full Text
Abstract
To grow high and stable yields with good product quality, it is very important to receive timely, full-fledged and friendly shoots of optimal density. Therefore, the problem of stimulating, or inhibiting, seed germination and the processes occurring in them occupies an important place in modern crop production. The method of pre-sowing seed treatment with rhizobia is one of the promising technological measures that ensure an increase in yield and quality of crop production. The staff of the Laboratory of Biological Research of the Federal State Budgetary Budgetary Institution of the Federal Research Institute of Soy conducted a study of the possibility of stimulating germination and disinfection of soybean seeds, lupin, vigna, wheat, barley using pure Sinorhizobium fredii crops. The work used collectible strains of rhizobia, which showed an abundant growth of bacterial mass on the nutrient medium of the MRC. The standard strain was S. fredii 5851 from the collection of microorganisms and cell cultures of the Leibniz Institute (DSMZ), Germany. In variants with strains, stable stimulating and healing effects were observed. As a result of a scientific experiment, it was found that, on average, in variants with S. fredii strains, germination increased by 37%, the length of seedlings – by 224%, the raw weight of seedlings – by 23% compared with the control (without treatment with strains). S. fredii strains BB-49, SB-39, SB-43, TB-422, TB-488, TB-490, TB-496, 062 maximally stimulated the process of germination of agricultural seeds.
Full Text
Многовековой практикой человек усиливал те признаки семян, при реализации которых можно добиться получение растительных организмов с высокой продуктивной способностью. Урожайность, как показывают исследования многих ученых, во многом зависит от темпа начального развития, или «стартового» состояния семян. Чем энергичнее развивается проросток, тем быстрее он переходит на корневое питание, избегая болезни и неблагоприятные условия среды прорастания. [2, 6]
Для выращивания высоких и устойчивых урожаев с хорошим качеством продукции очень важно получать своевременные, полноценные и дружные всходы оптимальной густоты. Поэтому проблема стимулирования или ингибирования, прорастания семян и происходящих в них процессов занимает важное место в современном растениеводстве как в теоретическом, так и практическом отношениях. [1, 7, 8]
Механизмы влияния клубеньковых бактерий на растение можно разделить на два типа: прямой эффект и опосредованный. К первому причислены: гормональная стимуляция, увеличение поступления питательных веществ в растения. Фитогормоны, витамины и другие биологически активные вещества, которые производят бактерии, относятся к важнейшим механизмам взаимодействия в растительно-бактериальных ассоциациях. [9, 11, 12] Например, ауксины стимулируют развитие корневой системы, регулируют дифференцировку органов и другое, цитокинины индуцируют деление клеток, повышают всхожесть семян, положительно влияют на растение, которое находится в неблагоприятных для роста и развития условиях, гиббереллины помогают вегетативному росту, ускоряют прорастание семян. [10, 13]
К опосредованным эффектам относят положительное действие бактерий, которое связано с подавлением болезней и повышением устойчивости растений к всевозможным стрессовым факторам. При успешной конкуренции ризобактерии, в том числе и клубеньковые, подавляют рост и развитие различных почвенных фитопатогенов и вытесняют их из зоны влияния на растение. [5, 14]
Цель работы – выявить штаммы Sinorhizobium fredii, обладающие стимулирующим действием на семена сельскохозяйственных культур и улучшающим их посевные качества без применения химикатов.
МАТЕРИАЛЫ И МЕТОДЫ
Объект изучения – штаммы чистых культур S. fredii, выделенные из природных популяций Дальнего Востока, семена сои, люпина, вигны, пшеницы, ячменя.
Возможность улучшенного прорастания и обеззараживания семян сельскохозяйственных культур с помощью ризобий сои исследовали по методике С.А. Бегуна. [3] Использовали минерально-растительную среду (МРС), г/л: К2НРО4 – 0,5; КН2Р04 – 0,5; МgSO4 – 0,1; СaSO4 – 0,1; NaCl – 0,2; маннит – 20,0; соевая мука – 10,0; агар-агар – 20,0, которую стерилизовали и разливали в чашки Петри 1/3 объема. Подготовленные чашки Петри в шести повторностях при стерильных условиях засевали чистыми культурами ризобий S. fredii, отобранными для исследований. Для получения сплошного газона изучаемых штаммов, в подготовленные чашки бактериологической петлей вносили посевной материал, равномерно распределяя по всей поверхности МРС. Далее инкубировали в термостате при 27…28°С в течение 10 сут., наблюдая за характером роста ризобий. Брали нестерильные семена сельскохозяйственных растений (соя, пшеница, ячмень, вигна, люпин), которые предварительно перебирали, выбраковывая колотые и порченные.
Семена проращивали в чашках Петри на десятисуточной чистой культуре ризобий S. fredii. В контрольных вариантах семена высевали на питательную среду без ризобий. На третьи-седьмые сутки проводили учет длины проростков, всхожести, энергии прорастания семян, их заселенности эпифитной микрофлорой. [4]
РЕЗУЛЬТАТЫ
Изучали возможность стимулирования прорастания и обеззараживания семян сои, люпина, вигны, пшеницы, ячменя с помощью чистых культур ризобий сои. В работе использовали штаммы S. fredii ББ-49, СБ-39, СБ-43, ТБ-422, ТБ-488, ТБ-490, ТБ-496, ЗБ-79, 062, показавшие обильный рост бактериальной массы на питательной среде МРС. Стандарт – типовой штамм 5851 S. fredii из коллекции микроорганизмов и клеточных культур Института Лейбница (DSMZ), Германия. В вариантах со штаммами наблюдали устойчивые стимулирующий и оздоравливающий эффекты (табл. 1).
Таблица 1.
Средние показатели всхожести, длины и сырой массы проростков нестерильных семян сельскохозяйственных растений при выращивании по газону чистых культур Sinorhizobium fredii на седьмые сутки, 2023 год
Культура, сорт | Вариант | Всхожие семена | Длина проростка | Наличие микрофлоры | Сырая масса проростков | |||
% | % к контролю | см | % к контролю | г/10 раст. | % к контролю | |||
Соя, Сентябринка | контроль | 100 | 100 | 2,95 | 100 | + | 4,32 | 100 |
ризобии | 100 | 100 | 3,9 | 133 | н | 5,87 | 136 | |
Пшеница, Арюна | контроль | 10 | 100 | 0,5 | 100 | + | 0,62 | 100 |
ризобии | 17 | 170 | 1,52 | 304 | н | 0,8 | 125 | |
Ячмень, Амур | контроль | 80 | 100 | 1,8 | 100 | + | 1,21 | 100 |
ризобии | 89 | 111 | 4,57 | 254 | н | 1,92 | 125 | |
Люпин, к408 | контроль | 40 | 100 | 1, 0 | 100 | + | 3,53 | 100 |
ризобии | 48 | 130 | 1,48 | 148 | н | 4,34 | 123 | |
Вигна | контроль | 100 | 100 | 0,8 | 100 | + | 2,93 | 100 |
ризобии | 98 | 98 | 2,23 | 279 | н | 3,43 | 117 | |
Во всех контрольных чашках Петри на седьмые сутки роста была высокая инфицированность нестерильных семян сельскохозяйственных культур эпифитной микрофлорой.
При посеве семян по газону чистых культур S. fredii микрофлора, находящаяся на семенах, не прорастала или появлялись единичные колонии.
При размещении семян сои по газону чистых культур ризобий, в первую очередь, стимулируется скорость прорастания семян. В среднем энергия прорастания бактеризованных семян сои возросла в 3,4 раза, длина проростков – 3,7 раза, по сравнению с контролем (рис. 1, табл. 2).
Рис. 1. Стимуляция прорастания семян сои сорта Сентябринка, третьи сутки роста: а – инокуляция коллекционным штаммом; б – без инокуляции.
Таблица 2.
Статистические параметры длины и массы проростков нестерильных семян сельскохозяйственных растений при выращивании по газону чистых культур Sinorhizobium fredii, 2023 год
Культура | Среднее арифметическое (Х) | Размах вариации (lim) | Стандартное отклонение (σ) | Коэффициент вариации (Cv, %) |
Соя, люпин, вигна, пшеница, ячмень | Длина проростка, см | |||
2,6 | 0,2…7,12 | 1,7 | 63,5 | |
Сырая масса проростков, г/10 раст. | ||||
3,2 | 0,54…7,74 | 1,9 | 59,6 | |
Стимуляция прорастания семян других сельскохозяйственных культур изучаемыми штаммами на третьи сутки была менее заметна. Отдельные штаммы S. fredii увеличили энергию прорастания семян ячменя, темп их прорастания возрос в 2,3 (СБ-43, ТБ-496)…2,7 раза (062), длина проростков – 3,0…3,7 раза, по сравнению с контролем. Положительный эффект бактеризации семян вигны (Vigna angularis) был отмечен со штаммами S. fredii СБ-43, ТБ-469, ТБ-488, 062. Менее всего на инокуляцию семян реагировала пшеница сорта Арюна (табл. 3).
Таблица 3.
Показатели всхожести, длины проростков нестерильных семян сельскохозяйственных растений при проращивании по газону чистых культур Sinorhizobium fredii на третьи сутки, 2023 год
Культура, сорт | Вариант | Всхожие семена | Длина проростка | Наличие микрофлоры | |||
шт. | % | % к контролю | см | % к контролю | |||
Соя, Сентябринка | контроль | 3 | 30 | 100 | 0,3 | 100 | + |
5851 | 9 | 90 | 300 | 0,5 | 167 | н | |
ББ-49 | 10 | 100 | 333 | 0,6 | 200 | н | |
062 | 9 | 90 | 300 | 0,9 | 300 | н | |
СБ-39 | 10 | 100 | 333 | 1,1 | 366 | н | |
СБ-43 | 10 | 100 | 333 | 1,1 | 366 | н | |
ТБ-422 | 10 | 100 | 333 | 1,2 | 400 | н | |
ТБ-488 | 10 | 100 | 333 | 1,9 | 633 | н | |
ТБ-490 | 7 | 70 | 233 | 1,6 | 533 | + | |
ТБ-496 | 10 | 100 | 333 | 0,9 | 300 | н | |
ЗБ-79 | 8 | 80 | 267 | 0,3 | 100 | н | |
Пшеница, Арюна | контроль | 0 | 0 | – | 0 | – | + |
5851 | 0 | 0 | – | 0 | – | + | |
ББ-49 | 0 | 0 | – | 0 | – | н | |
062 | 1 | 10 | – | 1,2 | – | н | |
СБ-39 | 1 | 10 | – | 0,1 | – | н | |
СБ-43 | 1 | 10 | – | 0,5 | – | + | |
ТБ-422 | 0 | 0 | – | 0 | – | н | |
ТБ-488 | 1 | 10 | – | 1,0 | – | н | |
ТБ-490 | 1 | 10 | – | 0,1 | – | н | |
ТБ-496 | 1 | 10 | – | 0,8 | – | н | |
ЗБ-79 | 0 | 0 | – | 0 | – | н | |
Ячмень, Амур | контроль | 3 | 30 | 100 | 0,3 | 100 | + |
5851 | 2 | 20 | 67 | 0,2 | 67 | н | |
ББ-49 | 2 | 20 | 67 | 0,4 | 133 | н | |
062 | 8 | 80 | 267 | 0,9 | 300 | н | |
СБ-39 | 3 | 30 | 100 | 0,3 | 100 | н | |
СБ-43 | 7 | 70 | 233 | 1,0 | 333 | н | |
ТБ-422 | 3 | 30 | 100 | 0,3 | 100 | н | |
ТБ-488 | 4 | 40 | 133 | 0,9 | 300 | н | |
ТБ-490 | 3 | 30 | 100 | 0,7 | 233 | н | |
ТБ-496 | 7 | 70 | 233 | 1,1 | 367 | н | |
ЗБ-79 | 3 | 30 | 100 | 0,3 | 100 | н | |
Люпин, к408 | контроль | 1 | 10 | 100 | 0,2 | 100 | + |
5851 | 1 | 10 | 100 | 0,03 | 15 | н | |
ББ-49 | 1 | 10 | 100 | 0,05 | 25 | н | |
062 | 1 | 10 | 100 | 0,2 | 100 | н | |
СБ-39 | 0 | 0 | 0 | 0 | 0 | н | |
СБ-43 | 1 | 10 | 100 | 0,2 | 100 | н | |
ТБ-422 | 2 | 20 | 200 | 0,2 | 100 | н | |
ТБ-488 | 1 | 10 | 100 | 0,1 | 50 | н | |
ТБ-490 | 1 | 10 | 100 | 0,34 | 170 | н | |
ТБ-496 | 2 | 20 | 200 | 0,24 | 120 | н | |
ЗБ-79 | 0 | 0 | – | 0 | – | н | |
Вигна | контроль | 0 | 0 | – | 0 | – | н |
5851 | 0 | 0 | – | 0 | – | н | |
ББ-49 | 1 | 10 | – | 0,07 | – | н | |
062 | 4 | 40 | – | 0,35 | – | н | |
СБ-39 | 1 | 10 | – | 0,17 | – | н | |
СБ-43 | 5 | 50 | – | 0,4 | – | н | |
ТБ-422 | 1 | 10 | – | 0,2 | – | н | |
ТБ-488 | 3 | 30 | – | 0,46 | – | н | |
ТБ-490 | 2 | 20 | – | 0,2 | – | н | |
ТБ-496 | 6 | 60 | – | 0,4 | – | н | |
ЗБ-79 | 0 | 0 | – | 0 | – | н | |
Показатель всхожести семян по вариантам с бактеризацией существенно различался по сельскохозяйственным культурам (табл. 4). Всхожесть семян сои и вигны практически во всех вариантах, включая контроль, была 100%.
Таблица 4.
Показатели всхожести, длины и сырой массы проростков нестерильных семян сельскохозяйственных растений при проращивании по газону чистых культур Sinorhizobium fredii на седьмые сутки, 2023 год
Культура | Вариант | Всхожие семена | Длина проростка | Наличие микрофлоры | Сырая масса проростков | ||||
шт. | % | % к контролю | см | % к контролю | г/10 раст. | % к контролю | |||
Соя, Сентябринка | контроль | 10 | 100 | 100 | 2,95 | 100 | + | 4,32 | 100 |
5851 | 10 | 100 | 100 | 1,71 | 57 | + | 4,52 | 105 | |
ББ-49 | 10 | 100 | 100 | 3,98 | 135 | н | 6,9 | 160 | |
062 | 10 | 100 | 100 | 2,76 | 93 | н | 5,39 | 125 | |
СБ-39 | 10 | 100 | 100 | 4,89 | 165 | н | 5,85 | 135 | |
СБ-43 | 10 | 100 | 100 | 4,88 | 165 | н | 7,66 | 177 | |
ТБ-422 | 10 | 100 | 100 | 4,39 | 149 | н | 5,35 | 124 | |
ТБ-488 | 10 | 100 | 100 | 5,55 | 188 | н | 7,74 | 179 | |
ТБ-490 | 10 | 100 | 100 | 3,89 | 132 | н | 5,05 | 117 | |
ТБ-496 | 10 | 100 | 100 | 3,36 | 114 | н | 5,98 | 138 | |
ЗБ-79 | 10 | 100 | 100 | 3,83 | 130 | + | 4,28 | 99 | |
Пшеница, Арюна | контроль | 1 | 10 | 100 | 0,5 | 100 | + | 0,62 | 100 |
5851 | 1 | 10 | 100 | 0,5 | 100 | + | 0,61 | 98 | |
ББ-49 | 1 | 10 | 100 | 0,4 | 80 | + | 0,57 | 92 | |
062 | 3 | 30 | 300 | 2,7 | 540 | н | 1,0 | 161 | |
СБ-39 | 2 | 20 | 200 | 1,0 | 200 | + | 0,58 | 94 | |
СБ-43 | 2 | 20 | 200 | 2,6 | 520 | н | 1,07 | 173 | |
ТБ-422 | 1 | 10 | 100 | 0,2 | 40 | н | 0,63 | 102 | |
ТБ-488 | 2 | 20 | 200 | 3,0 | 600 | н | 1,12 | 181 | |
ТБ-490 | 3 | 30 | 300 | 1,1 | 220 | н | 0,72 | 116 | |
ТБ-496 | 1 | 10 | 100 | 3,3 | 660 | + | 0,9 | 145 | |
ЗБ-79 | 1 | 10 | 100 | 0,4 | 80 | + | 0,54 | 87 | |
Ячмень, Амур | контроль | 8 | 80 | 100 | 1,80 | 100 | + | 1,21 | 100 |
5851 | 8 | 80 | 100 | 2,68 | 149 | + | 1,23 | 102 | |
ББ-49 | 8 | 80 | 100 | 3,87 | 215 | н | 1,45 | 120 | |
062 | 10 | 100 | 125 | 6,41 | 356 | н | 2,17 | 179 | |
СБ-39 | 9 | 90 | 113 | 5,22 | 290 | н | 1,70 | 140 | |
СБ-43 | 10 | 100 | 125 | 7,12 | 396 | н | 3,21 | 265 | |
ТБ-422 | 9 | 90 | 113 | 3,04 | 169 | н | 1,38 | 114 | |
ТБ-488 | 9 | 90 | 113 | 5,81 | 323 | н | 2,37 | 196 | |
ТБ-490 | 8 | 80 | 100 | 3,83 | 213 | + | 1,47 | 121 | |
ТБ-496 | 10 | 100 | 125 | 6,0 | 333 | н | 3,08 | 255 | |
ЗБ-79 | 8 | 80 | 100 | 1,67 | 93 | + | 1,12 | 93 | |
Люпин, к408 | контроль | 4 | 40 | 100 | 1, 0 | 100 | + | 3,53 | 100 |
5851 | 4 | 40 | 100 | 0,7 | 70 | + | 3,77 | 107 | |
ББ-49 | 5 | 50 | 125 | 1,66 | 166 | н | 4,09 | 116 | |
062 | 8 | 80 | 200 | 2,23 | 223 | н | 4,23 | 120 | |
СБ-39 | 6 | 60 | 150 | 1,61 | 161 | н | 4,32 | 122 | |
СБ-43 | 6 | 60 | 150 | 1,84 | 184 | н | 4,54 | 129 | |
ТБ-422 | 4 | 40 | 100 | 1,31 | 131 | + | 3,90 | 110 | |
ТБ-488 | 6 | 60 | 150 | 1,62 | 162 | н | 4,90 | 139 | |
ТБ-490 | 4 | 40 | 100 | 1,01 | 101 | + | 4,10 | 116 | |
ТБ-496 | 7 | 70 | 175 | 2,38 | 238 | н | 5,96 | 169 | |
ЗБ-79 | 2 | 20 | 50 | 0,44 | 44 | н | 3,61 | 102 | |
Вигна | контроль | 10 | 100 | 100 | 0,8 | 100 | + | 2,93 | 100 |
5851 | 9 | 90 | 90 | 1,98 | 248 | н | 2,67 | 91 | |
ББ-49 | 10 | 100 | 100 | 2,34 | 293 | н | 3,34 | 114 | |
062 | 10 | 100 | 100 | 2,65 | 331 | н | 3,60 | 123 | |
СБ-39 | 10 | 100 | 100 | 2,28 | 285 | н | 3,15 | 108 | |
СБ-43 | 10 | 100 | 100 | 1,89 | 236 | н | 4,42 | 151 | |
ТБ-422 | 10 | 100 | 100 | 1,92 | 240 | н | 2,99 | 102 | |
ТБ-488 | 10 | 100 | 100 | 2,66 | 333 | н | 3,57 | 122 | |
ТБ-490 | 9 | 90 | 90 | 2,50 | 313 | + | 3,06 | 104 | |
ТБ-496 | 10 | 100 | 100 | 2,32 | 290 | н | 4,86 | 166 | |
ЗБ-79 | 10 | 100 | 100 | 1,73 | 216 | + | 2,66 | 91 | |
В экспериментах с семенами ячменя сорта Амур показатель всхожести в контроле был высокий (80%), применение чистых культур S. fredii привело к его увеличению на 11%. Штаммы СБ-43, ТБ-469, 062 повысили всхожесть семян на 25%, по сравнению с контролем. Всхожесть семян пшеницы по усредненным данным была низкой (10%). В результате инокуляции произошло повышение показателя всхожести почти в два раза, по сравнению с контролем. Лучшие результаты всхожести семян пшеницы отмечены в вариантах со штаммами ТБ-490, 062. В них всхожесть повысилась в три раза, по сравнению с контролем. В среднем всхожесть бактеризованных семян пшеницы, ячменя, люпина, возросла на 37%, по сравнению с контролем.
Исследуемые ризобии заметно стимулировали увеличение длины проростков сельскохозяйственных культур. В экспериментах с пшеницей, штаммы S. fredii увеличили длину проростков, в среднем в три, а отдельные штаммы более, чем в пять (СБ-43, 062), шесть (ТБ-488, ТБ-496) раз, по сравнению с контролем. Статистическая обработка данных, полученных в результате исследования возможности стимулирования увеличения длины проростков сои, пшеницы, ячменя, люпина, вигны, показала их нормальное распределение (рис. 2). Наибольшая длина проростков – с инокуляцией семян ячменя Амур. В среднем этот показатель был на уровне 4,57 см, а с бактеризацией семян ячменя штаммами СБ-39 – 5,22 см, ТБ-488 – 5,81, 062 – 6,41, СБ-43 – 7,12 см. В вариантах с ризобиями длина проростков сои, пшеницы, ячменя, люпина, вигны увеличилась на 224% при высокой изменчивости этого показателя (Cv = 63,5%).
Рис. 2. Q-Q Plot показателей длины проростков нестерильных семян сельскохозяйственных растений при проращивании по газону чистых культур Sinorhizobium fredii на седьмые сутки.
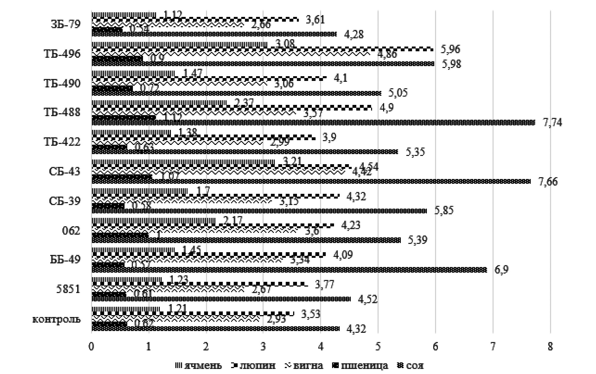
При размещении нестерильных семян сельскохозяйственных культур по газону чистых культур изучаемых штаммов нарастала сырая масса проростков, средние показатели сои, пшеницы, ячменя, люпина, вигны варьировали от 0,54 до 7,74 г/10 раст. (Cv = 59,6%). Лучшие результаты были отмечены в вариантах с бактеризацией семян сои штаммами ББ-49, СБ-43, ТБ-488, пшеницы – СБ-43, 062, ТБ-488, ячменя – 062, СБ-43, ТБ-488, ТБ-496, люпина – СБ-43, ТБ-488, ТБ-496, вигны – 062, СБ-43, Т-496. Сырая масса проростков сои превышала контроль на 60…79%, пшеницы – 61…81, ячменя – 79…165, люпина – 29…69, вигны – 23…66% (рис. 3).
Рис. 3. Сырая масса проростков сельскохозяйственных культур в вариантах со штаммами Sinorhizobium fredii, г/10 раст.
В вариантах с бактеризацией семян сырая масса проростков сои, пшеницы, ячменя, люпина, вигны увеличилась на 23%, по сравнению с контролем. Набор данных о нарастании сырой массы проростков сельскохозяйственных культур при бактеризации их семян имел незначительные отклонения от нормального распределения (рис. 4).
Рис. 4. Q-Q Plot показателей массы проростков нестерильных семян сельскохозяйственных растений при проращивании по газону чистых культур Sinorhizobium fredii на седьмые сутки.
Таким образом, установлено, что типовой штамм 5851 S. fredii по изучаемым показателям не превышал контроль, наиболее высокие результаты энергии прорастания сои наблюдали в вариантах с бактеризацией штаммами S. fredii ББ-49, СБ-39, СБ-43, ТБ-422, ТБ-488, ТБ-496, ячменя, вигны – 062, СБ-43, ТБ-496, люпина – ТБ-422, ТБ-496; всхожести семян пшеницы – 062, ТБ-490, ячменя, люпина – 062, СБ-43, ТБ-496; длины проростков сои – СБ-39, СБ-43, ТБ-488, пшеницы, ячменя – 062, СБ-43, ТБ-488, ТБ-496, люпина – 062, СБ-43, ТБ-496, вигны – 062, ТБ-488, ТБ-490, ТБ-496; сырой массы проростков сои (7,74 г/10 раст.), пшеницы (1,12) – ТБ-488, ячменя (3,21) – СБ-43, люпина (5,96), вигны (4,86 г/10 раст.) – ТБ-496. Эти штаммы рекомендовано использовать при производстве биопрепаратов.
Выводы. Выявлены штаммы S. fredii ББ-49, СБ-39, СБ-43, ТБ-422, ТБ-488, ТБ-490, ТБ-496, 062 максимально стимулирующие процесс прорастания семян сельскохозяйственных культур. В среднем всхожесть бактеризованных штаммами семян возросла на 37%, длина проростков – 224, сырая масса проростков – 23%, по сравнению с контролем.
About the authors
I. Yu. Tatarenko
Federal Scientific Center All-Russian Scientific Research Institute of Soybean
Author for correspondence.
Email: tigy@vniisoi.ru
PhD in Agricultural Sciences
Russian Federation, Blagoveshchensk, Amur regionM. V. Yakimenko
Federal Scientific Center All-Russian Scientific Research Institute of Soybean
Email: tigy@vniisoi.ru
PhD in Biological Sciences
Russian Federation, Blagoveshchensk, Amur regionA. I. Sorokina
Federal Scientific Center All-Russian Scientific Research Institute of Soybean
Email: tigy@vniisoi.ru
PhD in Veterinary Sciences
Russian Federation, Blagoveshchensk, Amur regionReferences
- Aseeva T.A., Havinson V.H., Mironova E.S. i dr. Vliyanie korotkih peptidov na rost i urozhajnost’ soi // Yug Rossii: ekologiya, razvitie. 2022. T. 17. № 2. C. 122–129. https://doi.org/10.18470/1992‐1098‐2022‐2‐122‐129
- Aseeva T.A. Ocenka agroklimaticheskih resursov Srednego Priamur’ya i ih vliyanie na produktivnost’ sel’skohozyajstvennyh kul’tur // Vestnik KrasGAU. 2008. № 3. S. 109–113.
- Begun S.A. Sposoby, priemy izucheniya i otbora effektivnyh shtammov kluben’kovyh bakterij soi. Metody analiticheskoj selekcii: metod. rekomendacii. Blagoveshchensk: PKI «Zeya», 2005. 70 s.
- GOST 12038-84 Semena sel’skohozyajstvennyh kul’tur. Metody opredeleniya vskhozhesti. Vveden 01.01. 1986. M.: Standartinform, 2011. 32 с.
- Devlikanov M.R., Koryagin Yu.V. Obrabotka semyan yarovoj pshenicy semnezirovannymi biopreparatami i mikroelementami // Zemledelie. 2006. № 1. S. 42.
- Zaharova N.A., Sharypova N.V Izuchenie bakterij v shkol’nom kurse biologii. Izd-vo Shadrinskogo gosudarstvennogo pedagogicheskogo instituta. 2010. S. 22.
- Starodubcev V.N., Stepanova L.P., Koren’kova E.A. Ekologicheskaya ocenka effektivnosti dejstviya razlichnyh form biologicheski aktivnyh veshchestv na posevnye kachestva i urozhajnost’ yarovoj pshenicy // Vestnik OrelGAU. 2011. № 3. S. 47.
- Deshwal V.K., Dubey R.C., Maheshwari D.K. Isolation of plant growth-promoting strains of Bradyrhizobium (Arachis) sp. with biocontrol potential against Macrophomina phaseolina causing charcoal rot of peanut. Curr. Sci. 2023. No. 84(3). PP. 443–448.
- Hamid B., Zaman M., Farooq S. et al. Bacterial Plant Biostimulants: A Sustainable Way towards Improving Growth, Productivity, and Health of Crops. Sustainability 2021. No. 13. P. 2856.
- Jaiswal S.K., Mohammed M., Ibny F.Y.I., Dakora F.D. Rhizobia as a Source of Plant Growth-Promoting Molecules: Potential Applications and Possible Operational Mechanisms. Front. Sustain. Food Syst. 2021. https://doi.org/10.3389/fsufs.2020.619676
- Jan B., Sajad S., Reshi Z.A., Mohiddin F.A. Plant Growth Promoting Rhizobacteria (PGPR): Eco-Friendly Approach for Sustainable Agriculture. In Plant-Microbe Dynamics: Recent Advances for Sustainable Agriculture, 1st ed.; Pirzadah T.B., Malik B., Hakeem K.R., Eds.; CRC Press: Boca Raton, FL, USA, 2021. PP. 185–200.
- Laslo É., Mara G. Is PGPR an Alternative for NPK Fertilizers in Sustainable Agriculture? In Microbial Interventions in Agriculture and Environment; Singh D.P., Gupta V.K., Prabha R., Eds.; Springer: Singapore, 2019. PP. 51–62.
- Lindström K., Mousavi S.A. Effectiveness of nitrogen fixation in rhizobia. Microb. Biotechnol. 2020. No. 13. PP. 1314–1335.
- Vessey J.K. Plant growth promoting rhizobacteria as biofertilizers. Plant Soil 2023. PP. 571–586.
Supplementary files






