Simulation of Supercell Defect Structure and Transfer Phenomena in TlInTe2
- Autores: Asadov M.M.1,2, Mustafaeva S.N.3, Guseinova S.S.3, Lukichev V.F.4
-
Afiliações:
- Nagiyev Institute of Catalysis and Inorganic Chemistry, National Academy of Sciences of Azerbaijan
- Research Institute “Geotechnological Problems of Oil, Gas and Chemistry,” Azerbaijan State Oil and Industry University
- Institute of Physics, National Academy of Sciences of Azerbaijan
- Valiev Physics and Technology Institute, Russian Academy of Sciences
- Edição: Volume 52, Nº 1 (2023)
- Páginas: 46-57
- Seção: МОДЕЛИРОВАНИЕ ТЕХНОЛОГИЧЕСКИХ ПРОЦЕССОВ
- URL: https://journal-vniispk.ru/0544-1269/article/view/138489
- DOI: https://doi.org/10.31857/S0544126922700181
- EDN: https://elibrary.ru/CXXQYI
- ID: 138489
Citar
Texto integral
Resumo
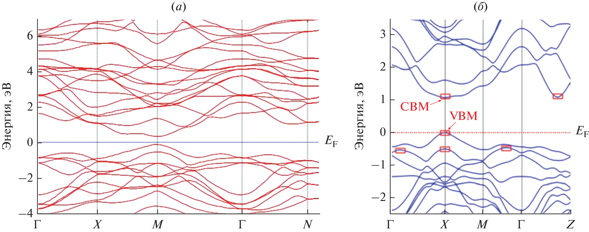
The local environment of atoms in a semiconductor compound TlInTe2 with tetragonal syngony is studied by the density functional theory (DFT). The introduction of a point defect (indium vacancies) into the TlInTe2 lattice is modeled using supercells. The DFT electronic properties (total and local partial densities of states (PDOS) of electrons) are modeled for the primitive TlInTe2 cell (16 atoms per unit cell) and for the defective TlInTe2 cell (where is the vacancy In) consisting of 32 atoms. The DFT-GGA calculations of the TlInTe2 band structure show that the band gap ( ) is = 1.21 eV. This value is significantly dif-ferent from the experimental value. The Hubbard model is used to correct the interaction of particles in the lattice. The DFT-GGA + U (U is the Hubbard potential) calculated by the TlInTe2 band gap is 0.97 eV. For the TlInTe2 supercell, the energies of the formation of a vacancy, the chemical potential of indium, and the standard enthalpy of the formation of TlInTe2 are calculated. When explaining the effect of various factors on the transport phenomena in TlInTe2, their thermal and electrical conductivity, both the DFT-calculated data and experimental data, are used. Taking into account the experimental data for the p-TlInTe2 crystals, the mechanism of conduction in the direction of structural chains (c axis of the crystal) is established. From the experimental data in the temperature range = 148–430 K, the band gap = 0.94 eV and the activation energy of impurity conduction = 0.1 eV (at 210–300 K) are estimated. At temperatures of ≤ 210 K, DC hopping conduction takes place in the p-TlInTe2 crystals. With this in mind, the following physical parameters are calculated for p-TlInTe2: the density of states localized near the Fermi level, their energy spread, and the average hopping distance.
Sobre autores
M. Asadov
Nagiyev Institute of Catalysis and Inorganic Chemistry, National Academy of Sciences of Azerbaijan; Research Institute “Geotechnological Problems of Oil, Gas and Chemistry,”Azerbaijan State Oil and Industry University
Email: mirasadov@gmail.com
Baku, AZ-1143 Azerbaijan; Baku, 370601 Azerbaijan
S. Mustafaeva
Institute of Physics, National Academy of Sciences of Azerbaijan
Email: lukichev@ftian.ru
Baku, AZ-1143 Azerbaijan
S. Guseinova
Institute of Physics, National Academy of Sciences of Azerbaijan
Email: lukichev@ftian.ru
Baku, AZ-1143 Azerbaijan
V. Lukichev
Valiev Physics and Technology Institute, Russian Academy of Sciences
Autor responsável pela correspondência
Email: lukichev@ftian.ru
Moscow, 117218 Russia
Bibliografia
- Muller D., Eulenberger G., Hahn H. Uber ternare Thalliumchalkogenide mit Thalliumselenidstruktur // Zeitschrift Fur Anorganische Und Allgemeine Chemie, 1973. V. 398. № 2. P. 207–220. https://doi.org/10.1002/zaac.19733980215
- Al-Ghamdi A.A., Nagat A.T., Al-Hazmi F.S., Al-Heniti S., Bahabri F.S., Mobarak M.M., Alharbi S.R. Growth and Electrical Characterization of TlInTe2 Single Crystal // Journal of the King Abdulaziz Univ. Sci. 2008. V. 20. P. 27–38.
- Ding G., He J., Cheng Z. X., Wang X., Li S. Low lattice thermal conductivity and promising thermoelectric figure of merit of Zintl type TlInTe2 // Journal of Materials Chemistry C. 2018. V. 6. P. 13269-13274. https://doi.org/10.1039/c8tc034
- Jana M.K., Pal K., Warankar A., Mandal P., Waghmare U.V., Biswas K. Intrinsic Rattler-Induced Low Thermal Conductivity in Zintl Type TlInTe2 // Journal of the American Chemical Society. 2017. V. 139. № 12. P. 4350–4353. https://doi.org/10.1021/jacs.7b01434
- Madelung O. Semiconductors: Data Handbook. Springer-Verlag, Berlin, Heidelberg, New York. 3rd edition. 2004. 691 c. ISBN 978-3-642-62332-5
- Asadov M.M., Mustafaeva S.N., Mamedov A.N. Dielectric Properties and Heat Capacity of (TlInSe2)1–x(TlGaTe2)x Solid Solutions // Inorganic Materials. 2015. V. 51. № 8. P. 772–778. https://doi.org/10.1134/S0020168515080051
- Asadov M.M., Mustafaeva S.N., Guseinova S.S., Lukichev V.F. Ab Initio Calculations of the Electronic Properties and the Transport Phenomena in Graphene Materials // Physics of the Solid State. 2020. V. 62. № 11. P. 2224–2231. https://doi.org/10.1134/S1063783420110037
- Asadov M.M., Mustafaeva S.N., Guseinova S.S., Lukichev V.F. Ab initio modeling of the location and properties of ordered vacancies on the magnetic state of a graphene monolayer // Physics of the Solid State. 2021. V. 63. № 5. P. 797–806. https://doi.org/10.1134/S1063783421050036
- Perdew J.P., Burke K., Ernzerhof M. Generalized gradient approximation made simple // Physical Review Letters. V. 77. P. 3865–3868. https://doi.org/10.1103/PhysRevLett.77.3865
- Monkhorst H.J., Pack J.D. Special points for Brillouin-zone integrations // Physical Review B. 1976. V. 13. № 12. P. 5188–5192. https://doi.org/10.1103/physrevb.13.5188
- Mustafaeva S.N., Asadov M.M., Guseinova S.S., Dzhabarov A.I., Lukichev V.F. Electronic, dielectric properties and charge transfer in a TlGaS2:Nd3+ single crystal at direct and alternating current // Physics of the Solid State. 2022. Vol. 64. No. 4. P. 432–439. https://doi.org/10.21883/PSS.2022.04.53497.251
- Hubbard J. Electron Correlations in Narrow Energy Bands. Proceedings of the Royal Society A: Mathematical, Physical and Engineering Sciences. 1963. V. 276. № 1365. P. 238–257. https://doi.org/10.1098/rspa.1963.0204
- Peles A. GGA + U method from first principles: application to reduction–oxidation properties in ceria-based oxides // Journal of Materials Science. 2012. V. 47. № 21. P. 7542–7548. https://doi.org/10.1007/s10853-012-6423-1
- Born M., Mayer J.E. Zur Gittertheorie der Ionenkristalle // Zeitschrift für Physik. 1932. Vol. 75. No 1-2. P. 1–18.https://doi.org/10.1007/bf01340511
- Mustafaeva S.N., Gasymo Sh.G., Asadov M.M. Electrical properties of TlGaTe2 single crystals under hydrostatic pressure // Journal of Physics and Chemistry of Solids. 2011. V. 72. № 6. P. 657–660. https://doi.org/10.1016/j.jpcs.2011.02.007
- Mustafaeva S.N., Gasymo Sh.G., Asadov M.M. DC-Electrical Properties of TlGaTe2 Single Crystals under Hydrostatic Pressure // Physics Research International. 2011. Article ID 513848. P. 1–5. https://doi.org/10.1155/2011/513848
- Mustafaeva S.N., Gasymo Sh.G., Asadov M.M. Conductivity anisotropy of a TlGaTe2 chain single crystal under hydrostatic pressure // Physics of the Solid State. 2012. Vю 54. № 1. P. 44–47. https://doi.org/10.1134/s1063783412010246
- Mustafaeva S.N., Asadov M.M., Ismaĭlov A.A. Effect of gamma irradiation on the dielectric properties and electrical conductivity of the TlInS2 single crystal // Physics of the Solid State. 2009. V. 51. № 11. P. 2269–2273. https://doi.org/10.1134/s1063783409110122
- Мустафаева С.Н., Асадов М.М., Гусейнова С.С., Гасанов Н.З., Лукичев В.Ф. Ab initio расчеты электронных свойств, частотная дисперсия диэлектрических коэффициентов и край оптического поглощения монокристаллов TlInS2 // Физика твердого тела. 2022. Т. 64. Вып. 6. С. 628–638. 10.21883/FTТ.2022.06.52388.299
- Job G., Rüffler R. Physikalische Chemie. Vieweg + Teubner Verlag. Springer Fachmedien Wiesbaden GmbH. 2011. ISBN 978-3-8351-0040-4
- TlInTe2. ID:mp-22791 // https://materialsproject.org/ materials/mp-22791/
- Wakita K., Shim Y., Orudzhev G., Mamedov N., Hashimzade F. Band structure and dielectric function of TlInTe2 // Phys. Status Solidi A, 2006. V. 203. № 11. P. 2841–2844. https://doi.org/10.1002/pssa.200669566
- Thermoelectrics Handbook. Macro to Nano. Ed. D.M. Rowe. CRC. Taylor & Francis Group, LLC. Boca Raton, US. (2006). 954 p. ISBN13: 978-0-8493-2264-8.
- Sofo J.O., Mahan G.D. Optimum band gap of a thermoelectric material // Physical Review B. 1994. V. 49. № 7. P. 4565–4570. https://doi.org/10.1103/PhysRevB.49.4565
- Matsumoto H., Kurosaki K., Muta H., Yamanaka S. Systematic investigation of the thermoelectric properties of TlMTe2 (M = Ga, In, or Tl) // Journal of Applied Physics, 2008. V. 104. № 7. P. 073705–4. https://doi.org/10.1063/1.2987471
- Wu M., Enamullah, Huang L. Unusual lattice thermal conductivity in the simple crystalline compounds TlXTe2 (X = Ga, In) // Physical Review B. 2019. V. 100. № 7. P. 075207–. https://doi.org/10.1103/PhysRevB.100.075207
- Mott N.F., Davis E.A. Electronic Processes in NonCrystalline Materials, 2nd ed. (Oxford Univ. Press, New York, 2012). ISBN 978-0-19-964533-6
- Shklovskii B.I., Efros A.L. Electronic Properties of Doped Semiconductors. Springer Series in Solid-State Sciences. Heidelberg. 1984. 388 p. ISBN 978-3-662-02405-8
Arquivos suplementares










