Simulation of vertical ballistic quantum-barrier field-effect transistor based on undoped AlxGa1–xAs quantum nanowire
- Авторлар: Pozdnyakov D.V.1, Borzdov A.V.1, Borzdov V.M.1
-
Мекемелер:
- Belarusian state university
- Шығарылым: Том 52, № 6 (2023)
- Беттер: 459-468
- Бөлім: МОДЕЛИРОВАНИЕ
- URL: https://journal-vniispk.ru/0544-1269/article/view/231900
- DOI: https://doi.org/10.31857/S0544126923600227
- EDN: https://elibrary.ru/XSTEVS
- ID: 231900
Дәйексөз келтіру
Толық мәтін
Аннотация
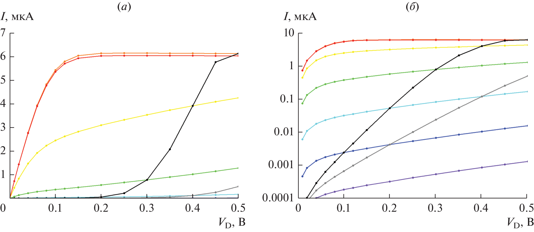
A design-topological solution for a tunnel field-effect transistor of a new type is proposed and the simulation of the transistor is performed. The device is a vertical ballistic field-effect transistor with a cylindrical metallic gate based on a cylindrical undoped AlxGa1–xAs quantum nanowire located in an Al2O3 matrix. For a given geometry of the device structure, the optimum of the fraction of aluminum in the semiconductor composition varying along the transistor channel is found, at which, unlike a conventional tunnel field-effect transistor, not only the complete suppression of the quantum barrier for electrons by a positive gate voltage is ensured, but also the minimum possible electrical resistance of the transistor channel. The current-voltage characteristics of the transistor are calculated within the framework of a rigorous quantum-mechanical description of the electron transport in its channel, taking into account the non-parabolic nature of the band structure of the semiconductor.
Авторлар туралы
D. Pozdnyakov
Belarusian state university
Email: pozdnyakov@tut.by
Nezavisimosty av., 4, Minsk, 220030 Belarus
A. Borzdov
Belarusian state university
Email: BorzdovAV@bsu.by
Nezavisimosty av., 4, Minsk, 220030 Belarus
V. Borzdov
Belarusian state university
Хат алмасуға жауапты Автор.
Email: Borzdov@bsu.by
Nezavisimosty av., 4, Minsk, 220030 Belarus
Әдебиет тізімі
- Дьяконов В.П., Максимчук А.А., Ремнев А.М., Смердов В.Ю. Энциклопедия устройств на полевых транзисторах. М.: СОЛОН-ПРЕСС. 2009. 512 с.
- Kim N., Park S., Kim Y., Kim H., Im H. Characteristics of ballistic tansport in short-channel MOSFETs // J. Korean Physical Society. 2004. V. 45. P. S928–S932.
- Rahman A., Guo J., Datta S., Lundstrom M.S. Theory of ballistic nanotransistors // IEEE Transactions on Electron Devices. 2003. V. 50. № 9. P. 1853–1864.
- Burke A.M., Carrad D.J., Gluschke J.G., Storm K., Fahlvik Svensson S., Linke H., Samuelson L., Micolich A.P. InAs nanowire transistors with multiple, independent wrap-gate segments // Nano Letters. 2015. V. 15. № 5. P. 2836–2843.
- Ullah A.R., Meyer F., Gluschke J.G., Naureen S., Caroff P., Krogstrup P., Nygard J., Micolich A.P. p-GaAs nanowire metal–semiconductor field-effect transistors with near-thermal limit gating // Nano Letters. 2018. V. 18. № 9. P. 5673–5680.
- Chen Z., Farmer D., Xu S., Gordon R., Avouris P., Appenzeller J. Externally assembled gate-all-around carbon nanotube field-effect transistor // IEEE Electron Device Letters. 2008. V. 29. № 2. P. 183–185.
- Seabaugh A.C., Zhang Q. Low-voltage tunnel transistors for beyond CMOS logic // Proceedings of the IEEE. 2010. V. 98. № 12. P. 2095–2110.
- Nazir G., Rehman A., Park S.-J. Energy-efficient tunneling field-effect transistors for low-power device applications: challenges and opportunities // ACS Applied Materials and Interfaces. 2020. V. 12. № 42. P. 47127–47163.
- Mah S.K., Ker P.J., Ahmad I., Zainul Abidin N.F., Ali Gamel M.M. A feasible alternative to FDSOI and FinFET: optimization of W/La2O3/Si planar PMOS with 14 nm gate-length // Materials. 2021. V. 14. № 19. P. 5721.
- Shin M. Non-equilibrium green’s function approach to three-dimensional carbon nanotube field effect transistor simulations // J. Korean Physical Society. 2008. V. 52. № 4. P. 1287–1291.
- Zhu G., Zhou X., Lee T.S., Ang L.K., See G.H., Lin S., Chin Y.-K., Pey K.L. A compact model for undoped silicon-nanowire MOSFETs with Schottky-barrier source/drain // IEEE Transactions on Electron Devices. 2009. V. 56. № 5. P. 1100–1109.
- Gupta S., Nandi A. Effect of air spacer in underlap GAA nanowire: an analogue/RF perspective // IET Circuits, Devices and Systems. 2019. V. 13. № 8. P. 1196–1202.
- Leonard F., Alec Talin A. Electrical contacts to one- and two-dimensional nanomaterials // Nature Nanotechnology. 2011. V. 6. P. 773–783.
- Appenzeller J., Knoch J., Bjork M.T., Riel H., Schmid H., Riess W. Toward nanowire electronics // IEEE Transactions on Electron Devices. 2008. V. 55. № 11. P. 2827–2845.
- Carrillo Nunez H. Combining the modified local density approach with variational calculus: a flexible tandem for studying electron transport in nano-devices // PhD-thesis. Universiteit Antwerpen: Antwerpen, 2012. 127 p.
- Memisevic E., Svensson J., Hellenbrand M., Lind E., Wernersson L.-E. Vertical InAs/GaAsSb/GaSb tunneling field-effect transistor on Si with S = 48 mV/decade and Ion = 10 μA/μm for Ioff = 1 nA/μm at VDS = 0.3 V // 2016 IEEE International Electron Devices Meeting (IEDM), San Francisco, CA, USA. 2016. P. 19.1.1–19.1.4.
- Борздов А.В., Поздняков Д.В., Борздов В.М., Орликовский А.А., Вьюрков В.В. Моделирование влияния поперечного электрического поля на дрейфовую скорость электронов в GaAs квантовой проволоке // Микроэлектроника. 2010. Т. 39. № 6. С. 436–442.
- Мейлихов Е.3., Лазарев С.Д. Электрофизические свойства полупроводников (справочник физических величин). М.: ЦНИИатоминформ, 1987. 87 с.
- Datta S. Electronic transport in mesoscopic systems. Cambridge, Cambridge University Press, 1995. 377 p.
- Vurgaftman I., Meyer J.R., Ram-Mohan L.R. Band parameters for III–V compound semiconductors and their alloys // J. Applied Physics. 2001. V. 89. № 11. P. 5815–5875.
- Kaya A., Mao H., Gao J., Chopdekar R.V., Takamura Y., Chowdhury S., Saif Islam M. An investigation of electrical and dielectric parameters of sol–gel process enabled β-Ga2O3 as a gate dielectric material // IEEE Transactions on Electron Devices. 2017. V. 64. № 5. P. 2047–2053.
- Nguyen N.V., Kirillov O.A., Jiang W., Wang W., Suehle J.S., Ye P.D., Xuan Y., Goel N., Choi K.-W., Tsai W., Sayan S. Band offsets of atomic-layer-deposited Al2O3 on GaAs and the effects of surface treatment // Applied Physics Letters. 2008. V. 93. P. 082105-1–082105-3.
- Wu Y.Q., Lin H.C., Ye P.D., Wilk G.D. Current transport and maximum dielectric strength of atomic-layer-deposited ultrathin Al2O3 on GaAs // Applied Physics Letters. 2007. P. 072105-1–072105-3.
- Shamala K.S., Murthy L.C.S., Narasimha Rao K. Studies on optical and dielectric properties of Al2O3 thin films prepared by electron beam evaporation and spray pyrolysis method // Materials Science and Engineering B. 2004. V. 106. P. 269–274.
- Zuo E., Dou X., Chen Y., Zhu W., Jiang G., Mao A., Du J. Electronic work function, surface energy and electronic properties of binary Mg–Y and Mg–Al alloys: a DFT study // Surface Science. 2021. V. 712. P. 121880.
- Levinshtein M., Rumyantsev S., Shur M. Handbook series on semiconductor parameters. World Scientific Publishing Co. Pte. Ltd., 1996. V. 1. 218 p.
- Levinshtein M., Rumyantsev S., Shur M. Handbook series on semiconductor parameters. World Scientific Publishing Co. Pte. Ltd., 1999. V. 2. 205 p.
- Baltenkov A., Msezane A. Electronic quantum confinement in cylindrical potential well // The European Physical J. D. 2016. V. 70. P. 81.
- Gulyamov G., Gulyamov A.G., Davlatov A.B., Shahobiddinov B.B. Electron energy in rectangular and cylindrical quantum wires // J. Nano- and Electronic Physics. 2020. V. 12. № 4. P. 04023-1–04023-5.
- Pozdnyakov D., Borzdov A., Borzdov V., Labunov V. Calculation of electrophysical parameters of thin undoped GaAs-in-Al2O3 quantum nanowires and single-wall armchair carbon nanotubes // Proceedings of SPIE. 2010. V. 7521. P. 75210S-1–75210S-9.
- Pozdnyakov D. Influence of surface roughness scattering on electron low-field mobility in thin undoped GaAs-in-Al2O3 nanowires with rectangular cross-section // Physica Status Solidi B. 2010. V. 247. № 1. P. 134–139.
- Lopez-Villanueva J.A., Melchor I., Cartujo P., Carceller J.E. Modified Schrodinger equation including nonparabolicity for the study of a two-dimensional electron gas // Physical Review B. 1993. V. 48. № 3. P. 1626–1631.
- Wang Y., Zahid F., Zhu Y., Liu L., Wang J., Guo H. Band offset of GaAs/AlxGa1 – xAs heterojunctions from atomistic first principles // Applied Physics Letters. 2013. V. 102. P. 132109-1–132109-4.
- Поздняков Д.В., Борздов В.М., Комаров Ф.Ф. Расчет вольт-амперных характеристик симметричных двухбарьерных резонансно-туннельных структур на основе арсенида галлия с учетом процессов разрушения когерентности электронных волн в квантовой яме // Физика и техника полупроводников. 2004. Т. 38. Вып. 9. С. 1097–1100.
- Yamamoto H. Resonant tunneling condition and transmission coefficient in a symmetrical one-dimensional rectangular double-barrier system // Applied Physics A. 1987. V. 42. P. 245–248.
Қосымша файлдар








